Total Hip Arthroplasty in Patients With Post-Traumatic Bone Defects and Acetabular Deformities
- Authors: Pronskikh A.A.1, Romanova S.V.1, Lukinov V.L.1, Bazlov V.A.1, Mamuladze T.Z.1, Korytkin A.A.1, Pavlov V.V.1
-
Affiliations:
- Novosibirsk Research Institute of Traumatology and Orthopedics n.a. Ya.L. Tsivyan
- Issue: Vol 28, No 4 (2022)
- Pages: 66-78
- Section: СLINICAL STUDIES
- Submitted: 04.10.2022
- Accepted: 09.12.2022
- Published: 26.12.2022
- URL: https://journal.rniito.org/jour/article/view/2001
- DOI: https://doi.org/10.17816/2311-2905-2001
- ID: 2001
Cite item
Abstract
Backround. Total hip replacement in cases of traumatic changes of the acetabulum refers to cases of difficult primary arthroplasty and requires detailed preoperative planning and accurate restoration of anatomical relationships in the operated joint.
The aim of the study was to evaluate the structure of pathological changes in the acetabulum in patients with posttraumatic hip arthrosis, to develop a method for their detailed description and to determine the tactics of choosing the type of acetabulum implant.
Methods. The results of treatment of 194 patients with the consequences of acetabulum fractures who underwent total hip arthroplasty in the period from 2014 to 2022 were analyzed. The study was conducted in two stages, at the first stage, the structure of pathological changes, such as defect, deformation, changes in the center of rotation and offset (relatively healthy contralateral joint), was analyzed. A method was developed for choosing the tactics of implantation of the acetabulum component, based on a detailed description of the defect and deformation of the acetabulum. The second stage analyzed the results of treatment of patients for whom planning and surgical treatment was carried out in the period from 2020 to 2022 using the proposed method.
Results. During the first stage of the study, it was revealed that the magnitude of the change in the indicators of the displacement of the rotation center and offset changes by more than 8 mm. statistically significantly increases the likelihood of complications by 17.9%. The restoration of the rotation and offset center reduces the number of complications by 22.3%. The proposed method makes it possible to statistically reliably restore anatomical relationships in the operated hip joint and reduce the number of complications by 10%.
Conclusion. The proposed method allows us to qualitatively and quantitatively describe pathological changes in the bone tissue of the acetabulum. Depending on the degree of displacement of the center of rotation, the walls of the acetabulum and the nature of the defect of the supporting bone tissue, the surgeon can determine the tactics of surgical treatment.
Full Text
BACKGROUND
Nearly 1 million hip arthroplasties are performed in the world annually. This type of hip replacement in patients with acetabular injury consequences refers to complicated cases of arthroplasty due to acetabular defects and post-traumatic deformities. Literature data describe multiple ways of surgical treatment of this category of patients that is focused on achieving stable primary fixation of components, replacing bone defects with transplants or augments, implanting acetabular component in the true center of rotation in order to restore biomechanics of the affected joint [1, 2, 3].
Nowadays there is no common evaluation system of post-traumatic changes in the acetabulum such as defects and deformities, that significantly complicates the analysis of results of primary arthroplasty and development of system approach when choosing surgical tactics [4]. Trying to describe the localization and the character of pathologic changes, most authors use either acetabular fractures classifications [5, 6, 7], or periacetabular osteolysis classification, such as AAOS [8], DGOT [9], classifications of A.E. Gross and K.J. Saleh [10], W.G. Paprosky [11].
However, both approaches are not without significant disadvantages. Attempts to use the classification of acute pelvic damages for evaluation of post-traumatic changes of the acetabulum during the primary replacement are incapable to reveal all aspects that might significantly affect the choice of surgical tactics enabling stable and correct implantation of acetabular prosthesis component. Descriptive systems for revision arthroplasty cannot fully reflect the state of bone tissue in the context of post-traumatic acetabular changes. Careful preoperative planning based on visualization and description of acetabulum deformity and post-traumatic defect of bone tissue is necessary to develop a surgical plan, to choose correct implant size and type and to decide upon the necessity of bone grafting.
In our study we suggested the following hypothesis: creation of descriptive system based on qualitative and quantitative evaluation of deformity and defect of bones forming the acetabulum enables to plan the spatial attitude of acetabular component as well as the type of its fixation and the extent of osteoplasty necessary for restoration of correct biomechanics of the hip joint. Application of this system will allow to improve clinical and functional treatment results of patients with post-traumatic hip osteoarthritis.
METHODS
Treatment results of 194 patients with acetabular injury consequences were analyzed in the study. All patients underwent total hip arthroplasty at Novosibirsk Research Institute of Traumatology and Orthopedics n.a. Ya.L. Tsivyan between 2014 and 2022. The study was retrospective.
