Сравнительный биомеханический анализ способов артродезирования голеностопного сустава: экспериментальное исследование
- Авторы: Хоминец В.В.1, Михайлов С.В.1, Жумагазиев С.Е.1, Щукин А.В.1, Иванов Д.В.2
-
Учреждения:
- ФГБВОУ ВО «Военно-медицинская академия им. С.М. Кирова» Минобороны России
- ФГБОУ ВО «Саратовский национальный исследовательский государственный университет им. Н.Г. Чернышевского» Минобрнауки России
- Выпуск: Том 28, № 4 (2022)
- Страницы: 136-147
- Раздел: Теоретические и экспериментальные исследования
- Дата подачи: 02.09.2022
- Дата принятия к публикации: 01.11.2022
- Дата публикации: 26.12.2022
- URL: https://journal.rniito.org/jour/article/view/1989
- DOI: https://doi.org/10.17816/2311-2905-1989
- ID: 1989
Цитировать
Аннотация
Актуальность. Несмотря на значительное количество разнообразных методик, применяемых для артродеза голеностопного сустава, ряд авторов указывают на определенные технические сложности указанных операций, потерю коррекции заданного положения таранной и большеберцовой костей в процессе анкилозирования, несращения. Проблема совершенствования методики фиксации при артродезе голеностопного сустава требует новых решений.
Цель — сравнить методом конечных элементов стабильность различных вариантов систем фиксации при артродезе голеностопного сустава.
Материал и методы. Методом конечных элементов выполнена оценка биомеханических характеристик трех вариантов систем фиксации голеностопного сустава при артродезе: три спонгиозных винта, разработанная пластина, комбинируемая с двумя спонгиозными винтами, проксимальный винт в пластине кортикальный, а также разработанная пластина, комбинируемая с двумя спонгиозными винтами, проксимальный винт в пластине с угловой стабильностью. Изучены напряжения и деформации при приложении различных видов нагрузок.
Результаты. В модели фиксации голеностопного сустава передней пластиной, комбинируемой с двумя спонгиозными винтами и проксимальным кортикальным винтом, имплантаты и таранная кость испытывали наименьшие напряжения по сравнению с двумя другими моделями. Так, максимальное эквивалентное напряжение в имплантатах при втором варианте составило 68–124 МПа, при первом варианте — 92–147 МПа, при третьем — 130–331 МПа. Эквивалентное напряжение в таранной кости во втором варианте фиксации составило от 20 до 46 МПа, в первом и третьем вариантах — 28–58 МПа и 47–65 МПа соответственно. Показатели максимального контактного давления на границе большеберцовой и таранной костей оказались наибольшими в первом варианте по сравнению с двумя другими моделями (34 МПа, 31 МПа и 31 МПа соответственно).
Заключение. Среди изученных систем фиксации голеностопного сустава при артродезе применение передней пластины, комбинируемой с двумя спонгиозными винтами и проксимальным кортикальным винтом, является наиболее предпочтительным с точки зрения биомеханики.
Полный текст
ВВЕДЕНИЕ
Совершенствование методик артродеза голеностопного сустава при лечении пациентов с терминальными стадиями деформирующего артроза продолжает оставаться одним из важных направлений современной травматологии и ортопедии. На сегодняшний день многие авторы рассматривают артродез голеностопного сустава как золотой стандарт при лечении пациентов с данной патологией [1, 2, 3].
Известно, что одним из важных аспектов, необходимых для достижения костного анкилоза голеностопного сустава, является создание условий для прочного удержания стопы в функционально выгодном или заданном положении [1, 4, 5]. С этой целью для окончательной фиксации достигнутого оптимального положения таранной кости относительно большеберцовой применяют винты, пластины, интрамедуллярные стержни, аппараты внешней фиксации, а также их комбинации [6, 7, 8]. Наиболее часто применяемыми фиксаторами для артродеза голеностопного сустава являются винты и пластины. Они позволяют обеспечить достаточную стабильность и оптимальную компрессию между анкилозируемыми поверхностями большеберцовой и таранной костей [2, 9, 10]. Однако ряд авторов приводят данные о потере корректного положения анкилозируемых костей в процессе лечения, обусловленной миграцией фиксаторов. Особенно часто подобная проблема возникает при начале осевой нагрузки (через 1,5–2,0 мес. после операции). Причинами могут быть плохое качество кости, недостаточный контакт между костями, лизис используемых при артродезировании костных трансплантатов, контрактуры суставов переднего отдела стопы [3, 11, 12]. Вышеуказанные ограничения движений не позволяют обеспечить перекат стопы во время ходьбы, а циклическая нагрузка при этом приводит к расшатываю конструкции [13]. Таким образом, проблема надежности фиксации голеностопного сустава существует и требует новых решений.
