Early diagnosis of aseptic loosening of hip prosthetic components using acoustic arthrometry
- Authors: Tashtanov B.R.1, Pavlov V.V.1, Rajfeld M.A.2, Vasyukov V.N.2, Korytkin A.A.1
-
Affiliations:
- Tsivyan Novosibirsk Research Institute of Traumatology and Orthopaedics
- Novosibirsk State Technical University
- Issue: Vol 31, No 4 (2025)
- Pages: 15-27
- Section: СLINICAL STUDIES
- Submitted: 22.06.2025
- Accepted: 07.10.2025
- Published: 06.11.2025
- URL: https://journal.rniito.org/jour/article/view/17732
- DOI: https://doi.org/10.17816/2311-2905-17732
- ID: 17732
Cite item
Full Text
Abstract
Background. One of the main causes of revision hip arthroplasty is aseptic loosening of prosthetic components. A non-invasive method for early detection of this complication is the assessment of prosthesis condition using a triaxial accelerometer — acoustic arthrometry.
The aim of the study — to evaluate the potential of acoustic arthrometry for early diagnosis of aseptic loosening of prosthetic components and polyethylene liner wear in hip prostheses.
Methods. The study was performed using a custom-designed device for non-invasive registration of vibrational and acoustic oscillations in the area of the implanted joint. Interpretation and analysis of the obtained acoustic signatures were performed using MATLAB software. Acoustic emission recordings were obtained from 120 patients: 40 with diagnosed aseptic loosening of prosthetic components, 40 with polyethylene liner wear, and 40 control patients with no complaints regarding prosthesis function. Predictors of aseptic loosening and polyethylene wear were identified using regression analysis.
Results. In a multivariate risk model of polyethylene liner wear, ROC analysis demonstrated optimal sensitivity (91.7%) and specificity (84.6%) of the proposed method. For diagnosing aseptic loosening of prosthetic components, the sensitivity and specificity were 79.5% and 65.8%, respectively.
Conclusion. Specific acoustic signatures analyzed using the developed evaluation criteria (Peak, Asymmetry, Width) correlated with radiographic findings and showed high specificity (84.6%) and sensitivity (91.7%). These results support the feasibility of using acoustic arthrometry as a screening tool for early detection of prosthetic component loosening and polyethylene wear.
Full Text
ВВЕДЕНИЕ
Асептическое расшатывание компонентов эндопротеза является одним из наиболее частых осложнений эндопротезирования тазобедренного сустава на поздних сроках наблюдения, составляя, по данным регистра артропластики НМИЦ ТО им. Р.Р. Вредена, 42,1% всех причин ревизионных операций [1].
Выявление ранних признаков наступающего расшатывания компонентов эндопротеза или износа полиэтилена становится основной задачей наблюдения за пациентами, перенесшими эндопротезирование, и очень важным является обнаружение этих признаков до появления рентгенологических изменений. К сожалению, лишь в отдельных случаях удается выявить начальные признаки дефектности компонентов, что позволяет провести ревизионное эндопротезирование с использованием первичных или с частичной заменой ранее установленных компонентов [2, 3]. Однако несвоевременно выявленное расшатывание компонентов чревато более объемным оперативным вмешательством с заменой всех компонентов и использованием дополнительных конструкций, донорской костной ткани и нередко — индивидуально изготовленных с помощью аддитивных технологий конструкций [4, 5, 6, 7]. Позднее выявление расшатывания компонентов приводит не только к повторным ранним ревизионным вмешательствам, но и к дополнительным экономическим затратам [6]. В истории эндопротезирования уже были предприняты попытки усовершенствовать инструменты ранней диагностики расшатывания компонентов и износа полиэтиленового вкладыша [8, 9].
На сегодняшний день ортопеды руководствуются преимущественно результатами рентгенологических исследований тазобедренного сустава. Используют зоны Gruen для оценки устойчивой фиксации бедренного компонента, зоны DeLee-Charnley — для оценки состояния цементного вертлужного компонента, методику оценки биологической фиксации вертлужного компонента, предложенную S. Milan, и расчет центрации головки эндопротеза для оценки состояния полиэтиленового вкладыша [10, 11]. Хотя рентгенологическое исследование демонстрирует высокие показатели чувствительности и специфичности, признаки расшатывания и износа компонентов эндопротеза проявляются постепенно, в течение длительного времени после эндопротезирования. В поисках альтернативы были предложены различные методы исследований, такие как термометрия нижних конечностей (патент RU 2197892 C1), анализ пунктата и предоперационный анализ крови, имеющий прогностическую ценность [4, 8].
Одним из вариантов ранней диагностики является неинвазивное исследование состояния эндопротеза — акустическая артрометрия (АА) (альтернативные названия: вибрационная артрометрия, акустическая артрография) с применением трехосевого акселерометра [9, 12]. Этот метод позволяет анализировать вибрации (акустическую эмиссию), исходящие от эндопротеза тазобедренного сустава. АА была неоднократно изучена экспериментально и имеет положительные результаты в подавляющем количестве исследований и отрицательные — в отдельных случаях [13].