Study inclusion criteria:
– unilateral grade 3 post-traumatic hip osteoarthritis;
– AAOS type II-IV defect of the acetabulum [12];
– age of more than 18 years;
– availability of radiographic examination results (X-rays, multislice spiral CT) and medical records concerning preceding trauma.
Presence of active inflammation or infection at the surgical site at the time of admission to the hospital was considered as an exclusion criterion.
Among the patients were 147 men and 47 women, their mean age at the time of total hip arthroplasty was 52.2±10.1 years.
Average time after the trauma was 4.6±0.3 years. Fracture type analysis according to AO/ASIF classification was performed basing on the presented medical records and X-rays [12].
For the study we advanced the hypothesis that the restoration of hip joint anatomy as close to the intact contralateral joint as possible, allows to improve functional treatment result and to reduce complications, associated directly with the method of surgical treatment.
To verify the hypothesis, all patients were divided into two groups at the stage I of the study. Group allocation was performed depending on the degree of restoration of such parameters as triplane displacement of the center of rotation and femoral offset of the operated joint in comparison to the contralateral joint (Fig. 1).
Fig. 1. Flowchart of the I stage of the study
Group 1 included 56 patients, who had no more than 8 mm discrepancy between the values of displacement of the center of rotation and between the values of offset. Group 2 enrolled 138 patients who had more than 8 mm difference at least in one of the parameters. Threshold value of 8 mm for group allocation was determined by the performed statistical ROC analysis.
Patient characteristics of the stage I of the study is presented in the Table 1.
Table 1
Characteristics of patients at the stage I of the study
Characteristics | Group 1 n = 56 | Group 2 n = 138 |
Mean age, y.o., M±SD | 52.55±11.68 | 52.24±13.66 |
Men/women | 41/15 | 104/33 |
Time after injury, years, M±SD | 3.81±0.34 | 5.17±0.49 |
Allocation was performed depending on the defect type according to AAOS classification. [8]. Type 2 and 3 defects were predominant in both groups. Type 5 defects were identified in group 1 in 2 cases.
During the stage I of the study we developed the method that allowed to determine surgical tactics of acetabular component implantation of total prosthesis. Stage II of our study was carried out to analyze the method efficacy. Patients were divided into two groups. Group 1 included 45 patients who underwent preoperative planning between 2020 and 2022 with the application of suggested method. Surgical tactics was chosen according to this method as well. Group 2 (control group) included 149 patients who underwent conventional preoperative planning (plane templates, virtual planning program) between 2014 and 2019 (Fig. 2). Gender and age characteristics are presented in the Table 2.
Fig. 2. Flowchart of the II stage of the study
Table 2
Characteristics of patients at the stage II of the study
Characteristics | Group 1 (2020–2022) | Group 2 (2014–2019) |
Mean age, y.o., M±SD | 53.74±12.55 | 51.89±13.26 |
Men/women | 34/11 | 113/36 |
Time after injury, years, M±SD | 5.23±7.16 | 4.63±5.45 |
Assessment of results
Hospital length of stay, surgery duration and intraoperative blood loss were compared in order to evaluate clinical results. Functional results were assessed by the means of statistical analysis of joint function according to Harris Hip Score (HHS) and intensity of pain according to visual analogue scale (VAS). These scores were compared between all groups before the surgery and 6 months after it. Structure of complications was analyzed separately.
Statistical analysis
Mann-Whitney U-test was used for comparison of continuous variables between the groups. Two-tailed Fisher's exact test was applied for binary and categorical variables comparison. Identification of pairwise association between continuous variables was performed by calculating the Spearman rank correlation coefficient with evaluation of achieved level of significance p. Statistical hypothesis testing was carried out at the level of significance p=0.05, i.e., the difference was considered statistically significant in case of p<0.05. ROC analysis was used to assess correlation between the complications and the value of displacement of the center of rotation.
RESULTS
Stage I study results
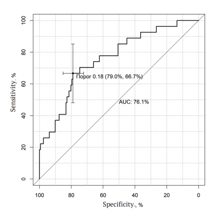
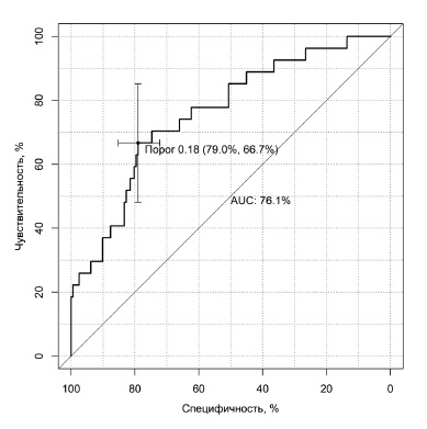
Total amount of complications and clinical and functional treatment results was analyzed with the use of logistic regression method with definition of correlated covariants. It was determined that the variation values of vertical and anteroposterior displacement of the center of rotation and offset change of more than 8 mm increased statistically significantly increased the risk of complications by 17.9% with the sensitivity index of 66.7% and specificity of 79% (Fig. 3).
