Анализ телемедицинских консультаций детям с повреждениями опорно-двигательного аппарата по данным НМИЦ детской травматологии и ортопедии имени Г.И. Турнера
- Авторы: Зорин В.И.1,2, Лукьянов С.А.1
-
Учреждения:
- ФГБУ «Национальный медицинский исследовательский центр детской травматологии и ортопедии имени Г.И. Турнера» Минздрава России
- ФГБОУ ВО «Северо-Западный государственный медицинский университет имени И.И. Мечникова» Минздрава России
- Выпуск: Том 29, № 3 (2023)
- Страницы: 86-93
- Раздел: Организация травматолого-ортопедической помощи
- Дата подачи: 18.05.2023
- Дата принятия к публикации: 11.08.2023
- Дата публикации: 15.09.2023
- URL: https://journal.rniito.org/jour/article/view/11175
- DOI: https://doi.org/10.17816/2311-2905-11175
- ID: 11175
Цитировать
Аннотация
Актуальность. В настоящее время смертность пациентов детского возраста от травм превышает смертность от прочих причин во всем мире. Отбор и своевременный перевод пострадавших в специализированную клинику является важным элементом работы медицинской системы. Телемедицинские консультации (ТМК) рассматриваются рядом авторов как один из эффективных способов повышения качества травматологической помощи и оптимизации процессов маршрутизации пациентов.
Цель — провести анализ результатов экстренных и неотложных телемедицинских консультаций и госпитализации по телемедицинским консультациям у детей с травмами опорно-двигательного аппарата.
Материал и методы. Были проанализированы запросы на проведение ТМК в 2020–2022 гг. При оценке уделяли внимание типу запроса (плановый, экстренный, неотложный), региону, из которого поступил запрос, а также соответствию категории срочности запроса диагнозу пациента. В ходе исследования проведен анализ структуры повреждений, их тяжести по шкале Injury Severity Score (ISS) на момент травмы, а также сроков формирования запроса и перевода в федеральную клинику с момента получения травмы.
Результаты. За 2020–2022 гг. поступило 3745 запросов на проведение ТМК, из них экстренных и неотложных 572. В динамике отмечен рост количества запросов на ТМК более чем в три раза за 3 года. За 2020–2022 гг. в клинику были переведены 78 пациентов. У 36 пациентов с сочетанными и множественными повреждениями проведена оценка тяжести травмы в соответствии со шкалой ISS, средний балл — 31 (min 9; max 57). Средний срок отправки запроса региональным учреждением с момента госпитализации пострадавшего составил 6,7 сут. Госпитализация в клинику Центра от момента получения травмы составила 10,3 сут. (min 1; max 58).
Заключение. Были выявлены следующие проблемы, на решение которых должны быть направлены дальнейшие организационные шаги: высокая доля несоответствия типа запроса истинной клинической картине, отсроченные обращения за консультацией, длительность медицинской эвакуации и вопросы ее организации.
Полный текст
АКТУАЛЬНОСТЬ
По данным ВОЗ и Eurosafer (European Association for Injury Prevention and Safety Promotion), травмы являются основной причиной смерти и инвалидности среди пациентов в возрасте от 1 года до 19 лет1, 2, 3.
Еще в начале 1990-х гг. было предсказано, что травматические повреждения, вызванные дорожно-транспортными происшествиями, станут основной причиной детской смертности к 2020 г., превысив смертность от инфекционных заболеваний 3. Этот эпидемиологический сдвиг отражает прогресс, достигнутый в профилактике и лечении детских инфекций, и отсутствие высокоэффективных программ, направленных на профилактику и лечение травм. Некоторые исследования показывают, что жители регионов с низкой плотностью населения подвергаются риску как травматических повреждений, так и высокой смертности, связанной с травмами, на фоне недостаточного обеспечения медицинской помощью [1, 2, 3, 4].