Цель исследования — оценить возможность использования акустической артрометрии для ранней диагностики асептического расшатывания компонентов и износа полиэтиленового вкладыша эндопротеза тазобедренного сустава.
МАТЕРИАЛ И МЕТОДЫ
Дизайн исследования
Тип исследования – сравнительное когортное нерандомизированное, включает ретроспективную и проспективные группы пациентов.
В исследовании приняли участие 120 пациентов, которые были разделены на три группы. Первая (контрольная) группа — 40 пациентов, которые обратились в амбулаторно-поликлиническое отделение для контрольного осмотра через 1–7 лет после эндопротезирования и не имели жалоб на функцию протезированного сустава; вторая группа — 40 пациентов, госпитализированных по поводу износа полиэтиленового (ПЭТ) вкладыша; третья группа — 40 пациентов, госпитализированных по поводу асептического расшатывания компонентов эндопротеза тазобедренного сустава.
Всем пациентам при поступлении в стационар было выполнено рентгенологическое исследование с описанием рентгенограмм сотрудниками отделения лучевой диагностики. Признаков расшатывания компонентов или износа ПЭТ вкладыша в первой группе пациентов не обнаружено. Во вторую и третью группы были включены пациенты с соответствующими рентгенологическими признаками.
Критерии включения в первую группу: отсутствие жалоб на протезированный сустав, способность передвигаться без дополнительных средств опоры. Критерии невключения: отсутствие активного движения, отказ от участия в исследовании.
Критерии включения во вторую и третью группы: наличие опоры на нижнюю конечность со стороны оперированного сустава, способность передвигаться.
Сроки наблюдения составили от 3,5 до 13,5 года.
Описание метода
Для проведения исследования было разработано устройство неинвазивной регистрации вибрационных и акустических колебаний в области эндопротезированного сустава, работающее на основе трехосевого акселерометра. Детальное описание механизма устройства представлено в нашей предыдущей работе [12].
Устройство фиксируется на поверхности кожи в области протезированного сустава с помощью медицинского пластыря (рис. 1) в двух вариантах: в области большого вертела (1-й вариант) или, при наличии в проекции большого вертела выраженной подкожной жировой ткани, в области передневерхней ости подвздошной кости (2-й вариант). Эти зоны являются наиболее доступными и легко определяемыми пальпаторно.
Рисунок 1. Схематическое изображение метода исследования: 1-й вариант — акселерометр располагается в области большого вертела бедренной кости; 2-й вариант — в области передневерхней ости подвздошной кости
Figure 1. Schematic representation of the study method: option 1 — accelerometer is located in the area of the greater trochanter of the femur; option 2 — in the area of the anterior superior iliac spine
После накожной фиксации устройства пациент ходил по прямой, ровной поверхности в течение 5 мин. привычной для себя походкой. Во время ходьбы зафиксированное устройство осуществляло регистрацию и запись вибрационных и звуковых колебаний, возникающих в области эндопротеза. После завершения ходьбы устройство снималось, и записанная информация переносилась на персональный компьютер.
Интерпретация и анализ полученных акустических сигнатур
Анализ и интерпретацию полученных акустических сигнатур эндопротезов (вибрации компонентов эндопротеза, возникающие при ходьбе) проводили с помощью программного обеспечения MATLAB (MathWorks, Inc., США)
Акустические сигнатуры представляют собой оцифрованные временные реализации сигналов на частоте 6666 Гц, полученные с использованием трехосевого акселерометра в момент шага пациента и имеющие характер импульсов. Элементами сигнатур, представляющими интерес для исследования и являющимися основой для выводов о состоянии эндопротеза, являются вершины импульсов (колебаний), совпадающие с началом цикла шага пациента — фазы опоры, контакта (удара) пятки с опорной поверхностью. Трехосевой акселерометр как цельная деталь одного устройства воспринимает колебания в трех осях одновременно. Устройство приводит полученные данные к единому усредненному показателю, что позволяет все смещения выразить в одной кривой. Подробно методология и расчеты единиц выбранных критериев описаны в ранее опубликованной нами статье [12].
Для исследования были выбраны следующие критерии:
1) Peak — отображает искажение импульса, пороговое значение 0,49. Основным признаком износа ПЭТ вкладыша является раздвоение вершины импульса, при этом Peak может меняться в зависимости от стабильности других компонентов эндопротеза, тогда как в норме импульс имеет одновершинный характер.
2) Asymmetry — асимметричность импульса, отображает износ компонентов, пороговое значение 0,02.
3) Width — ширина импульса, представляющая расшатывание или разрушение компонентов, пороговое значение 500.
Критерии высоты импульсов обозначены условными единицами (у. е.) 0, 1, 2, 3...