Fig. 3. Receiver operating characteristic (ROC) curve (threshold value 17.9). Automatic multifactorial optimal predictive model of complications
When the threshold value of spatial variation of the center of rotation and offset was identified, two experimental groups were formed: group 1 with displacement of less than 8 mm; group 2 with displacement of more than 8 mm. Evaluation of clinical results of the stage I of the study included analysis of hospital length of stay, intraoperative blood loss, surgery duration (Tab. 3).
Table 3
Clinical outcomes at the stage I of the study (M±SD, Ме, min-max)
Characteristics | Group 1 (displacement less than 8 mm) | Group 2 (displacement more than 8 mm) | p |
Hospital length of stay, days | 9.20±3.46 8 3–22 | 11.01±6.01 9 4–43 | 0.013* |
Blood loss, ml | 310.89±150.72 300 100–700 | 374.09±237.49 300 200–2000 | 0.104 |
Surgery duration, min. | 85.80±41.56 75 35–300 | 89.39±40 80 40–300 | 0.390 |
* — hereinafter: result is considered statistically significant.
Structure of complications is presented in the Table 4. Functional results 6 months after the surgery are reported in the Table 5.
Table 4
Structure of complications at the stage I of the study, %
Type of complication | Group 1 (displacement less than 8 mm) | Group 2 (displacement more than 8 mm) |
Surgical site infections | 0 | 4.3 |
Recurrent dislocation | 0 | 3.2 |
Aseptic loosening | 0 | 2.1 |
Neuropathy | 0 | 9.7 |
Periprosthetic fracture | 2.4 | 5.4 |
Table 5
Functional results in 6 months at the stage I of the study, points
Scale | Group 1 | Group 2 | p |
VAS | 2.66±1.28 | 2.47±1.26 | 0.334 |
HHS | 84.87±9.18 | 78.12±9.01 | <0.001* |
Analysis of the stage I study results showed no statistical difference in such parameters as surgery duration and blood loss. These results are due to the fact that all surgical interventions were performed by the same surgeons using the same methods. Difference in hospital length of stay is explained by increased number of complications in the group 2 (patients in whom the anatomical relationships in the operated joint were restored in a lesser extent). The fact that the group 1 patients had no such complications as recurrent dislocation and neuropathy of different portions of sciatic and femoral nerves deserves special attention. When analyzing joint functions according to HHS, statistically significant improvement of treatment results was obtained in the group of patients who had anatomic relationships restored maximally similarly to the contralateral joint. Studying in details the restoration results of such parameters as offset and spatial displacement of the center of rotation, we revealed significant correlation between the degree of offset variation and joint function (Fig. 4)
Fig. 4. Correlation between offset after surgery and joint function changes on the Harris Hip Score
Results obtained at the first stage of our study showed the need of careful preoperative planning and intraoperative restoration of anatomic parameters in the operated joint. Accumulating clinical material and analyzing intermediate results, during the first stage of the study we developed a method of preoperative planning for restoration of anatomy, improvement of current preoperative planning method and selection of surgery type for acetabular component implantation. This method was based on the stage-by-stage verification of pathologic structural changes of the acetabulum and included the measurement of two parameters, namely degree of deformity and acetabular defect size.
Multislice spiral computed tomography of pelvis and hip joints is performed at first. Сontralateral joint must be intact. Spatial axes of pelvis are lined, reference angles and lines are measured by mirroring the landmarks on the affected side. Studied parameters include displacement of the center of rotation, acetabulum deformity and defect of its weight-bearing bone tissue by segments. Deformity (displacement of acetabular walls) is defined after measuring the bone density according to the Hounsfield scale in the range from 200 to 400 HU. Native anatomic center of rotation of the intact hip joint having been detected, its hemisphere is determined and is divided into 3 sectors corresponding to pubic, ischiatic and supraacetabular parts of acetabulum. These sectors are denominated as P (pubis), Il (ilium) and Is (ischiadicum). To define the sector of the corresponding size, geometric figure matching is performed using the library formed with the range of sizes with 1 mm interval. The sector is positioned so that no less than 75% of its base surface would be in contact with the weight-bearing dense bone tissue and its top would correspond to the center of rotation. When the sector with known parameters of volume and surface area is chosen correctly and is well-aligned, these parameters are described for each sector that corresponds to pubic, ischiatic and supraacetabular surface of the acetabulum (Fig. 5).