Исследования показывают, что результаты лечения пациентов после травм, особенно детей, значительно лучше, если оно проводится своевременно в условиях специализированного центра, имеющего подготовленные кадры и современную материально-техническую базу. По объективным социально-экономическим причинам это сложно обеспечить в отдаленных регионах. По сравнению с пациентами, получившими травмы в городах, у пациентов из сельской местности меньше шансов получить лечение в травматологическом центре и в два раза выше риск летального исхода [5, 6, 7, 8].
Возможные причины, по которым пациенты с травматическими повреждениями не попадают своевременно на соответствующий специализированный этап, включают задержки с оповещением или транспортировкой службами неотложной медицинской помощи, значительное плечо эвакуации от места травмы до ближайшего травматологического центра, сложности с определением тактики лечения специалистами регионального учреждения, предпочтение пациентов оставаться рядом со своей семьей и ряд других [5, 9]. Ограниченные кадровые и технологические ресурсы могут привести к задержкам в диагностике и необходимом лечении, ошибочной тактике, а также к увеличению числа переводов между учреждениями до госпитализации пациента в специализированное отделение [10].
Одним из возможных решений некоторых из обозначенных проблем в последние годы является широкое внедрение телемедицинских консультаций (ТМК), проводимых в режиме реального времени либо в течение регламентированного ограниченного временного коридора, что позволяет повысить качество травматологической помощи [11, 12, 13].
Вопрос цифрового консультативного взаимодействия между учреждениями разного уровня, оказывающими экстренную и неотложную помощь, в частности детям с травмами, с учетом географических особенностей Российской Федерации является чрезвычайно актуальным.
Цель исследования — провести анализ результатов экстренных и неотложных телемедицинских консультаций и госпитализаций по итогам телемедицинских консультаций у детей с травмами опорно-двигательного аппарата.
МАТЕРИАЛ И МЕТОДЫ
Дизайн исследования — ретроспективное моноцентровое. Глубина ретроспекции — 2020–2022 гг.
В Российской Федерации в соответствии с Приказом Минздрава России от 30 ноября 2017 г. № 965н «Об утверждении порядка организации и оказания медицинской помощи с применением телемедицинских технологий» создана телемедицинская система дистанционных консультаций федерального и регионального уровней (http://tmk.minzdrav.gov.ru/). В соответствии с приказом определены три варианта ТМК:
- в экстренной форме — при внезапных острых заболеваниях, состояниях, обострении хронических заболеваний, представляющих угрозу жизни больного; срок осуществления консультации с момента запроса — 30–120 мин.;
- в неотложной форме — при острых состояниях, обострении хронических заболеваний без явных признаков угрозы жизни; срок ответа — в течение 3–24 ч. с момента запроса;
- в плановой форме — при проведении профилактических мероприятий, при заболеваниях и состояниях, не сопровождающихся угрозой жизни больного, не требующих экстренной и неотложной медицинской помощи.
Инициатором проведения ТМК в соответствии с приведенным нормативным документом является лечащий врач.
С 2020 г. НМИЦ детской травматологии и ортопедии имени Г.И. Турнера участвует в консультативной работе посредством указанной выше системы.
Проведен сплошной анализ запросов в телемедицинской системе дистанционных консультаций федерального и регионального уровней с последующей выборкой по следующим критериям включения:
- диагноз по номенклатуре МКБ-10 соответствует классу XIX: травмы, отравления и некоторые другие последствия воздействия внешних причин (S00-T98);
- детский возраст (до 18 лет);
- профиль консультации «детская травматология и ортопедия»;
- тип запроса: плановый, неотложный, экстренный;
- наличие полной информации для проведения консультации (медицинская документация, лучевой архив).
Кроме того, при оценке запросов в системе уделяли внимание региону, соответствию срочности запроса диагнозу пациента, локализации повреждений, проводили оценку тяжести по шкале ISS на момент травмы, учитывали сроки формирования запроса с момента травмы и перевода в Федеральный центр.