Расшатыванию компонентов эндопротеза соответствует снижение показателей коэффициента Peak, что обозначает неравномерный подъем импульса, происходящий в связи с расшатыванием одного из компонентов; увеличение показателей Width обозначает увеличение ширины импульса (рис. 2).
Рисунок 2. Критерии оценки акустических сигнатур. В отдельном прямоугольнике изображен избирательно взятый нормальный импульс акустической сигнатуры (обозначен сходящимися черными линиями), который проанализирован с позиции предложенных критериев
Figure 2. Acoustic signature evaluation criteria. A separate rectangle shows a selectively taken normal pulse of the acoustic signature (indicated by converging black lines), which is analyzed from standpoint of the proposed criteria
В целом метод АА можно представить следующим образом. После получения акустической эмиссии из области эндопротеза следуют ее автоматическая обработка в акустические сигнатуры и их последующий автоматический анализ. При проведении исследования необходимо придерживаться следующих этапов. В первую очередь оценке подлежат равномерность амплитуды колебаний и симметричность каждого колебания. В норме колебания симметричные и имеют равные вершины. Высота колебаний в норме должна быть не ниже 10 у. е. Далее следует анализ критерия Peak, в частности каждого колебания — каждого шага и среднего значения всех колебаний в норме, соответствующей ≥ 0,49 у. е. Третьим этапом следует анализ критерия Width, отображающего стабильность компонентов эндопротеза и соответствующего значениям ≤ 500 у. е. И последним, при соответствии пределам нормы всех вышеуказанных критериев, следует анализ критерия Asymmetry, который был выявлен в ходе исследования как менее чувствительный, но не менее специфичный критерий и соответствует значениям ≤ 0,02 (рис. 3).
Рисунок 3 (а). Общий вид акустических сигнатур, детализация отдельно взятых вершин импульсов и рентгенограммы тазобедренного сустава в прямой проекции: а — без расшатывания компонентов эндопротеза тазобедренного сустава;
Figure 3 (а). General view of acoustic signatures, details of individual pulse peaks and X-rays of the hip in AP view: a — without loosening of hip prosthetic components;
Рисунок 3 (b, c). Общий вид акустических сигнатур, детализация отдельно взятых вершин импульсов и рентгенограммы тазобедренного сустава в прямой проекции: b — с износом полиэтиленового вкладыша, но без расшатывания компонентов; c — с расшатыванием вертлужного компонента (пролапс) и бедренного компонента (stress shielding, резорбция зон Gruen 6, 7) эндопротеза тазобедренного сустава
Figure 3 (b, c). General view of acoustic signatures, details of individual pulse peaks and X-rays of the hip in AP view: b — with wear of polyethylene liner, but without loosening of components; c — with loosening of the acetabular component (prolapse) and femoral component (stress shielding, resorption of Gruen zones 6 and 7) of hip prosthesis
Сравнительный анализ
Сравнительный анализ акустических сигнатур с обзорными рентгенограммами таза в прямой проекции и корреляцию с результатами АА проводили два независимых исследователя, не информированных об истории исследуемых пациентов и их разделении на группы.
Статистический анализ
Статистические расчеты проводились в IDE RStudio (версия 2024.12.0 Build 467) на языке R версия 4.4.2 (2024-10-31 ucrt0). Распределения показателей испытывались на согласие с законом нормального распределения критерием Шапиро – Уилка. В большинстве случаев распределения показателей отличались от нормальных. Для описательной статистики использовались квартили, а межгрупповое сравнение производилось непараметрическими критериями. Непрерывные показатели представлены в виде медианы и межквартильного интервала (Ме [Q1; Q3]); количество и частота событий применялись для характеристики распределения по диагнозу, полу и материалам трибологической пары эндопротезов. Непрерывные показатели сравнивались с использованием U-критерия Манна – Уитни, категориальные и бинарные — точного критерия Фишера. Построениями логистических регрессий выявлялись предикторы износа полиэтилена и расшатывания эндопротезов. Модели многофакторных регрессий строились методами прямого и обратного шага из однофакторных моделей для некоррелируемых (|r| <0,3) ковариат с достигнутыми уровнями значимости p не более 0,3. Методами ROC-анализа для многофакторных моделей рассчитывался лучший по индексу Юдена порог риска с оценкой прогностических характеристик. Тестом Хосмера – Лемешова исследовали согласованность прогностических частот многофакторных моделей с фактической частотой негативных событий износа и расшатывания эндопротезов. Все сравнительные тесты были двусторонними. При достигнутом уровне значимости р < 0,05 различие или предикторы считались статистически значимыми.
РЕЗУЛЬТАТЫ
Характеристика пациентов всех групп исследования представлена в таблице 1. Следует отметить минимальную разницу в возрасте, показателях индекса массы тела (ИМТ) пациентов и в распределении по типу фиксации эндопротезов (цементный/бесцементный). Выявлено различие в средних сроках наблюдения, причем минимальный срок отмечен в первой (контрольной) группе (3,5 года), максимальный — во второй группе (13,5 года).