Fig. 5. Virtual model with plotted planes and axes for quantitative measurements
After measuring the quantitative parameters (area, sector volume) the values obtained are mirroring on the pathologic side by transferring the center of rotation which is considered the reference point for spatial arrangement of geometric figures. Resulting graphic presentation is considered the norm for this joint. These parameters are denominated as normal. Pathologic sectors of each surface are measured from the mirrored center of rotation and are defined by choosing virtual sectors under the condition that no less than 75% of figure area would be in contact with the weight-bearing bone tissue of the segment. In order to implement this idea, we formed a virtual library of hemispheres and sectors with radius interval of 2 mm. Since the geometry of acetabular area defect is unique in each particular case, we developed a sector scale with 2 mm interval in order to put in practice the offered technology of defect assessment using virtual designing method (Fig. 6).
Fig. 6. Virtual model after the selection of sectors for measurement
Formation of test sectors library is performed via scaling method with the use of standard set of functions of the NetFabb software (Autodesk, USA). This technology of application of size- and volume-defined sectors for evaluation of pelvic bones defects especially in the acetabular area does not require specific knowledge and is available on any platform compatible with the *.stl format. The main advantage of this library is the simplicity of processing and receiving information on the defect. Obtained quantitative data are compared with normal ones. The area difference presented in percentage terms is denominated as weight-bearing bone tissue deformity, while the volume difference – as pathologic segment defect. Considering the discrepancy of deformity and defect severity between pathologic and normal segments, all changes are divided into 5 types: under 25%, from 26% to 40%, from 41% to 60%, from 61% to 80% and beyond 80%.
All parameters being defined, we compose characteristics of deformity and defect using quantitative numerical description of parameters separately for each acetabular segment (P – pelvic, Is – ischiatic, Il – iliac).
Basing on the clinical experience of the institute, domestic and foreign publications, we developed indications for application of different types and methods of fixation of acetabular components that depend on acetabulum deformity and defect degree. In our opinion, the main goal when performing arthroplasty is to restore anatomic and biomechanical relationships in the joint including the center of rotation and acetabular offset by achieving stable component fixation with 3 support points of the acetabulum and bone defect replacement.
In case of P I defects, the press-fit fixation and conventional uncemented acetabular components are possible, taking into account insignificant bone tissue loss and retention of weight bearing of the anterior acetabular column. Bone grafting is performed in case of bone tissue deficit in the area of pubic bone base. Both bone chips made of femoral head and alloplasty are possible. Use of fixing screws is up to the surgeon to decide in case of concomitant defects of other acetabular parts.
Is I defects also refer to insignificant ones and require optional bone or autogenous bone grafting in case of intact femoral head or alloplasty. With regard to sufficient volume of weight-bearing bone tissue of the posterior column, it is necessary to strive for press-fit fixation with the use of uncemented acetabular component.
In case of Il I defects, the acetabular structure is intact, so that the defect replacement does not require bone grafting. Uncemented fixation of the acetabular component is indicated. If necessary, the surgeon can also use screws to achieve greater stability.
Type I corresponds to insignificant changes. Preserved weight-bearing bone tissue of the acetabulum is enough to apply the press-fit fixation. Bone grafting is optional and is used in case of the defects located in the anterior or posterior column area only. Surgical intervention presents no technical difficulties and use of conventional acetabular components is possible.
Bone tissue loss in case of P II defects refers to moderate. However, combination of bone tissue loss in the anterior and posterior columns requires fixation with screws that are introduced not only in the supraacetabular area by sectors, but also in the pubic and ischial bones. That means that uncemented acetabular components with the big number of holes for polyaxial screws are needed. Combination of moderate anterior column defect and insignificant defects of other sectors prompts to use press-fit fixation by implanting large size acetabular component.
Is II defects also refer to moderate ones. If there are no defects of other sectors, large size acetabular component or acetabular component with polyaxial screws are possible. However, in case of moderate defects of all areas, posterior column reconstruction is necessary and includes its defect replacement by buttress augment to achieve the wedging effect. Bone grafting is optional, as the use of structural transplant will not allow to reach stable press-fit fixation.
Il II defects require replacement of the supraacetabular area defect using either buttress transplant made of femoral head, or hemispheric augment, if the bone quality is poor. Posterior column being preserved, large size acetabular component with polyaxial screws is recommended.