Статистический анализ
Полученные данные были проанализированы с применением программы StatTech v. 3.1.6 (Статтех) и Microsoft Excel. Категориальные переменные были описаны с указанием абсолютных значений и процентных долей. Сравнение групп по количественному показателю выполнялось с помощью U-критерия Манна – Уитни. Сравнение процентных долей при анализе многопольных таблиц сопряженности выполнялось с помощью критерия ÷2 Пирсона.
РЕЗУЛЬТАТЫ
Всего за 2020–2022 гг. поступило 3745 запросов на проведение ТМК, в том числе 572 экстренных и неотложных (табл. 1).
Таблица 1.Структура запросов телемедицинских консультаций в 2020–2022 гг.
Тип консультативного запроса | 2020 | 2021 | 2022 |
Плановый | 465 | 999 | 1709 |
Экстренный несоответствие типу запроса, n / % | 56 22/39,3 | 162 74/45,6 | 133 39/29,3 |
Неотложный несоответствие типу запроса, n / % | 48 21/43,8 | 90 45/50 | 83 25/30,1 |
Всего ТМК из них экстренные + неотложные, % | 569 18,3 | 1251 20,1 | 1925 11,2 |
При анализе количества запросов ТМК по годам выявлен суммарный рост более чем в три раза за 3 года, в том числе двукратный по экстренным и неотложным состояниям. Следует отметить, что при стабильном увеличении общего числа запросов за 2022 г. несколько уменьшилось их количество в категориях «экстренный» и «неотложный». В то же время анализ данной категории запросов показал существенную частоту несоответствия содержания обращения по отношению к категории его срочности. В динамике в 2022 г. отмечался регресс данного несоответствия.
Запросы, не соответствующие категории срочности, касались плановых состояний, связанных с длительно существующей ортопедической патологией опорно-двигательного аппарата без признаков острого прогрессирования и значимого ухудшения состояния больного.
Структура запросов ТМК, соответствующих срочности, по локализации поражения представлена в таблице 2.
Таблица 2. Структура запросов по локализации повреждений у пациентов с травмами
Локализация повреждения | Количество пациентов, n (%) |
Множественные и сочетанные повреждения | 65 (18,7) |
Челюстно-лицевая травма | 6 (1,8) |
Повреждения конечностей | 199 (57,6) |
Повреждения таза | 17 (4,9) |
Повреждения позвоночника | 59 (17,0) |
География обращений региональных специалистов с отметкой «экстренный» и «неотложный» запрос (351 и 221 соответственно) включала 78 регионов. Обращает внимание значительное число запросов из относительно малонаселенных регионов. В таблице 3 приведены регионы Российской Федерации, из которых поступило наибольшее количество экстренных и неотложных запросов на проведение ТМК.
Структура причин запросов включала сочетанные и множественные травмы, изолированные повреждения.
Таблица 3. Регионы РФ с наибольшим количеством запросов на проведение телемедицинских консультаций в категориях «экстренный» и «неотложный»
Регион | Число запросов |
Камчатский край | 36 |
Курская область | 25 |
Ямало-Ненецкий автономный округ | 23 |
Липецкая область | 20 |
Чеченская Республика | 18 |
Калининградская область | 18 |
Воронежская область | 17 |
Республика Башкортостан | 14 |
Краснодарский край | 14 |
Пензенская область | 13 |
С 2021 г. в НМИЦ детской травматологии и ортопедии имени Г.И. Турнера действует служба по оказанию помощи детям и подросткам с травмами опорно-двигательного аппарата, требующими высокотехнологичной медицинской помощи, а также консультативной помощи для специалистов регионов по любым видам повреждений опорно-двигательного аппарата с круглосуточным режимом работы ежедневно. По результатам экстренных и неотложных телемедицинских консультаций в период 2021–2022 гг. в клинику Центра было госпитализировано 78 пациентов (в 2021 г. — 46, в 2022 г. — 32). Средний возраст пациентов составил 13,2 лет (min 4, max 17). Для пациентов с сочетанной травмой (36 детей) проведена оценка по шкале ISS, средний балл составил 31 (min 9, max 57). Дополнительно у госпитализированных пациентов был проанализирован тип травматизма (рис. 1).