Таблица 1
Характеристика пациентов групп сравнения
Группа | Возраст, лет, Ме [Q1; Q3] | ИМТ, Ме [Q1; Q3] | Срок наблюдения, лет, Ме [Q1; Q3] | Цементный / бесцементный, n (%) |
Первая (контрольная) | 64,0 | 29,8 | 3,5 | 8 (20) / 32 (80) |
Вторая (износ ПЭТ вкладыша) | 65,0 | 31,6 | 13,5 [10; 15] | 4 (10) / 36 (90) |
Третья (расшатывание компонентов) | 63,0 | 27,9 | 8,0 | 10 (33,3) / 30 (66,6) |
Значение р | 1–2 группы: 0,578 1–3 группы: 0,156 2–3 группы: 0,881 | 1–2 группы: 0,302 1–3 группы: 0,036 2–3 группы: 0,006 | 1–2 группы: 0,009 1–3 группы: 0,033 2–3 группы: 0,028 | 1–2 группы: 0,325 1–3 группы: 0,583 2–3 группы: 0,090 |
Типы фиксации (цементная/бесцементная) сравнивались с применением точного критерия Фишера, остальные показатели – U-критерия Манна – Уитни.
Показатели АА подтвердили ожидаемые различия между предложенными критериями, при этом средние значения существенно различались: Peak (износ ПЭТ вкладыша) — между первой и второй группами; Width (расшатывание компонентов) между первой и третьей группами и по амплитуде колебаний между первой, второй группами (10,0) и третьей группой (8,5). Между группами не выявлено абсолютной разницы в средних значениях по критерию Asymmetry, однако были выявлены значимые статистические различия (p = 0,002) (табл. 2).
Таблица 2
Сравнительный анализ критериев оценки результатов акустической артрометрии, Ме [Q1; Q3]
Группа | Peak | Width | Asymmetry | Амплитуда колебаний |
Первая (контрольная) | 0,49077 | 369,9 | 0,014639 | 10,0 |
Вторая (износ ПЭТ вкладыша) | 0,48847 | 483,5 | 0,01918 | 10,0 |
Третья (расшатывание компонентов) | 0,48916 | 621,5 | 0,01613 | 8,5 |
Значение p | 1–2 группы: 0,019 1–3 группы: 0,206 2–3 группы: 0,195 | 1–2 группы: 0,060 1–3 группы: 0,001 2–3 группы: 0,124 | 1–2 группы: 0,002 1–3 группы: 0,102 2–3 группы: 0,022 | 1–2 группы: 0,867 1–3 группы: 0,006 2–3 группы: 0,014 |
Полужирным шрифтом обозначены статистически значимые отличия.
Количество пациентов, пересекающих заданный порог в исследуемых группах по критерию Pеак, составило: 15/40 (37,5%) в первой группе, 33/40 (83%) во второй группе и 28/12 (70%) в третьей группе, что подтверждает значение данного критерия в диагностике износа ПЭТ вкладыша и расшатывания компонентов эндопротеза тазобедренного сустава. Результаты критерия Width также имели значимую разницу между первой группой (12/28 (30%)), второй и третьей группами (24/16 (60%); 25/15 (62,5%)) (табл. 3). В показателях критерия Asymmetry статистически значимой разницы не обнаружено.
Таблица 3
Сравнительный анализ результатов акустической артрометрии в трех группах в пересечении пороговых значений трех критериев оценки
Группа | Peak (пороговое значение 0,49) | Width (пороговое значение 500) | Asymmetry (пороговое значение 0,02) |
Первая (контроль) | 15 (37,5%) | 12 (30%) | 7 (17,5%) |
Вторая (износ ПЭТ вкладыша) | 33 (83%) | 24 (60%) | 14 (35%) |
Третья (расшатывание компонентов) | 28 (70%) | 25 (62,5%) | 8 (20%) |
Значение p | 1–2 группы: 0,009 1–3 группы: 0,080 2–3 группы: 0,174 | 1–2 группы: 0,304 1–3 группы: 0,008 2–3 группы: 0,524 | 1–2 группы: 0,442 1–3 группы: 0,999 2–3 группы: 0,434 |
Полужирным шрифтом обозначены статистически значимые отличия.