В клинике военной травматологии и ортопедии Военно-медицинской академии им. С.М. Кирова разработан способ выполнения артродеза голеностопного сустава с использованием трех спонгиозных винтов (патент RU 2633945). При этом способе первые два винта вводят через передний край дистального метаэпифиза большеберцовой кости в блок таранной кости, а третий винт — через заднемедиальный отдел в направлении шейки таранной кости. Для введения третьего винта необходимо повернуть пациента на бок либо поднять ногу кверху и удерживать ее в этом положении в течение определенного времени, необходимого для введения направляющей спицы, выполнения канала канюлированным сверлом, подбора по размеру и введения спонгиозного винта [7]. Необходимость выполнения этих действий увеличивает продолжительность операции, время работы электронно-оптического преобразователя и создает определенные неудобства в работе хирургической бригады [14].
На основании вышеизложенного на базе клиники военной травматологии и ортопедии ВМедА с целью замены третьего винта разработана передняя пластина для артродеза голеностопного сустава, комбинируемая с двумя спонгиозными винтами, введенными через переднюю поверхность дистального метаэпифиза большеберцовой кости.
В специальной литературе появляются исследования, посвященные определению стабильности различных имплантатов для фиксации голеностопного сустава при артродезе путем сравнительных биомеханических испытаний [15, 16, 17]. В последнее время сравнительный анализ различных типов металлических фиксаторов выполняют с помощью биомеханического (или математического) моделирования. Одним из них является метод конечных элементов [17, 18, 19]. На сегодняшний день имеются лишь единичные исследования, направленные на изучение стабильности различных вариантов фиксации голеностопного сустава при артродезе методом конечных элементов [18, 19]. Несмотря на большое количество применяемых в настоящий момент вариантов артродеза, нами для сравнительного анализа была выбрана именно методика с использованием трех спонгиозных винтов по следующим причинам. Во-первых, один из вариантов данной методики достаточно хорошо изучен авторами с точки зрения техники операций и отдаленных результатов лечения. Во-вторых, методика артродеза голеностопного сустава винтами, по мнению большого количества специалистов, наиболее часто применяется и является золотым стандартом [3, 10]. Для реализации идеи найти более удобную с точки зрения выполнения оперативного вмешательства замену третьему винту, который вводят через задний отдел дистального метаэпифиза большеберцовой кости в направлении шейки таранной кости, и была предложена пластина собственного дизайна. Именно поэтому в качестве сравнения артродез голеностопного сустава только пластинами серийного производства в данном исследовании мы не рассматривали.
Цель исследования — сравнить методом конечных элементов стабильность различных вариантов систем фиксации при артродезе голеностопного сустава.
МАТЕРИАЛ И МЕТОДЫ
Сотрудниками кафедры военной травматологии и ортопедии ВМедА совместно с компанией «Остеомед» разработана передняя пластина для артродеза голеностопного сустава. Она выполнена из титанового сплава Ti6Al4V по ГОСТ РИСО 5832-3 (заявка на изобретение РФ № 2022123335). Имплантат L-образной формы с заданным анатомическим углом позволяет установить его в оптимальное положение с минимальным профилем над голеностопным суставом. Пластина имеет короткое и расширенное плечо, позволяющее расположить его на шейке таранной кости, исключив возникновение импинджмент-синдрома между пластиной и ладьевидной костью при движениях в таранно-ладьевидном суставе. На длинном плече пластины имеются комбинированные отверстия, позволяющие использовать винты как с угловой стабильностью, так и кортикальные (рис. 1).
Рис. 1. Передняя пластина для артродеза голеностопного сустава
Виртуальные модели вариантов артродеза голеностопного сустава выполнены при помощи компьютерной томографии (КТ). Первичная обработка КТ левого голеностопного сустава (серия из 1051 аксиального снимка) пациента 1967 г. р. была выполнена в программе Mimics (Materialise, Бельгия). В результате были получены поверхностные модели дистальной трети большеберцовой и таранной костей. Затем в программе 3Matic (Materialise, Бельгия) поверхностные модели были преобразованы в твердотельные, которые затем были экспортированы в формат Step (универсальный стандарт обмена моделью данных изделия). Твердотельные модели винтов и пластины были построены в системе автоматизированного проектирования SolidWorks. В этой же системе твердотельные модели винтов, пластины и костей были совмещены. Таким образом, виртуально было смоделировано три варианта фиксации голеностопного сустава при артродезе в функционально выгодном положении. Первый вариант — фиксация голеностопного сустава тремя спонгиозными винтами диаметром 6,5 мм с неполной резьбой и длиной резьбовой части 16 мм (патент RU 2633945) (рис. 2 a). Второй и третий варианты — разработанной пластиной, комбинированной с двумя спонгиозными винтами диаметром 6,5 мм с неполной резьбой и длиной резьбовой части 16 мм (рис. 2 b, c). Модели выполняли следующим образом. Сначала два спонгиозных винта вводили через передний край дистального метаэпифиза большеберцовой кости в блок таранной кости. Затем фиксировали пластину к таранной кости одним кортикальным винтом, введенным через отверстие на изгибе пластины, и двумя винтами с угловой стабильностью, введенными через короткое плечо пластины. Следующим этапом фиксировали имплантат к большеберцовой кости винтом с угловой стабильностью через дистальное отверстие и кортикальным винтом через проксимальное отверстие пластины (второй вариант) или двумя винтами с угловой стабильностью (третий вариант).