Рис. 1. Типы травматизма у пациентов с изолированными и сочетанными повреждениями, госпитализированных в Центр
Fig. 1. Injury types in patients with isolated and combined injuries admitted to the Center
Условно к бытовому травматизму были отнесены попытки суицида у детей и подростков. Статистический анализ выявил значимое различие между пациентами с изолированными и сочетанными повреждениями (p = 0,019) — у пациентов с сочетанными повреждениями преобладал бытовой травматизм, преимущественно за счет суицида (кататравмы).
Структура повреждений по локализациям у пациентов, поступивших в клинику Центра по результатам ТМК, представлена в таблице 4.
Таблица 4. Структура повреждений у пациентов, госпитализированных в Центр по результатам ТМК
Локализация повреждения | Количество пациентов, n (%) |
Множественные и сочетанные повреждения | 28 (36) |
Челюстно-лицевая травма | 3 (4) |
Повреждения грудной клетки | 1 (1) |
Повреждения таза | 5 (7) |
Повреждения позвоночника | 15 (19) |
Повреждения конечностей | 26 (33) |
Средний срок экстренных и неотложных запросов на ТМК с момента травмы составил 6,7 сут. (min 1, max 45; Q1–Q3 = 1–8), при этом средний срок запросов для изолированных травм составил 5,5 сут. (min 1, max 45; Q1–Q3 = 2–5), для множественных и сочетанных — 7,8 сут. (min 1, max 38; Q1–Q3 = 1–10). Хотя статистический анализ не выявил значимых различий по срокам запроса на ТМК между пациентами с изолированными и сочетанными повреждениями (p = 0,624), обращает на себя внимание диссоциация между сложностью клинической ситуации и сроком консультативного запроса, включая определение рациональной тактики ведения пациента.
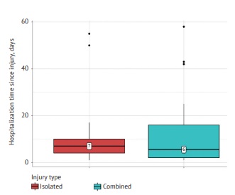
Средний срок между получением травмы и поступлением в клинику Центра составил 10,3 сут. (min — 1, max — 58; Q1–Q3 = 2–12). Из 78 пациентов у 42 (54,4%) медицинская эвакуация была организована местными медицинскими организациями. У 36 (45,6%) пострадавших транспортировка была организована самостоятельно родственниками, при этом плечо доставки в 23 случаях превышало 500 км. Сравнительный анализ сроков поступления пациентов в клинику Центра с изолированными и сочетанными повреждениями не выявил значимых различий (p = 0,976) (рис. 2).
Рис. 2. Срок между получением травмы и поступлением в клинику Центра в зависимости от типа повреждения
Fig. 2. Analysis of the terms of hospitalization from the moment of injury, depending on the type of injury
Это, возможно, указывает на организационные факторы, нивелирующие либо преобладающие над клиническими.
ОБСУЖДЕНИЕ
За 3 года было получено более 3000 запросов на ТМК, и их количество продолжает расти. Эти данные позволяют судить о востребованности системы для региональных учреждений по профилю «детская травматология и ортопедия». Данный формат работы является относительно новым. Возможно, это объясняет значительное количество ложных экстренных и неотложных запросов. Дополнительными потенциальными причинами могут являться желание региональных специалистов получить заключение в максимально короткие сроки, в том числе и при плановых патологических состояниях, либо недостаточная информированность о регламенте работы телемедицинской системы. С течением времени данная работа постепенно отлаживается, но их доля остаётся ощутимой – около 30%.
География экстренных и неотложных консультаций за анализируемый период покрывала практически всю территорию страны (78 субъектов). Лидером по экстренным и неотложным ТМК является Камчатский край, что, вероятно, объясняется несколькими факторами: демографическим (низкая плотностью населения), кадровым обеспечением, географической изолированностью от других регионов, отсутствием прямого сухопутного сообщения.