Type II defects are considered moderate and admit surgical intervention using conventional implants. However, supraacetabular bone stock and posterior column defects require replacement to achieve press-fit fixation. Bone grafting is recommended only in case of supraacetabular area defects. Cemented fixation of components is possible in none of the cases, as the presence of moderate defects will lead to incorrect execution of cemented arthroplasty and absence of acetabular component stable fixation.
P III defect refers to significant one due to the evident absence of weight-bearing bone in the anterior column of the acetabular area. In case of isolated P III defect, it is possible to use large size acetabular component with polyaxial fixing screws that must be inserted into all segments of acetabulum to achieve stable fixation. If P III defect is associated with significant sectors’ defects, the use of individual acetabular component of simple geometry, if possible, is recommended. This facilitates reaming of the acetabulum and increases variability of intraoperative component positioning. Bone grafting is performed with bone chips only, as soon as the use of structural transplant does not allow anterior column weight bearing.
Is III defect is significant. If significant posterior column defect is associated with insignificant or moderate defects of other sectors, the reconstruction of the posterior column with buttress augment or combination of buttress and spherical one is required. In case of isolated Is III defect it is indicated to use large size acetabular component with polyaxial fixing screws that are mandatory inserted into all segments of acetabulum to achieve stable fixation. If significant defects of all three sectors are present, implantation of individual acetabular components of mainly simple geometry is recommended. Bone grafting with structural transplant is not used.
Il III defect refers to significant, where the fraction of weight-bearing bone is up to 60%. In this situation isolated defect of supraacetabular bone stock requires defect replacement with hemispherical augment or osteoplasty and implantation of acetabular component with uncemented fixation in order to provide stability. If significant defect of supraacetabular area is associated with moderate defects of the anterior and posterior columns, it is recommended to use large size acetabular component with polyaxial screws, that can be introduced in all areas of acetabulum. In case of significant defects of all sectors we suggest to use individual acetabular component of mainly simple geometry with obligatory preoperative planning of direction and length of fixing screws.
P IV defects are subtotal. It is recommended to use individual acetabular component with restoration of pubic sector defect and obligatory screw fixation to other regions of acetabulum in case of isolated or complex deficit of weight-bearing bone in the anterior column area. The main requirement to this component is the holes for polyaxial screws to be introduced into the thickest bone areas, as soon as conventional components do not provide stable fixation. Components of simple geometry are preferred, because complex constructs require significant correcting of the bone bed in case of even minimal technical inaccuracy during their production, which can lead to component positioning that differs from the planned one. Alternative method is stage-by-stage surgical treatment with anterior column reconstruction via intrapelvic approach with its plate osteosynthesis.
Is IV defects also make it impossible to use conventional acetabular components. Method of choice is individual components with the restoration of posterior column defect and polyaxial screw fixation to other areas of the acetabulum. In that case careful preoperative planning and simulation of screw insertion direction are essential. It is recommended to use not only individual component, but also individual guide to make holes for screw insertion. Alternative method is stage-by-stage surgical treatment with plate reconstruction of the posterior column.
Il IV defects require obligatory replacement of subtotal defect of supraacetabular bone stock. In case of isolated defect, the implantation of large size acetabular component with polyaxial screws is possible. However, this method requires the system of augments, both buttress and thick hemispherical ones. In case of supraacetabular bone deficit associated with significant or subtotal defects of other regions of the acetabulum the preference should be given to individual acetabular components with polyaxial screws.
Type V defects are total. In that case the integrity of the acetabulum is violated, so that the fixation of conventional acetabular component in one or in all sectors is impossible. The main pathologic components of this type of defects are destruction of obturator foramen or iliac bone, that impairs the stability of the pelvic ring. Thus, the only arthroplasty option is to use individual acetabular components with complex geometry with extraacetabular fixation to intact parts of the pelvis. For example, components with fixation to the sacral bone, to the contralateral pubic bone etc. Decision upon the use of these individual components requires careful preoperative planning.
Stage II study results
Analysis of results concerning application of the suggested method was performed at the stage II of the study. Clinical outcomes are displayed in the Table 6, structure of complications – in the Table 7.