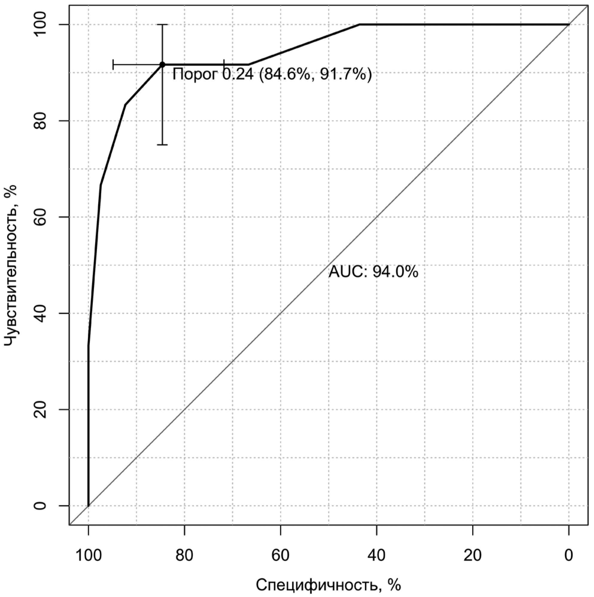
В многофакторной модели риска износа ПЭТ вкладыша с помощью ROC-анализа определены наилучшие показатели чувствительности (91,7%) и специфичности (84,6%) для порогового значения вероятности износа 24,1%. Используя полученное пороговое значение, y пациентов с рассчитанной по формуле модели многофакторной регрессии с вероятностью износа ПЭТ вкладыша более 24,1% прогнозировали износ, при показателях ниже порогового значения считали, что износа нет (табл. 4, 5; рис. 4).
Таблица 4
Таблица сопряженности многофакторной модели вероятности износа полиэтиленового вкладыша для порогового значения 24,1%
Тест | Результат + | Результат - | Общее количество |
Тест + | 36 | 6 | 42 |
Тест - | 4 | 34 | 38 |
Общее количество | 40 | 40 | 80 |
Тест — прогноз многофакторной модели, результат — исходы (реальные данные).
Таблица 5
Таблица прогностических свойств многофакторной модели риска износа полиэтиленового вкладыша для порогового значения 24,1%
Характеристика | Значение (95% ДИ) |
Чувствительность | 91,7% (61,5–99,8) |
Специфичность | 84,6% (69,5–94,1) |
Положительная прогностическая ценность | 64,7% (38,3–85,8) |
Отрицательное прогностическое значение | 97,1% (84,7–99,9) |
Положительное отношение правдоподобия | 6 (2,8–12,7) |
Отрицательное отношение правдоподобия | 0,1 (0,0–0,6) |
Индекс Юдена | 0,8 (0,3–0,9) |
Диагностическая точность | 86,3% (73,7–94,3) |
Диагностическое отношение шансов | 60,5 (6,5–559,4) |
Рисунок 4. ROC-кривая (пороговое значение 24,1%) многофакторной модели риска износа полиэтиленового вкладыша
Figure 4. ROC curve (threshold value of 24.1%) of the multivariate model for predicting polyethylene liner wear
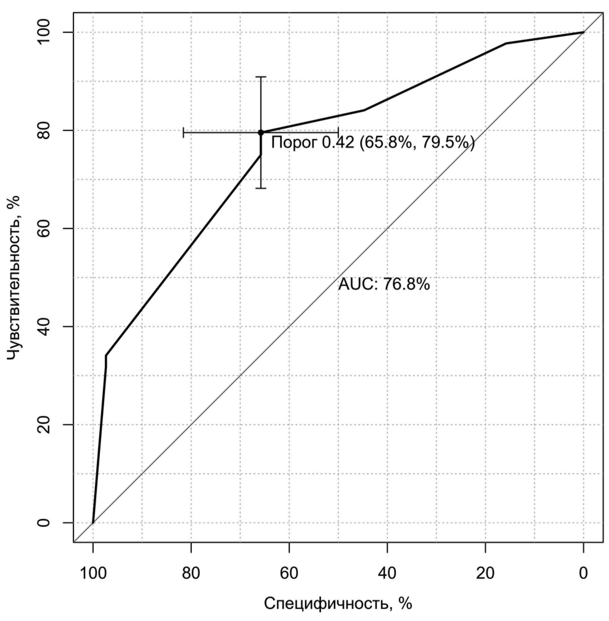
В многофакторной модели риска расшатывания/разрушения компонентов эндопротеза с помощью ROC-анализа определены лучшие по сумме показатели чувствительности (79,5%) и специфичности (65,8%) рассматриваемого метода для определения порогового значения вероятности расшатывания/разрушения компонентов эндопротеза — 42,5%. Используя полученное пороговое значение, y пациентов с рассчитанной по формуле модели многофакторной регрессии с вероятностью расшатывания/разрушения более 42,5% прогнозировали расшатывание или разрушение компонентов эндопротеза (табл. 6, 7; рис. 5)
Таблица 6
Таблица сопряженности многофакторной модели вероятности расшатывания/разрушения компонентов эндопротеза для порогового значения 42,5%
Тест | Результат + | Результат - | Общее количество |
Тест + | 32 | 14 | 46 |
Тест - | 8 | 26 | 34 |
Общее количество | 40 | 40 | 80 |
Тест — прогноз многофакторной модели, результат — исходы (реальные данные).