При анализе группы пациентов, поступивших на лечение в клинику Центра по результатам ТМК, установлена актуальность данного формата для пациентов с множественными и сочетанными повреждениями, которые составили половину госпитализированных.
Обращают на себя внимание пролонгированные, на наш взгляд, сроки формирования запроса от момента травмы, достоверно не коррелирующие по полученным данным с тяжестью и сложностью повреждения. Этот аспект является важным для лечения скелетных травм у детей, когда оптимально проведение хирургического лечения в ранние сроки, до активных процессов консолидации в порочном положении, что увеличивает травматичность хирургических вмешательств.
Следует отметить данные об отсутствии значимых различий по срокам госпитализации пациентов с сочетанными и изолированными повреждениями. Для ряда повреждений (осложненные повреждения позвоночника, таза, крестца) отсроченное хирургическое лечение менее эффективно и менее безопасно в плане рисков различных осложнений.
Исходя из полученных данных, не было установлено объективных причин, объясняющих длительные сроки при обращении за консультацией. В частности, кажется логичным, что непростая клиническая ситуация требует раннего коллегиального обсуждения. В то же время средний срок формирования запросов для детей с травмами, по нашим данным, составил 6,7 сут. Вероятно, на фоне стабилизации состояния пациента возникает вопрос о переводе в специализированный центр для хирургического лечения. На наш взгляд, оптимальна модель решения тактических и клинических вопросов в рамках единой системы, заблаговременно, а не этапно, что в целом затягивает сроки оказания помощи.
По опыту специалистов, отраженному в научных исследованиях, применение телемедицинских технологий, обеспечивающих оперативное взаимодействие региональных учреждений и клинического специализированного травматологического центра, позволяет снизить количество переводов между учреждениями, общую длительность пребывания в стационаре, а также количество необязательных в ходе диагностического процесса исследований [13, 14]. При этом необоснованная отсрочка перевода значимо ухудшает результаты лечения [15, 16]. С учетом полученных данных и данных литературы совершенствование службы ТМК при экстренных и неотложных состояниях должно идти совместно с проработкой регламентированных алгоритмов маршрутизации и вопросов транспортировки пациентов между учреждениями, что в итоге формирует слаженную систему оказания помощи пациентам с травмами, в том числе с учетом географических условий региона и страны в целом [14, 17, 18].
Таким образом, внедрение системы ТМК по профилю «детская травматология и ортопедия», согласно проведенному анализу, показало свою востребованность в прогрессирующем от года к году количественном выражении и обеспечило оперативное взаимодействие специализированного центра со всеми региональными учреждениями страны. В то же время обозначились следующие актуальные вопросы:
ЗАКЛЮЧЕНИЕ
Система телемедицинских консультаций, как показала практика, является широко востребованным и эффективным элементом оперативного взаимодействия между федеральными и региональными учреждениями страны при оказании помощи детям с патологией опорно-двигательного аппарата. Данный аспект особенно важен с учетом обширной географии Российской Федерации и в целом играет положительную роль в повышении эффективности и качества оказания специализированной неотложной, в том числе высокотехнологичной помощи детскому населению по профилю «травматология и ортопедия». Анализ проводимой работы обозначил некоторые проблемы, связанные с качеством запросов, сроками их отправки, осуществлением перевода и транспортировки пациента. Очевидно, что данные вопросы лежат в зоне интересов и ответственности профессионального сообщества, а также в плоскости организационных решений, в том числе межведомственного уровня.
ДОПОЛНИТЕЛЬНАЯ ИНФОРМАЦИЯ
Заявленный вклад авторов
Зорин В.И. — дизайн исследования, сбор и обработка данных, написание и редактирование текста статьи.
Лукьянов С.А. — поиск и анализ источников литературы, сбор и обработка данных, написание текста статьи.
Все авторы прочли и одобрили финальную версию рукописи статьи. Все авторы согласны нести ответственность за все аспекты работы, чтобы обеспечить надлежащее рассмотрение и решение всех возможных вопросов, связанных с корректностью и надежностью любой части работы.