Table 6
Clinical outcomes at the stage II of the study (M±SD, Ме, min-max)
Characteristics | Group 1 (2020–2022) | Group 2 (2014–2019) | p |
Hospital length of stay, days | 9.89±6.91 8 5–38 | 10.67±4.92 8 7–43 | 0.020* |
Blood loss, ml | 392.39±198.60 350 150–1000 | 344.29±222.42 300 100–2000 | 0.067 |
Surgery duration, min. | 96.74±43.57 85 50–80 | 85.73±39.12 75 35–300 | 0.090 |
Table 7
Structure of complications in groups at the stage I of the study, n
Type of complication | Group 1 (2020–2022) | Group 2 (2014–2019) |
Total complications | 3 | 25 |
Surgical site infections | 2 | 3 |
Dislocation | 1 | 4 |
Neuropathy | 0 | 9 |
Instability | 0 | 2 |
Other | 0 | 7 |
Analysis of clinical results showed that the hospital length of stay was statistically significantly greater in the group of patients, who underwent conventional preoperative planning. This is due to the fact that the number of complications increased by 10%. We have compared the values of displacement of the center of rotation and offset in both groups in order to verify our hypothesis that the suggested method allows to restore anatomical relationships in the hip joint more effectively and precisely (Tab. 8).
Table 8
Displacement of anatomical markers in comparison with intact contralateral joint, mm (M±SD)
Characteristics | Group 1 (2020–2022) | Group 2 (2014—2019) | p |
Vertical displacement | 3.72±3.69 | 10.20±6.77 | <0.001* |
Horizontal displacement | 5.87±3.96 | 9.40±6.25 | <0.001* |
Anteroposterior displacement | 2.09±1.21 | 4.48±4.65 | 0.027* |
Offset | 4.20±2.85 | 7.76±6.25 | <0.001* |
Table data enable to conclude that optimal preoperative planning, application of algorithm of acetabular component selection and method of its fixation permit more accurate restoration of the operated joint anatomy.
Patient scores according to VAS and HHS were analyzed at the stage II of the study to assess functional outcomes (Tab. 9).
Table 9
Functional results 6 months after the surgery at the stage II of the study, points
Scale | Group 1 (2020–2022) | Group 2 (2014–2019) | p |
VAS | 2.65±0.92 | 2.48±1.36 | 0.112 |
HHS | 85.91±6.15 | 78.21±9.69 | <0.001* |
Presented data, as well as the stage I study results, show the dependence of the joint function changes on the restoration of the center of rotation and the offset.
DISCUSSION
AAOS classification, popular in the USA, allows to describe rather accurately the defects of any etiology (both post-traumatic and post-implantation) and represent its character. However, this classification does not reflect the severity of changes and only in small extent helps to determine the defect restoration tactics and implantation technique of the acetabular component [12]. Apart from the stable fixation of the components and defect replacement, several key points should be considered in order to achieve good results. These key points include the accurate restoration of the femoral offset, limbs length and center of rotation [13, 14].
Number of publications are known to address the tactics of patients’ surveillance, who have post-traumatic acetabular deformities [15, 16, 17]. The closest analogues to the suggested method were described by A.V. Tsybin et al. [4] and D.V. Martynenko et al. [18]. R.M. Tikhilov et al. single out three grades of post-traumatic deformity of the acetabulum based on the degree of the femoral head displacement [19]. Authors suggest several options for the type of acetabular component and method of its fixation depending on the severity of pathologic process. That method rests on the analysis of plane X-rays and is generalized. Moreover, the degree of the head displacement cannot always be described in details due to its absence or marked destruction.
D.V. Martynenko et al. proposed a way of description of acetabular deformities with the use of two-dimensional plane X-rays, based on the identification of the acetabular square – standard position of spheric femoral head or hemispheric acetabular component in the acetabulum [18]. The disadvantage of this method is its variability. Authors suggested 25 variants of acetabular deformities, but that method appeared to be difficult for clinical application. Moreover, the evaluation is performed using two-dimensional plane X-rays, that reduces the diagnostic value of the method. Assessment of degree of deformity severity is rather subjective and does not provide accurate quantitative characteristic of post-traumatic defect and acetabular deformity.
A.V. Tsybin et al. registered an invention, ASPID descriptive system, that allowed to increase the accuracy of acetabular deformity analysis and to develop a verified approach to the surgical treatment [4]. This method implies the estimation of displacement degree in CT scans; the diagnostics is based on three criteria: localization (by acetabular walls), degree of displacement and continuity of pelvic ring (disrupted or integer). Stage-by-stage identification of deformity components (degree of displacement of separate acetabular walls and center of rotation) and the principle of assessment of acetabular walls displacement are the main differences of our method. CT 3D reconstruction models, i.e., images that are cleared from noise and implants and visualized by Hounsfield’s scale between 200 and 400 HU, are used for analysis by the contrast with A.V. Tsybin’s invention [4].