Таблица 7
Таблица прогностических свойств многофакторной модели риска расшатывания/разрушения компонентов эндопротеза для порогового значения 42,5%
Характеристика | Значение (95% ДИ) |
Чувствительность | 79,5% (64,7–90,2) |
Специфичность | 65,8% (48,6–80,4) |
Положительная прогностическая ценность | 72,9% (58,2–84,7) |
Отрицательное прогностическое значение | 73,5% (55,6–87,1) |
Положительное отношение правдоподобия | 2,3 (1,5–3,7) |
Отрицательное отношение правдоподобия | 0,3 (0,2–0,6) |
Индекс Юдена | 0,5 (0,1–0,7) |
Диагностическая точность | 73,2% (62,2–82,4) |
Диагностическое отношение шансов | 7,5 (2,8–20,2) |
Рисунок 5. ROC-кривая (пороговое значение 42,5%) многофакторной модели риска расшатывания/разрушения компонентов эндопротеза
Figure 5. ROC curve (threshold value of 42.5%) of the multivariate model for predicting prosthetic components loosening/destruction in all patients
ОБСУЖДЕНИЕ
Результаты данного исследования не противоречат предыдущим исследованиям, проведенным X.J. Gao с соавторами и F. Kummer с соавторами [14, 15], и в очередной раз демонстрируют, что АА имеет потенциал в качестве дополнительного скринингового метода диагностики на амбулаторном этапе для раннего выявления неблагополучий со стороны эндопротеза. Наш метод показал очень хорошие результаты, демонстрируя чувствительность — 79,5% и специфичность — 65,8% в диагностике асептического расшатывания, а в диагностике износа ПЭТ вкладыша чувствительность — 91,7%, специфичность — 84,6%. Наши результаты превосходят данные, полученные вышеуказанными авторами, которые сравнивали АА с клинико-рентгенологическими исследованиями и получили соответствие в 87% случаев. Примечательно, что авторы в 8 случаях из 120, которые не совпадали с результатами рентгенографии, указали на сдвиг графической картины АА, соответствующей расшатыванию, что может свидетельствовать о возможности применения АА в диагностике нарушений целостности в системе «кость — имплантат» до появления рентгенологических признаков [14]. Использование иных, нелучевых, методов, основанных на альтернативных физических принципах, позволяет выявлять расшатывание и износ компонентов на стадии развития, когда рентгенологические методы еще не способны выявлять вышеуказанные признаки.
Полученные нами данные подтверждают результаты сравнительного анализа АА с клинико-рентгенологическими данными, представленного в работе F. Kummer с соавторами. Авторы исследовали 98 пациентов и отметили перспективу использования метода АА в диагностике износа ПЭТ вкладыша и расшатывания компонентов [15]. Авторы выявили схожесть графических изображений акустических импульсов здорового сустава с графическими изображениями импульсов нерасшатанного эндопротеза и без износа полиэтилена, но не имели возможности, в отличие от нас, представить полученные данные в числовых значениях, что является ограничением их исследования. Выявление авторами визуальных различий графических изображений у пациентов, имеющих износ ПЭТ вкладыша и признаки расшатывания компонентов, подчеркивает возможности метода, а представление данных не только в виде графика, но и в числовом формате позволяет избежать ошибочных субъективных суждений. Авторы получили три типа графических изображений импульсов, характерных для здорового сустава, схожего со стабильным эндопротезом (1), для износа ПЭТ вкладыша (2) и для расшатанных компонентов эндопротеза (3). Однако между акустическими сигнатурами последних состояний не обнаружено клинически значимых различий, и это, по всей видимости, связано с визуальным субъективным сравнением графиков. Если бы данные имели числовые значения, не исключено, что результат был бы иным. Авторы подчеркивают высокий потенциал нового метода, но отмечают, что для объективной оценки возможностей АА необходимы более объемная база пациентов и оценка чувствительности и специфичности данного метода.
Иной подход к применению АА продемонстрировали A.P. Georgiou и J.L. Cunningham, которые индуцировали колебания эндопротеза путем направленной вибрации с заданной частотой в области мыщелков бедренной кости с последующим ее измерением после прохождения вибраций через эндопротез в области большого вертела [16]. Данный метод был протестирован на 30 пациентах, после чего были оценены его чувствительность и специфичность и выполнен сравнительный анализ с результатами рентгенографии. Авторы заключили, что предложенный ими метод диагностики чувствительнее рентгенографии на 20% и позволил выявлять расшатывание компонентов эндопротеза на 13% чаще, чем при рентгенологическом методе исследования. Но по специфичности новый метод диагностики уступил рентгенографии — 90% и 100% соответственно, что можно объяснить небольшой группой исследуемых пациентов.
Метод АА после прохождения государственной регистрации изделия и получения регистрационного удостоверения может быть рекомендован для широкого применения в клинической практике в качестве дополнения к лучевым методам исследования при сомнительных результатах. Регистрация, измерение, анализ акустических сигнатур не требуют участия врача, поскольку происходят автоматически, что повышает объективность полученных данных и кардинально отличается от визуального описательного рентгенологического метода.