Источник финансирования. Авторы заявляют об отсутствии внешнего финансирования при проведении исследования.
Возможный конфликт интересов. Авторы декларируют отсутствие явных и потенциальных конфликтов интересов, связанных с публикацией настоящей статьи.
Этическая экспертиза. Не применима.
Информированное согласие на публикацию. Не требуется.
DISCLAIMERS
Author contribution
Zorin V.I. — study concept and design, data collection and processing, writing and drafting the article.
Lukyanov S.A. — literature search and analysis, data collection and processing, writing the article.
All authors have read and approved the final version of the manuscript of the article. All authors agree to bear responsibility for all aspects of the study to ensure proper consideration and resolution of all possible issues related to the correctness and reliability of any part of the work.
Funding source. This study was not supported by any external sources of funding.
Disclosure competing interests. The authors declare that they have no competing interests.
Ethics approval. Not applicable.
Consent for publication. Not required.
1 Child Safety Report Card 2009: Europe Summary for 24 Countries. Published online 2009. Available from: https://webgate.ec.europa.eu/chafea_pdb/assets/files/pdb/20101212/20101212_d1-00_oth_en_ps.pdf. Accessed January 15, 2023.
2 CDC Injury fact book. Published online 2006. Available from: https://stacks.cdc.gov/view/cdc/11438. Accessed January 15, 20232.
3 The Global burden of disease : a comprehensive assessment of mortality and disability from diseases, injuries, and risk factors in 1990 and projected to 2020 : summary / ed. by Ch.J.L. Murray, A.D. Lopez. Available from: http://apps.who.int/iris/handle/10665/418643.
Об авторах
Вячеслав Иванович Зорин
ФГБУ «Национальный медицинский исследовательский центр детской травматологии и ортопедии имени Г.И. Турнера» Минздрава России; ФГБОУ ВО «Северо-Западный государственный медицинский университет имени И.И. Мечникова» Минздрава России
Email: zoringlu@yandex.ru
ORCID iD: 0000-0002-9712-5509
кандидат медицинских наук, врач травматолог ортопед, заместитель директора по научной и учебной работе
Россия, Санкт-Петербург; 196603, Пушкин, ул. Парковая, д. 64–68Сергей Андреевич Лукьянов
ФГБУ «Национальный медицинский исследовательский центр детской травматологии и ортопедии имени Г.И. Турнера» Минздрава России
Автор, ответственный за переписку.
Email: Sergey.lukyanov95@yandex.ru
ORCID iD: 0000-0002-8278-7032
очный аспирант отделения последствий травм и ревматоидного артрита, врач травматолог-ортопед
Россия, Пушкин, ул. Парковая д.64-68Список литературы
- Peek-Asa C., Zwerling C., Stallones L. Acute traumatic injuries in rural populations. Am J Public Health. 2004;94(10):1689-1693. doi: 10.2105/ajph.94.10.1689.
- Leff M., Stallones L., Keefe T.J., Rosenblatt R., Reeds M. Comparison of urban and rural non-fatal injury: the results of a statewide survey. Inj Prev. 2003;9(4):332-337. doi: 10.1136/ip.9.4.332.
- Tiesman H., Zwerling C., Peek-Asa C., Sprince N., Cavanaugh J.E. Non-fatal injuries among urban and rural residents: the National Health Interview Survey, 1997-2001. Inj Prev. 2007;13(2):115-119. doi: 10.1136/ip.2006.013201.
- Rogers F.B., Ricci M., Caputo M., Shackford S., Sartorelli K., Callas P. et al. The use of telemedicine for real-time video consultation between trauma center and community hospital in a rural setting improves early trauma care: preliminary results. J Trauma. 2001;51(6):1037-1041. doi: 10.1097/00005373-200112000-00002.
- Fleet R., Bussières S., Tounkara F.K., Turcotte S., Légaré F., Plant J. et al. Rural versus urban academic hospital mortality following stroke in Canada. PLoS One. 2018;13(1):e0191151. doi: 10.1371/journal.pone.0191151.