Рис. 2. Виртуальные модели артродеза голеностопного сустава в прямой и боковой проекциях: а — тремя спонгиозными винтами; b — разработанной пластиной и двумя спонгиозными винтами, проксимальный винт кортикальный; c — разработанной пластиной и двумя спонгиозными винтами, проксимальный винт с угловой стабильностью; 1 — спонгиозный винт; 2 — кортикальный винт; 3 — винт с угловой стабильностью
Задачи о нагружении систем «кость-фиксаторы» внешними силами и моментами в статической постановке подробно описаны в работе А.В. Доля с соавторами [20]. Они решались численно методом конечных элементов в компьютерной программе Ansys (Ansys Inc., США). Оси системы координат, относительно которых задавались внешние нагрузки, были направлены следующим образом: ось Z — вдоль оси большеберцовой кости и вертикально вверх, ось Y — вдоль оси стопы в направлении от пяточной кости к пальцам, а ось X — перпендикулярно обеим осям Y и Z (рис. 3).
Рис. 3. Оси системы координат модели, относительно которых задавались внешние нагрузки: а — вид сбоку; b — вид сверху
В качестве внешних нагрузок использовали силу, действующую вдоль оси большеберцовой кости и моделирующую половину веса тела человека в условиях жесткой фиксации таранной кости к горизонтальной плоскости, а также изгибающие и скручивающие моменты величиной 10 Н·м. Именно подобное усилие рекомендовали авторы в работе по исследованию голеностопного сустава методом конечных элементов [19]. Изгибающие и скручивающие моменты прикладываются к нижней трети большеберцовой кости с силой 400 Н + момент 10 Н·м и действуют в следующих направлениях: вальгусная нагрузка (вокруг оси Y), варусная нагрузка (вокруг оси Y), тыльное сгибание (вокруг оси X), подошвенное сгибание (вокруг оси X), инверсия (вокруг оси Z), эверсия (вокруг оси Z). Также было исследовано поведение систем фиксации рассматриваемыми конструкциями под действием нагрузки, возникающей при ходьбе (вес тела, умноженный на 3,3). Для расчета использовали рекомендации, предложенные T. Wehner с соавторами [21].
Кости и имплантаты считались изотропными и линейно-упругими [18, 19, 23]. Количественными характеристиками упругих свойств изотропного материала являются модуль Юнга и коэффициент Пуассона. Механическими свойствами материалов по модулю Юнга для большеберцовой кости были 837 МПа, для таранной кости — 13000 МПа, для имплантатов (сплав титана) — 110000 МПа, а по коэффициенту Пуассона были одинаковыми и составляли 0,3 [18, 19].
При моделировании также учитывали контактное взаимодействие между большеберцовой и таранной костями, а также между костями и системами фиксации, рекомендованные M. Zhu с соавторами [19]. Свойства контактных пар были следующими: кость-кость — с трением, коэффициент трения 0,1; кость-винт — с трением, коэффициент трения 0,5; винт-пластина — полный контакт без трения и проскальзывания [19].
Резьбу на винтах моделировали инструментом Ansys, имитирующим резьбовое соединение [22]. На торцы головок винтов прикладывали давление величиной 50 МПа, имитирующее стягивающее усилие. Эти параметры были заданы для стандартизации эксперимента и взяты из аналогичных исследований других авторов [18, 19].
Для наибольшей приближенности исследования к реальным биологическим объектам был проведен анализ необходимой сеточной сходимости [23]. Он позволил определить характерный размер элемента вычислительной сетки, мало влияющей на результаты моделирования. Также вычислительная сетка существенно сгущалась в области резьбы винтов, чтобы с высокой точностью учесть резьбовое контактное взаимодействие между винтом и костью. Общее количество конечных элементов для каждой из моделей составило порядка 600 000, что соответствовало порядка 1 900 000 узлам.