ЗАКЛЮЧЕНИЕ
Акустическая артрометрия с применением трехосевого акселерометра позволяет получать специфические критерии (Peak, Asymmetry, Width), характерные как для хорошо фиксированных компонентов без признаков дефектности, так и для расшатанных компонентов и износа полиэтилена. Полученные специфические акустические сигнатуры, проанализированные с использованием разработанных оценочных критериев (Peak, Asymmetry, Width) коррелируют с клинико-рентгенологическими данными и имеют высокую специфичность (84,6%) и чувствительность (91,7%), что обуславливает потенциальную возможность применения акустической артрометрии для раннего выявления расшатывания компонентов эндопротеза и износа полиэтилена, когда рентгенологические методы исследования их не обнаруживают.
ДОПОЛНИТЕЛЬНАЯ ИНФОРМАЦИЯ
Заявленный вклад авторов
Все авторы сделали эквивалентный вклад в подготовку публикации.
Все авторы прочли и одобрили финальную версию рукописи статьи. Все авторы согласны нести ответственность за все аспекты работы, чтобы обеспечить надлежащее рассмотрение и решение всех возможных вопросов, связанных с корректностью и надежностью любой части работы.
Источник финансирования. Авторы заявляют об отсутствии внешнего финансирования при проведении исследования.
Возможный конфликт интересов. Авторы декларируют отсутствие явных и потенциальных конфликтов интересов, связанных с публикацией настоящей статьи.
Этическая экспертиза. Не применима.
Информированное согласие на публикацию. Авторы получили письменное согласие пациентов на участие в исследовании и публикацию результатов.
Генеративный искусственный интеллект. При создании статьи технологии генеративного искусственного интеллекта не использовали.
DISCLAIMERS
Author contribution
All authors made equal contributions to the study and the publication.
All authors have read and approved the final version of the manuscript of the article. All authors agree to bear responsibility for all aspects of the study to ensure proper consideration and resolution of all possible issues related to the correctness and reliability of any part of the work.
Funding source. This study was not supported by any external sources of funding.
Disclosure competing interests. The authors declare that they have no competing interests.
Ethics approval. Not applicable.
Consent for publication. The authors obtained written consent from patients to participate in the study and publish the results.
Use of artificial intelligence. No generative artificial intelligence technologies were used in the preparation of this manuscript.
About the authors
Baikozho R. Tashtanov
Tsivyan Novosibirsk Research Institute of Traumatology and Orthopaedics
Author for correspondence.
Email: b.tashtanov95@gmail.com
ORCID iD: 0000-0002-8553-9712
SPIN-code: 6814-8599
Russian Federation, Novosibirsk
Vitaliy V. Pavlov
Tsivyan Novosibirsk Research Institute of Traumatology and Orthopaedics
Email: pavlovdoc@mail.ru
ORCID iD: 0000-0002-8997-7330
SPIN-code: 7596-2960
Dr. Sci. (Med.), Associate Professor
Russian Federation, NovosibirskMikhail A. Rajfeld
Novosibirsk State Technical University
Email: rajfeld@corp.nstu.ru
ORCID iD: 0000-0002-8826-4240
SPIN-code: 3492-4519
Dr. Sci. (Tech.), Associate Professor
Russian Federation, NovosibirskVasily N. Vasyukov
Novosibirsk State Technical University
Email: vasyukov@corp.nstu.ru
ORCID iD: 0000-0001-5938-0368
SPIN-code: 3567-0608
Dr. Sci. (Tech.), Professor
Russian Federation, NovosibirskAndrey A. Korytkin
Tsivyan Novosibirsk Research Institute of Traumatology and Orthopaedics
Email: andrey.korytkin@gmail.com
ORCID iD: 0000-0001-9231-5891
SPIN-code: 2273-2241
Cand. Sci. (Med.), Associate Professor
Russian Federation, NovosibirskReferences
- Шубняков И.И., Риахи А., Денисов А.О., Корыткин А.А., Алиев А.Г., Вебер Е.В. и др. Основные тренды в эндопротезировании тазобедренного сустава на основании данных регистра артропластики НМИЦ ТО им. Р.Р. Вредена с 2007 по 2020 г. Травматология и ортопедия России. 2021;27(3):119-142. doi: 10.21823/2311-2905-2021-27-3-119-142. Shubnyakov I.I., Riahi A., Denisov A.O., Korytkin A.A., Aliev A.G., Veber E.V. et al. The Main Trends in Hip Arthroplasty Based on the Data in the Vreden’s Arthroplasty Register from 2007 to 2020. Traumatology and Orthopedics of Russia. 2021;27(3):119-142. (In Russian). doi: 10.21823/2311-2905-2021-27-3-119-142.
- Australian Orthopaedic Association National Joint Replacement Registry. Hip, Knee & Shoulder Arthroplasty. 2024 Annual Reports. Available from: https://aoanjrr.sahmri.com/annual-reports-2024.