- Lapointe L., Lavallee-Bourget M.H., Pichard-Jolicoeur A., Turgeon-Pelchat C., Fleet R. Impact of telemedicine on diagnosis, clinical management and outcomes in rural trauma patients: A rapid review. Can J Rural Med. 2020;25(1):31-40. doi: 10.4103/CJRM.CJRM_8_19.
- Pai P.K., Klinkner D.B. Pediatric trauma in the rural and low resourced communities. Semin Pediatr Surg. 2022;31(5):151222. doi: 10.1016/j.sempedsurg.2022.151222.
- Kohler J.E., Falcone R.A. Jr., Fallat M.E. Rural health, telemedicine and access for pediatric surgery. Curr Opin Pediatr. 2019;31(3):391-398. doi: 10.1097/MOP.0000000000000763.
- Newgard C.D., Fu R., Bulger E., Hedges J.R., Mann N.C., Wright D.A. et al. Evaluation of Rural vs Urban Trauma Patients Served by 9-1-1 Emergency Medical Services. JAMA Surg. 2017;152(1):11-18. doi: 10.1001/jamasurg.2016.3329.
- Bergeron C., Fleet R., Tounkara F.K., Lavallée-Bourget I., Turgeon-Pelchat C. Lack of CT scanner in a rural emergency department increases inter-facility transfers: a pilot study. BMC Res Notes. 2017;10(1):772. doi: 10.1186/s13104-017-3071-1.
- Mohr N.M., Vakkalanka J.P., Harland K.K., Bell A., Skow B., Shane D.M., Ward M.M. Telemedicine Use Decreases Rural Emergency Department Length of Stay for Transferred North Dakota Trauma Patients. Telemed J E Health. 2018;24(3):194-202. doi: 10.1089/tmj.2017.0083.
- Wibbenmeyer L., Kluesner K., Wu H., Eid A., Heard J., Mann B. et al. Video-Enhanced Telemedicine Improves the Care of Acutely Injured Burn Patients in a Rural State. J Burn Care Res. 2016;37(6):e531-e538. doi: 10.1097/BCR.0000000000000268.
- Duchesne J.C., Kyle A., Simmons J., Islam S., Schmieg R.E. Jr., Olivier J. et al. Impact of telemedicine upon rural trauma care. J Trauma. 2008;64(1):92-97. doi: 10.1097/TA.0b013e31815dd4c4.
- Moya M., Valdez J., Yonas H., Alverson D.C. The impact of a telehealth web-based solution on neurosurgery triage and consultation. Telemed J E Health. 2010;16(9):945-949. doi: 10.1089/tmj.2010.0044.
- Uhrenfeldt L., Aagaard H., Hall E.O., Fegran L., Ludvigsen M.S., Meyer G. A qualitative meta-synthesis of patients’ experiences of intra- and inter-hospital transitions. J Adv Nurs. 2013;69(8):1678-1690. doi: 10.1111/jan.12134.
- Ward M.M., Jaana M., Natafgi N. Systematic review of telemedicine applications in emergency rooms. Int J Med Inform. 2015;84(9):601-616. doi: 10.1016/j.ijmedinf.2015.05.009.
- Mohr N.M., Harland K.K., Chrischilles E.A., Bell A., Shane D.M., Ward M.M. Emergency Department Telemedicine Is Used for More Severely Injured Rural Trauma Patients, but Does Not Decrease Transfer: A Cohort Study. Acad Emerg Med. 2017;24(2):177-185. doi: 10.1111/acem.13120.
- Sorensen M.J., von Recklinghausen F.M., Fulton G., Burchard K.W. Secondary overtriage: the burden of unnecessary interfacility transfers in a rural trauma system. JAMA Surg. 2013;148(8):763-768. doi: 10.1001/jamasurg.2013.2132.
Дополнительные файлы