РЕЗУЛЬТАТЫ
Для каждой из трех рассмотренных моделей были проанализированы следующие характеристики напряженно-деформированного состояния таранной и большеберцовой костей, а также используемых имплантатов:
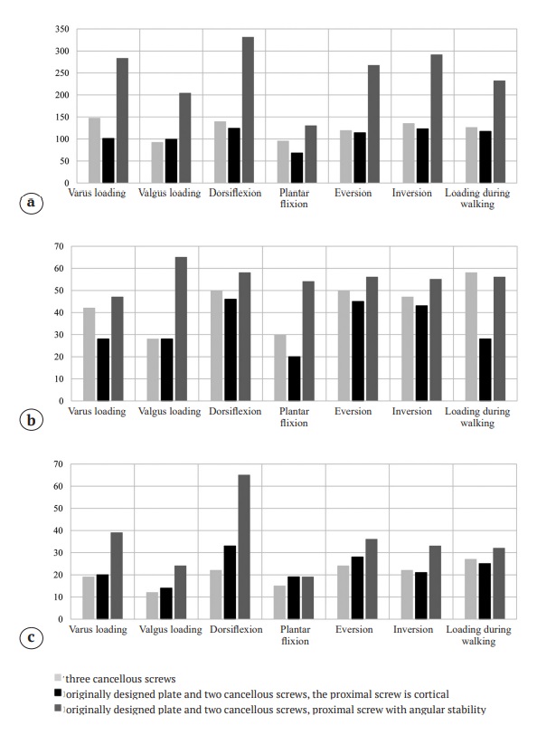
– максимальные эквивалентные напряжения в костях и имплантатах (рис. 4);
– наибольшее контактное давление на границе большеберцовой и таранной костей (рис. 5).
Рис. 4. Максимальные эквивалентные напряжения при различных видах нагрузок на голеностопный сустав, МПа: a — в исследуемых имплантатах; b — в таранной кости; c — в большеберцовой кости
Рис. 5. Контактное давление на границе большеберцовой и таранной костей при использовании различных вариантов фиксации и нагрузок на голеностопный сустав, МПа
Полученные результаты свидетельствуют о том, что при всех исследованных видах перемещений наибольшее эквивалентное напряжение в имплантатах отметили в третьем варианте при тыльном сгибании стопы (331 МПа), а наименьшее — во втором варианте при подошвенном сгибании стопы (124 МПа).
При исследовании эквивалентных напряжений в таранной кости наибольшие нагрузки наблюдали в третьем варианте при вальгусном смещении, а наименьшие — во втором варианте при подошвенном сгибании стопы, которые составили 65 МПа и 20 МПа соответственно.
Максимальное эквивалентное напряжение в большеберцовой кости отметили в третьем варианте при тыльном сгибании стопы, а наименьшее — в первом варианте при вальгусной нагрузке, которые составили 65 МПа и 12 МПа соответственно.
Полученные результаты свидетельствуют, что показатели наибольшего контактного давления на границе большеберцовой и таранной костей наблюдали в первом варианте при варусной нагрузке, а наименьшего — в первом и втором вариантах при вальгусной нагрузке, которые составили 34 МПа и 16 МПа соответственно (см. рис. 5).
В связи с тем, что, по данным литературы, тыльное сгибание стопы является основным стрессовым фактором для анкилоза голеностопного сустава при ходьбе [25], ниже представлены более подробные результаты исследования напряженно-деформированного состояния при моделировании этой нагрузки.
На рисунке 6 показан пример типичных полей полных перемещений для всех моделей при тыльном сгибании стопы. Максимальное перемещение для модели с фиксацией тремя спонгиозными винтами составило 1,2 мм (рис. 6 а), для третьего варианта — 1,04 мм (рис. 6 с), а для второго варианта не превысило 1 мм (рис. 6 b). В то же время максимальные перемещения во всех моделях наблюдались в дистальной трети большеберцовой кости выше мест введения имплантатов.
Рис. 6. Поля полных перемещений для трех моделей фиксации при тыльном сгибании, мм: а — три спонгиозных винта; b — пластина и два спонгиозных винта, проксимальный винт кортикальный; c — пластина и два спонгиозных винта, проксимальный винт с угловой стабильностью
С целью выявления оптимального варианта фиксации вычислены типичные поля эквивалентных напряжений для всех моделей имплантатов при тыльном сгибании стопы. Следует отметить, что во второй и третьей моделях максимальное эквивалентное напряжение сконцентрировано в области верхнего винта, фиксирующего пластину к большеберцовой кости, и составляет 124 МПа и 331 МПа соответственно. Максимальное эквивалентное напряжение имплантатов в первой модели составило 139 МПа (рис. 7).
Рис. 7. Поля эквивалентных напряжений для моделей при тыльном сгибании, МПа: а — три спонгиозных винта; b — пластина и два спонгиозных винта, проксимальный винт кортикальный; c — пластина и два спонгиозных винта, проксимальный винт с угловой стабильностью
Максимальные эквивалентные напряжения в таранной кости при тыльном сгибании стопы составили 50 МПа, 46 МПа и 58 МПа соответственно для первого, второго и третьего вариантов моделей (рис. 8).
Рис. 8. Эквивалентные напряжения в таранной кости во время нагрузки, имитирующей тыльное сгибание стопы: а — три спонгиозных винта; b — пластина и два спонгиозных винта, проксимальный винт кортикальный, МПа; c — пластина и два спонгиозных винта, проксимальный винт с угловой стабильностью
В моделях с фиксацией голеностопного сустава пластиной и двумя спонгиозными винтами во всех исследованных нагрузках наибольшее эквивалентное напряжение в большеберцовой кости отмечено в области отверстия под верхний винт, фиксирующий пластину. Например, при тыльном сгибании стопы эти показатели составили 33 и 65 МПа соответственно для второго и третьего вариантов (рис. 9).