- Pasqualini I., Benyamini B., Khan S.T., Zielinski M., Piuzzi N.S. Measures of Clinical Meaningfulness for the Hip Disability and Osteoarthritis Outcome Score Vary by Aseptic Revision Total Hip Arthroplasty Diagnosis. J Arthroplasty. 2025;40(9S1):S382-S388. doi: 10.1016/j.arth.2025.04.065.
- Брагина С.В. Современные возможности ранней лабораторной диагностики перипротезного остеолиза как предиктора развития асептической нестабильности эндопротеза тазобедренного сустава (обзор литературы). Гений ортопедии. 2020;26(2):261-265. doi: 10.18019/1028-4427-2020-26-2-261-265. Bragina S.V. Modern possibilities with early laboratory diagnosis of periprosthetic osteolysis predating aseptic loosening in total hip arthroplasty (literature review). Genij Ortopedii. 2020;26(2):261-265. (In Russian). doi: 10.18019/1028-4427-2020-26-2-261-265.
- Базлов В.А., Пронских А.А., Корыткин А.А., Мамуладзе Т.З., Ефименко М.В., Павлов В.В. Изучение биологической фиксации индивидуальных имплантатов при замещении посттравматических деформаций и дефектов вертлужной впадины. Гений ортопедии. 2023;29(6):609-614. doi: 10.18019/1028-4427-2023-29-6-609-614. Bazlov V.A., Pronskikh A.A., Korytkin A.A., Mamuladze T.Z., Efimenko M.V., Pavlov V.V. Biological fixation of customized implants for post-traumatic acetabular deformities and defects. Genij Ortopedii. 2023;29(6):609-614. (In Russian). doi: 10.18019/1028-4427-2023-29-6-609-614.
- Weintraub M.T., Hadley M.L., Bedard N.A., Abdel M.P., Taunton M.J., Hannon C.P. Custom Acetabular Components in Revision Total Hip Arthroplasty: A Systematic Review. J Arthroplasty. 2025;40(9S1):S588-S596.e3. doi: 10.1016/j.arth.2025.04.083.
- Cimatti P., Del Piccolo N., Mazzotta A., Dallari B., Pennello E., Dallari D. Use of structural bone allograft in revision hip arthroplasty for massive acetabular defect: A systematic review and meta-analysis. J Exp Orthop. 2025;12(2):e70241. doi: 10.1002/jeo2.70241.
- Pokorný D., Slouf M., Dybal J., Zolotarevová E., Veselý F., Jahoda D. et al. New metod for quantification of UHMWPE wear particles around joint replacements. Acta Chir Orthop Traumatol Cech. 2009;76(5):374-381. (In Czech).
- Cachão J.H., Soares Dos Santos M.P., Bernardo R., Ramos A., Bader R., Ferreira J.A.F. et al. Altering the Course of Technologies to Monitor Loosening States of Endoprosthetic Implants. Sensors (Basel). 2019;20(1):104. doi: 10.3390/s20010104.
- Moore M.S., McAuley J.P., Young A.M., Engh C.A. Sr. Radiographic signs of osseointegration in porous-coated acetabular components. Clin Orthop Relat Res. 2006;444:176-183. doi: 10.1097/01.blo.0000201149.14078.50.
- Gruen T.A., McNeice G.M., Amstutz H.C. «Modes of failure» of cemented stem-type femoral components: a radiographic analysis of loosening. Clin Orthop Relat Res. 1979;(141):17-27.
- Васюков В.Н., Райфельд М.А., Соколова Д.О., Таштанов Б.Р., Павлов В.В. Обработка и анализ сигналов для диагностики состояния эндопротеза тазобедренного сустава. Доклады АН ВШ РФ. 2024;(4): 48-63. doi: 10.17212/1727-2769-2024-4-48-63. Vasyukov V.N., Raifeld M.A., Sokolova D.O., Tashtanov B.R., Pavlov V.V. Processing and analysis of signals for diagnosing the condition of a hip joint endoprosthesis. Proceedings of the Russian Higher School Academy of Sciences. 2024;(4):48-63. (In Russian). doi: 10.17212/1727-2769-2024-4-48-63.
- Kapur R.A. Acoustic emission in orthopaedics: A state of the art review. J Biomech. 2016;49(16):4065-4072. doi: 10.1016/j.jbiomech.2016.10.038.
- Gao X.J., Murota K., Tomita Y., Ono M., Higo Y., Nunomura S. Evaluation of the Fixation of Artificial Hip Joint by Acoustic Emission. Jpn J Appl Phys. 1990;29(S1):215. doi: 10.7567/JJAPS.29S1.215.
- Kummer F., Jaffe W.L. Feasibility of using ultrasonic emission for clinical evaluation of prosthetic hips. Bull NYU Hosp Jt Dis. 2010;68(4):262-265.
- Georgiou A.P., Cunningham J.L. Accurate diagnosis of hip prosthesis loosening using a vibrational technique. Clin Biomech (Bristol). 2001;16(4):315-323. doi: 10.1016/s0268-0033(01)00002-x.
Supplementary files