CONCLUSION
Results of our study revealed the correlation between the degree of restoration of anatomical relationships in the operated joint and functional outcomes of treatment. Displacement of the center of rotation or the femoral offset for 8 mm or more is the threshold value, and it is possible to expect increase of complication rate and worsening of functional results in case of its overrun. Total hip replacement in patients with post-traumatic defects and deformities of the acetabulum requires careful preoperative planning and is considered as a complicated case of arthroplasty. Presented method of volume imaging allows to describe pathologic changes of the acetabular bone tissue in quantitative and qualitative way. Surgeons can define the tactics of surgical treatment depending on the degree of displacement of the center of rotation and acetabular walls and the characteristics of defect of weight-bearing bone tissue. Analysis of the application of this method shows the decrease of total number of complications by 10%, as well as improvement of functional and clinical results.
DISCLAIMERS
Author contribution
Pronskikh A.A. — study design, evaluation and interpretation of the data, text editing.
Romanova S.V. — collection and processing of data.
Lukinov V.L. — data statistical processing.
Bazlov V.A.— evaluation and interpretation of the data, preparation of the text.
Mamuladze T.Z. — study design, text editing.
Korytkin A.A. — evaluation and interpretation of the data, text editing.
Pavlov V.V. — study design, data interpretation.
All authors have read and approved the final version of the manuscript of the article. All authors agree to bear responsibility for all aspects of the study to ensure proper consideration and resolution of all possible issues related to the correctness and reliability of any part of the work.
Funding source. This study was not supported by any external sources of funding.
Competing interests. The authors declare that they have no competing interests.
Ethics approval. Not applicable.
Consent for publication. Informed consent was obtained from all individual participants included in the study.
About the authors
Aleksandr A. Pronskikh
Novosibirsk Research Institute of Traumatology and Orthopedics n.a. Ya.L. Tsivyan
Email: proal_88@mail.ru
ORCID iD: 0000-0003-1197-556X
Cand. Sci. (Med.)
Russian Federation, NovosibirskSvetlana V. Romanova
Novosibirsk Research Institute of Traumatology and Orthopedics n.a. Ya.L. Tsivyan
Author for correspondence.
Email: s.romanova0319@gmail.com
ORCID iD: 0000-0002-7014-2763
Russian Federation, Novosibirsk
Vitaliy L. Lukinov
Novosibirsk Research Institute of Traumatology and Orthopedics n.a. Ya.L. Tsivyan
Email: Vitaliy.L.lukinov@sci-boost.com
ORCID iD: 0000-0002-3411-508X
Cand. Sci. (Phys.-Mat.)
Russian Federation, NovosibirskVyacheslav A. Bazlov
Novosibirsk Research Institute of Traumatology and Orthopedics n.a. Ya.L. Tsivyan
Email: sbazlov@yandex.ru
ORCID iD: 0000-0001-8982-5516
Russian Federation, Novosibirsk
Tariel Z. Mamuladze
Novosibirsk Research Institute of Traumatology and Orthopedics n.a. Ya.L. Tsivyan
Email: gromadina@inbox.ru
ORCID iD: 0000-0001-8891-535X
Russian Federation, Novosibirsk
Andrey A. Korytkin
Novosibirsk Research Institute of Traumatology and Orthopedics n.a. Ya.L. Tsivyan
Email: andrey.korytkin@gmail.com
ORCID iD: 0000-0001-9231-5891
Cand. Sci. (Med.)
Russian Federation, NovosibirskVitaliy V. Pavlov
Novosibirsk Research Institute of Traumatology and Orthopedics n.a. Ya.L. Tsivyan
Email: pavlovdoc@mail.ru
ORCID iD: 0000-0002-8997-7330
Dr. Sci. (Med.)
Russian Federation, NovosibirskReferences
- Sloan M., Premkumar A., Sheth N.P. Future Demand for Total Joint Arthroplasty Drives Renewed Interest in Arthroplasty Fellowship. HSS J. 2020;16(Suppl 2):210-215. doi: 10.1007/s11420-019-09678-y.
- Zahar A., Papik K., Lakatos J., Cross M.B. Total hip arthroplasty with acetabular reconstruction using a bulk autograft for patients with developmental dysplasia of the hip results in high loosening rates at mid-term follow-up. Int Orthop. 2014;38(5):947-951. doi: 10.1007/s00264-014-2280-7.
- Morales De Cano J.J., Guillamet L., Perez Pons A. Acetabular reconstruction in paprosky type III defects. Acta Ortop Bras. 2019;27(1):59-63. doi: 10.1590/1413-785220192701187313.
- Tsybin A.V., Lubchak V.V., Sivkov V.S., Shilnikov V.A., Malygin R.V., Shubnyakov M.I. [Rationale for the use of the original classification of posttraumatic acetabular deformities in primary total hip replacement]. Genij Ortopedii [Orthopaedic Genius]. 2021;(5):508-513. (In Russian). doi: 10.18019/1028-4427-2021-27-5-508-513.