Рис. 9. Эквивалентные напряжения в большеберцовой кости во время нагрузки, имитирующей тыльное сгибание стопы, МПа: а — второй вариант; b — третий вариант
ОБСУЖДЕНИЕ
Несмотря на более чем 140-летнюю историю существования операции артродеза голеностопного сустава как метода лечения деформирующего артроза, продолжается поиск оптимального имплантата, позволяющего обеспечить плотный костный контакт между большеберцовой и таранной костями и стабильную их фиксацию до полного сращения. С целью оценки стабильности способа фиксации голеностопного сустава при артродезе по настоящий день продолжают выполнять биомеханические исследования, направленные на количественный анализ прочности и жесткости используемых имплантатов, а также относительных перемещений между таранной костью и большеберцовой [5, 15, 26, 27]. На сегодняшний день, наряду со стендовыми испытаниями на конечностях кадаверов либо на искусственных моделях костей и суставов, активно применяются различные варианты цифрового моделирования биологических объектов и нагрузок на них. Метод конечных элементов является наиболее распространенным инструментом для расчета напряженно-деформированного состояния опорно-двигательной системы, а также имплантатов, несущих нагрузки [17, 18, 28, 29].
В последнее время появились исследования, посвященные применению биомеханического моделирования артродеза голеностопного сустава с фиксацией винтами в различных комбинациях и количестве. Так, M. Zhu с соавторами выполнили конечно-элементное моделирование артродеза голеностопного сустава двумя спонгиозными винтами предложенной комбинацией с двумя раннее применявшимися комбинациями. Авторы на основании биомеханических характеристик разработанных моделей пришли к выводу, что предложенная комбинация двух спонгиозных винтов имеет большую исходную стабильность и распределение эквивалентных напряжений [19]. A.A. Vázquez с соавторами методом конечных элементов выполнили биомеханическое обоснование оптимального угла установки двух спонгиозных винтов по отношению к длинной оси большеберцовой кости при артродезе голеностопного сустава [30].
В данной работе представлены результаты численного биомеханического моделирования трех вариантов фиксации голеностопного сустава при артродезе. Рассмотрены 6 типов статических нагрузок, а также нагрузка, имитирующая ходьбу. Проанализирована стабильность каждого варианта фиксации, а также их прочность.
Вариант фиксации голеностопного сустава предложенной пластиной в комбинации с двумя спонгиозными винтами и проксимальным кортикальным винтом с точки зрения прочности имплантатов оказался более предпочтительным при всех видах нагрузок. Анализ эквивалентных напряжений в имплантатах проводится для определения их наибольших значений и сравнения с пределом прочности (с коэффициентом запаса прочности, равным 3)*. Имплантаты изготовлены из титанового сплава марки Ti6Al4V, предел прочности которого составляет 970 МПа [24]. Таким образом, допускаемое напряжение составляет не более 323 МПа. Следует отметить, что эквивалентные напряжения в первых двух рассмотренных конструкциях не превышают допускаемых для титанового сплава. Это означает, что при рассмотренных нагрузках системы фиксации обеспечивают достаточную прочность. При третьем варианте фиксации голеностопного сустава максимальные эквивалентные напряжения в имплантатах превышают допускаемое напряжение. Наибольшие напряжения в этой модели обнаруживаются при тыльном сгибании стопы в области проксимального винта, фиксирующего пластину к большеберцовой кости. Следует также отметить, что во второй и третьей моделях максимальное эквивалентное напряжение сконцентрировано в области верхнего винта, фиксирующего пластину к большеберцовой кости, однако в третьей модели данный показатель в 2,5 выше, чем во второй модели. В то же время в первой модели максимальное эквивалентное напряжение сосредоточено в области всех трех установленных винтов. Имплантаты оказались менее нагруженными при первом варианте фиксации при варусной нагрузке и подошвенном сгибании стопы, при втором и третьем вариантах — при подошвенном сгибании стопы.
При сравнении результатов эквивалентных напряжений в таранной кости отмечено, что последняя оказалась менее нагруженной в случае фиксации голеностопного сустава передней пластиной, комбинированной с двумя спонгиозными винтами и верхним кортикальным винтом в сравнении с другими моделями. Необходимо подчеркнуть, что максимальные эквивалентные напряжения в таранной кости во втором варианте фиксации голеностопного сустава оказались в 2 раза меньше при нагрузке, имитирующей ходьбу, и в 1,5 раза меньше при варусной нагрузке и подошвенном сгибании стопы, чем при первом и третьем вариантах. Наименьшие напряжения таранная кость испытывала в первой модели фиксации голеностопного сустава при вальгусной нагрузке, во второй — при подошвенном сгибании стопы и в третьей — при варусной нагрузке.
Эквивалентные напряжения в большеберцовой кости оказались ниже, чем в таранной кости, при соответствующих нагрузках. При этом максимальные напряжения в большеберцовой кости при первом и втором вариантах фиксации голеностопного сустава оказались практически схожими, в то время как при третьем варианте превышали более чем в 1,5 раза. При моделировании вариантов фиксации голеностопного сустава пластиной и двумя спонгиозными винтами было выявлено, что отверстие в большеберцовой кости под верхний винт, фиксирующий пластину, испытывает наибольшие напряжения в сравнении с другими областями кости. Этот вывод справедлив для всех рассмотренных видов нагрузок. Менее нагруженной большеберцовая кость оказалась при вальгусной нагрузке.
Что касается контактного давления на границе большеберцовой и таранной костей, то наибольшие значения данного показателя при всех вариантах фиксации голеностопного сустава были выявлены при варусной нагрузке. Так, при первом варианте фиксации оно составило 34 МПа, при втором и третьем — 31 МПа. Модель фиксации голеностопного сустава пластиной и двумя спонгиозными винтами показала несколько лучшие биомеханические характеристики для большинства видов нагрузок. Отметим, что избыточное контактное давление при нагрузках является неблагоприятным фактором, так как может привести к локальному остеолизису и потере коррекции положения анкилозируемых костей.
Также хочется отметить, что большинство значений напряженно-деформированного состояния первой модели схожи со значениями, представленными в работе S. Wang с соавторами. Так, например, авторы изучили параметры напряженно-деформированного состояния моделей артродеза голеностопного сустава, фиксированного тремя спонгиозными винтами в пяти различных комбинациях, и привели близкие значения максимальных напряжений в таранной и большеберцовой кости, которые составили 45,8 и 23,4 МПа соответственно [18].
ЗАКЛЮЧЕНИЕ
Среди изученных систем фиксации голеностопного сустава при артродезе наименьшие показатели напряженно-деформированного состояния модели «кость-фиксатор» выявлены у второго варианта. Таким образом, полученные результаты показали, что наиболее предпочтительным с точки зрения биомеханики является вариант артродеза голеностопного сустава предложенной пластиной, комбинированной с двумя спонгиозными винтами и проксимальным кортикальным винтом. Проведенные биомеханические исследования позволяют рекомендовать методику артродеза голеностопного сустава для применения в клинической практике при лечении пациентов с терминальной стадией деформирующего артроза, хотя, несомненно, формирование анкилоза голеностопного сустава зависит не только от механических, но и от биологических факторов.
ДОПОЛНИТЕЛЬНАЯ ИНФОРМАЦИЯ
Заявленный вклад авторов
Хоминец В.В. — разработка концепции и дизайна исследования, анализ и интерпретация полученных данных.
Михайлов С.В. — анализ и интерпретация полученных данных, редактирование текста.
Жумагазиев С.Е. — сбор, анализ и интерпретация полученных данных, написание текста статьи.
Щукин А.В. — анализ и интерпретация полученных данных; редактирование текста.
Иванов Д.В. — сбор и обработка материала, анализ и интерпретация полученных данных.
Все авторы прочли и одобрили финальную версию рукописи статьи. Все авторы согласны нести ответственность за все аспекты работы, чтобы обеспечить надлежащее рассмотрение и решение всех возможных вопросов, связанных с корректностью и надежностью любой части работы.
Источник финансирования. Авторы заявляют об отсутствии внешнего финансирования при проведении исследования.
Конфликт интересов. Авторы декларируют отсутствие явных и потенциальных конфликтов интересов, связанных с публикацией настоящей статьи.
Этическая экспертиза. Не применима.
Информированное согласие на публикацию. Не требуется.
DISCLAIMERS
Author contribution
Khominets V.V. — study concept and design, analysis of the data.
Mikhailov S.V. — analysis and interpretation of data; editing the text.
Zhumagaziev S.E. — collection, analysis and interpretation of data; writing the text.
Shchukin A.V. — analysis and interpretation of data; editing the text.
Ivanov D.V. — collection and processing of material; analysis and interpretation of data.
All authors have read and approved the final version of the manuscript of the article. All authors agree to bear responsibility for all aspects of the study to ensure proper consideration and resolution of all possible issues related to the correctness and reliability of any part of the work.
Funding source. This study was not supported by any external sources of funding.
Competing interests. The authors declare that they have no competing interests.
Ethics approval. Not applicable.
Consent for publication. Not required.
* ГОСТ Р 52857.1-2007 Сосуды и аппараты. Нормы и методы расчета на прочность. Общие требования.
Об авторах
Владимир Васильевич Хоминец
ФГБВОУ ВО «Военно-медицинская академия им. С.М. Кирова» Минобороны России
Автор, ответственный за переписку.