- Meinberg E.G., Agel J., Roberts C.S., Karam M.D., Kellam J.F. Fracture and Dislocation Classification Compendium-2018. J Orthop Trauma. 2018;32 Suppl 1: S1-S170. doi: 10.1097/BOT.0000000000001063.
- Burgess A.R., Eastridge B.J., Young J.W., Ellison T.S., Ellison P.S. Jr, Poka A. et al. Pelvic ring disruptions: effective classification system and treatment protocols. J Trauma. 1990;30(7):848-856.
- Tile M. Pelvic ring fractures: should they be fixed? J Bone Joint Surg Br. 1988;70(1):1-12. doi: 10.1302/0301-620X.70B1.3276697.
- D’Antonio J.A., Capello W.N., Borden L.S., Bargar W.L., Bierbaum B.F., Boettcher W.G. et al. Classification and management of acetabular abnormalities in total hip arthroplasty. Clin Orthop Relat Res. 1989;(243):126-137.
- Bettin D., Katthagen B.D. [The German Society of Orthopedics and Traumatology classification of bone defects in total hip endoprostheses revision operations]. Z Orthop Ihre Grenzgeb. 1997;135(4):281-284. (In German). doi: 10.1055/s-2008-1039389.
- Saleh K.J., Holtzman J., Gafni ASaleh L., Jaroszynski G., Wong P., Woodgate I. et al. Development, test reliability and validation of a classification for revision hip arthroplasty. J Orthop Res. 2001;19(1):50-56. doi: 10.1016/S0736-0266(00)00021-8.
- Paprosky W.G., Perona P.G., Lawrence J.M. Acetabular defect classification and surgical reconstruction in revision arthroplasty. A 6-year follow-up evaluation. J Arthroplasty. 1994;9(1):33-44. doi: 10.1016/0883-5403(94)90135-x.
- Ahmad A.Q., Schwarzkopf R. Clinical evaluation and surgical options in acetabular reconstruction: A literature review. J Orthop. 2015;12(Suppl 2):S238-243. doi: 10.1016/j.jor.2015.10.011.
- Knafo Y., Houfani F., Zaharia B., Egrise F., Clerc-Urmès I., Mainard D. Value of 3D Preoperative Planning for Primary Total Hip Arthroplasty Based on Biplanar Weightbearing Radiographs. Biomed Res Int. 2019;2019:1932191. doi: 10.1155/2019/1932191.
- Mainard D., Barbier O., Knafo Y., Belleville R., Mainard-Simard L., Gross J.B. Accuracy and reproducibility of preoperative three-dimensional planning for total hip arthroplasty using biplanar low-dose radiographs: A pilot study. Orthop Traumatol Surg Res. 2017; 103(4):531-536. doi: 10.1016/j.otsr.2017.03.001.
- Milyukov A.Y. [Classification of damages of cotyloid cavity]. Meditsina i obrazovanie v Sibiri [Medicine and Education in Siberia]. 2012;(2). (In Russian). Available from: https://mos.ngmu.ru/article/text_full.php?id=680.
- Gudz A.I., Denisov A.O., Lasunskiу S.A., Shubnyakov I.I., Shilnikov V.A., Sorokin E.P. et al.[Management of complex acetabulum fractures and their consequences]. Khirurgiya. Zurnal im. N.I. Pirogova. [Pirogov Russian Journal of Surgery] 2017;(2):70-76. (In Russian). doi: 10.17116/hirurgia2017270-76.
- Tikhilov R.M., Shapovalov V. M, Artjuh V.A., Sivkov V.S. [Hip arthroplasty features after acetabular fracture]. Travmatologiya i ortopediya Rossii [Traumatology and Orthopedics of Russia]. 2005;(3):30-35. (In Russian).
- Martynenko D.V., Voloshin V.P., Sherman l.A., Shevyrev K.V., Oshkukov S.A., Stepanov E.V. [Assessment of Acetabulum Deformity During Preoperative Planning for Hip arthroplasty]. Travmatologiya i ortopediya Rossii [Traumatology and Orthopedics of Russia]. 2019;25(3):153-164. (In Russian). doi: 10.21823/2311-2905-2019-25-3-153-164.
- Tikhilov R.M., Shubnyakov I.I., Chiladze I.T., Pliev D.G., Shorustamov M.T., Artyukh V.A. et al. [Choice of surgical approach for acetabular component’s implantation using current classification for arthritis following acetabular fracture]. Travmatologiya i ortopediya Rossii [Traumatology and Orthopedics of Russia]. 2011;(2): 37-43. (In Russian).
Supplementary files