Email: khominets_62@mail.ru
ORCID iD: 0000-0001-9391-3316
д-р мед. наук, профессор
Россия, г. Санкт-ПетербургСергей Владимирович Михайлов
ФГБВОУ ВО «Военно-медицинская академия им. С.М. Кирова» Минобороны России
Email: msv06@mail.ru
ORCID iD: 0000-0002-0098-8085
канд. мед. наук
Россия, г. Санкт-ПетербургСаян Елемесьевич Жумагазиев
ФГБВОУ ВО «Военно-медицинская академия им. С.М. Кирова» Минобороны России
Email: shumagasiev@mail.ru
ORCID iD: 0000-0002-5169-2022
Россия, г. Санкт-Петербург
Алексей Вячеславович Щукин
ФГБВОУ ВО «Военно-медицинская академия им. С.М. Кирова» Минобороны России
Email: ossa.76@mail.ru
ORCID iD: 0000-0001-7754-8478
канд. мед. наук
Россия, г. Санкт-ПетербургДмитрий Валерьевич Иванов
ФГБОУ ВО «Саратовский национальный исследовательский государственный университет им. Н.Г. Чернышевского» Минобрнауки России
Email: ivanovdv.84@ya.ru
ORCID iD: 0000-0003-1640-6091
канд. физ.-мат. наук
Россия, г. СаратовСписок литературы
- Morash J., Walton D.M., Glazebrook M. Ankle Arthrodesis Versus Total Ankle Arthroplasty. Foot Ankle Clin. 2017;22(2):251-266. doi: 10.1016/j.fcl.2017.01.013.
- Prissel M.A., Simpson G.A., Sutphen S.A., Hyer C.F., Berlet G.C. Ankle Arthrodesis: A Retrospective Analysis Comparing Single Column, Locked Anterior Plating to Crossed Lag Screw Technique. J Foot Ankle Surg. 2017;56(3):453-456. doi: 10.1053/j.jfas.2017.01.007.
- Suo H., Fu L., Liang H., Wang Z., Men J., Feng W. End-stage Ankle Arthritis Treated by Ankle Arthrodesis with Screw Fixation Through the Transfibular Approach: A Retrospective Analysis. Orthop Surg. 2020;12(4):1108-1119. doi: 10.1111/os.12707.
- DeHeer P.A., Catoire S.M., Taulman J., Borer B. Ankle arthrodesis: a literature review. Clin Podiatr Med Surg. 2012;29(4):509-527. doi: 10.1016/j.cpm.2012.07.001.
- Somberg A.M., Whiteside W.K., Nilssen E., Murawski D., Liu W. Biomechanical evaluation of a second generation headless compression screw for ankle arthrodesis in a cadaver model. Foot Ankle Surg. 2016;22(1):50-54. doi: 10.1016/j.fas.2015.04.010.
- Mikhaylov K.S., Emelyanov V.G., Tikhilov R.M., Kochish A.Yu., Sorokin E.P. [Substantiation of surgery method in patient with ankle osteoarthritis: arthrodesis or arthroplasty]. Travmatologiya i ortopediya Rossii [Traumatology and orthopedics of Russia]. 2016;(1):21-32. (In Russian). doi: 10.21823/2311-2905-2016-0-1-21-32.
- Khominets V.V., Mikhailov S.V., Shakun D.A., Shumagaziev S.E., Komarov A.V. [Ankle Arthrodesis with Three Cancellous Screws]. Travmatologiya i ortopediya Rossii [Traumatology and Orthopedics of Russia]. 2018;24(2):117-126. (In Russian). doi: 10.21823/2311-2905-2018-24-2-117-126.
- Onodera T., Majima T., Kasahara Y., Takahashi D., Yamazaki S., Ando R. et al. Outcome of transfibular ankle arthrodesis with Ilizarov apparatus. Foot Ankle Int. 2012;33:964-968.
- Teramoto A. Nozaka K., Kamiya T., Kashiwagura T., Shoji H., Watanabe K. et al. Screw Internal Fixation and Ilizarov External Fixation: A Comparison of Outcomes in Ankle Arthrodesis. J Foot Ankle Surg. 2020;59(2):343-346. doi: 10.1053/j.jfas.2019.09.012.
- Heuvel S.B.M., Doorgakant A., Birnie M.F.N., Blundell C.M., Schepers T. Open Ankle Arthrodesis: a Systematic Review of Approaches and Fixation Methods. Foot Ankle Surg. 2021;27(3):339-347. doi: 10.1016/j.fas.2020.12.011.
- Steginsky B.D., Suhling M.L., Vora A.M. Ankle Arthrodesis With Anterior Plate Fixation in Patients at High Risk for Nonunion. Foot Ankle Spec. 2020;13(3):211-218. doi: 10.1177/1938640019846968.
- van den Heuvel S.B.M., Penning D., Schepers T. Open Ankle Arthrodesis: A Retrospective Analysis Comparing Different Fixation Methods. J Foot Ankle Surg. 2022;61(2):233-238. doi: 10.1053/j.jfas.2021.07.012.
- Ross B.J., Savage-Elliott I., Wu V.J., Rodriguez R.F. Complications Following Total Ankle Arthroplasty Versus Ankle Arthrodesis for Primary Ankle Osteoarthritis. Foot Ankle Spec. 2021:1938640020987741. doi: 10.1177/1938640020987741.
- Zwipp H., Rammelt S., Endres T., Heineck J. High union rates and function scores at midterm followup with ankle arthrodesis using a four screw technique. Clin Orthop Relat Res. 2010;468(4):958-968. doi: 10.1007/s11999-009-1074-5.
- Clifford C., Berg S., McCann K., Hutchinson B. A biomechanical comparison of internal fixation techniques for ankle arthrodesis. J Foot Ankle Surg. 2015;54(2):188-191. doi: 10.1053/j.jfas.2014.06.002.
- Gutteck N., Martin H., Hanke T., Matthies J.B., Heilmann A., Kielstein H. et al. Posterolateral plate fixation with Talarlock® is more stable than screw fixation in ankle arthrodesis in a biomechanical cadaver study. Foot Ankle Surg. 2018;24(3):208-212.
- Dubrov V.E., Zyuzin D.A., Kuzkin I.A., Shcherbakov I.M., Donchenko S.V., Saprykina K.A. [Finite element modelling of biologic system in orthopedic trauma]. Rossiiskii zhurnal biomekhaniki [Russian Journal of Biomechanics]. 2019;23(1):140-152. (In Russian). doi: 10.15593/RZhBiomeh/2019.1.12.
- Wang S., Yu J., Ma X., Zhao D., Geng X., Huang J., Wang X. Finite element analysis of the initial stability of arthroscopic ankle arthrodesis with three-screw fixation: posteromedial versus posterolateral home-run screw. J Orthop Surg Res. 2020;15(1):252. doi: 10.1186/s13018-020-01767-7.
- Zhu M., Yuan C.S., Jin Z.M., Wang Y.J., Shi Y.X., Yang Z.J. et al. Initial stability and stress distribution of ankle arthroscopic arthrodesis with three kinds of 2-screw configuration fixation: a finite element analysis. J Orthop Surg Res. 2018;13(1):263. doi: 10.1186/s13018-018-0972-1.
- Dol A.V., Dol E.S., Ivanov D.V. [Biomechanical modelling of surgical reconstructive treatment of spinal spondylolisthesis at l4–l5 level]. Rossiiskii zhurnal biomekhaniki [Russian Journal of Biomechanics]. 2018;22(1):31-44. (In Russian). doi: 10.15593/RZhBiomeh/2018.1.03.
- Wehner T., Claes L., Simon U. Internal loads in the human tibia during gait. Clin Biomech (Bristol, Avon). 2009;24(3):299-302. doi: 10.1016/j.clinbiomech.2008.12.007.
- López-Campos J.A., Segade A., Casarejos E., Fernández J.R., Vilán J.A., Izquierdo P. Finite Element Study of a Threaded Fastening: The Case of Surgical Screws in Bone. Symmetry. 2018;10(8):335. doi: 10.3390/sym10080335.
- Ivanov D.V., Dol A.V. [Biomechanical Modeling]. Saratov: Amirite, 2021. 250 p.
- Zherebtsov S., Salishchev G., Galeyev R., Maekawa K. Mechanical Properties of Ti–6Al–4V Titanium Alloy with Submicrocrystalline Structure Produced by Severe Plastic Deformation. Materials Transactions. 2005;46(9):2020-2025. doi: 10.2320/matertrans.46.2020.
- Nasson S., Shuff C., Palmer D., Owen J., Wayne J., Carr J. et al. Biomechanical comparison of ankle arthrodesis techniques: crossed screws vs. blade plate. Foot Ankle Int. 2001;22(7):575-580. doi: 10.1177/107110070102200708.
- Friedman R.L., Glisson R.R., Nunley J.A. A biomechanical comparative analysis of two techniques for tibiotalar arthrodesis. Foot Ankle Int. 1994;15(6):301-305. doi: 10.1177/107110079401500604.
- Miller R.A., Firoozbakhsh K., Veitch A.J. A biomechanical evaluation of internal fixation for ankle arthrodesis comparing two methods of joint surface preparation. Orthopedics. 2000;23(5):457-460. doi: 10.3928/0147-7447-20000501-14.
- Erdemir A., Guess T.M., Halloran J., Tadepalli S.C., Morrison T.M. Considerations for reporting finite element analysis studies in biomechanics. J Biomech. 2012;45(4):625-633. doi: 10.1016/j.jbiomech.2011.11.038.
- Kluess D., Wieding J., Souffrant R., Mittelmeier W., Bader R. Finite element analysis in orthopaedic biomechanics. In: Moratal D., ed. Finite Element Analysis. València; 2010. p. 151-170.
- Vázquez A.A., Lauge-Pedersen H., Lidgren L., Taylor M. Finite element analysis of the initial stability of ankle arthrodesis with internal fixation: flat cut versus intact joint contours. Clin Biomech (Bristol, Avon). 2003;18(3):244-253. doi: 10.1016/s0268-0033(02)00207-3.
Дополнительные файлы













