Hemodynamics and Tissue Temperature in Bone Union Area of Long Bones Primary Fractures and Refractures: in vivo Experiment
- 作者: Kosimov A.A.1,2, Khodzhanov I.Y.1, Kononovich N.A.3
-
隶属关系:
- Republican Specialized Scientific and Practical Medical Center of Traumatology and Orthopaedics
- Tashkent Medical Academy
- National Ilizarov Medical Research Centre for Traumatology and Ortopaedic
- 期: 卷 28, 编号 4 (2022)
- 页面: 159-169
- 栏目: Theoretical and experimental studies
- ##submission.dateSubmitted##: 18.08.2022
- ##submission.dateAccepted##: 27.10.2022
- ##submission.datePublished##: 26.12.2022
- URL: https://journal.rniito.org/jour/article/view/1976
- DOI: https://doi.org/10.17816/2311-2905-1976
- ID: 1976
如何引用文章
详细
Background. Adequate blood flow in tissues during bone union is a factor that enables to achieve positive treatment results.
Aim of study — to study in vivo experiment the features of temperature response and blood flow in consolidation area of tibial primary fractures and refractures.
Methods. A tibial fracture was simulated in rats and then immobilized with external fixator. In series 1 (n = 13) the fixation was kept until union. In series 2 (n = 18) a refracture was simulated 21 days after the surgery and refixed until union. The blood flow and tissue temperature were studied in the fracture area in normal conditions; 21 and 35 days after fracture or refracture; 28 days after the end of fixation.
Results. The temperature and blood flow were of the same type, but of different intensity. Three types of reactions were identified: 1) reduced blood flow velocity and tissue temperature, signs of venous outflow difficulty; 2) increased blood flow, unchanged venous outflow, reduced tissue temperature; 3) slight blood flow decrease, increased venous outflow, slight tissue temperature increase. By the end of fixation (35 days) all parameters in series 1 returned to normal. 28 days after the end of fixation the tissue temperature and venous outflow returned to normal in series 2 animals with the first and the second types of hemodynamics, their blood flow velocity decreased. As for the third type, the tissue temperature returned to normal, the venous outflow and the blood flow velocity increased.
Conclusion. In case of primary fractures, the blood flow and the tissue temperature normalized by the end of fixation. In case of refractures the changes persisted 1 month after the end of fixation.
全文:
BACKGROUND
The problem of prevention and management of long bone shaft refractures particularly among pediatric patients appears relevant nowadays. According to different authors, the frequency of refractures varies from 0,4 to 21,3% of cases and has no tendency to decrease [1, 2, 3]. The causes of this pathological condition might be different. The major of them are improper clinical and laboratory patient examination, bone injury type and localization, inaccurate bone fragments reduction, insufficient and incorrect immobilization regardless of the chosen treatment tactics, as well as big number of surgeries and reduction procedures on the injured segment, systemic skeletal disorders, osteomyelitis. Early end of immobilization might also lead to refracture of the united bone as the reparative osteogenesis has not finished yet and the bone callus has insufficient mechanical load resistance.
Bone union signs are crucial to decide upon the external fixation removal. Two standard X-rays views (anteroposterior and lateral) are commonly taken in that case, and the union signs are an uninterrupted cortical plate on three or four sides in the area of consolidation [4, 5]. However, some authors admit that standard X-rays do not provide enough information [6, 7]. Therefore, the scientists keep searching unexpensive and easy-to-do non-invasive or minimally invasive evaluation methods of quality of regenerated bone [8, 9, 10]. Blood flow evaluation methods of bone and soft tissues seem to be rather promising, that is pointed out by many researchers [11, 12, 13].
Many scientific publications mention blood flow features of tissues at different stages of bone union of primary fractures in both pediatric and adult patients [14, 15, 16, 17]. However, available data have no information on hemodynamic changes in the consolidation process of refractures occurred due to an early end of immobilization. As a consequence, investigation of hemodynamic changes and other corresponded processes including temperature response in the area of ongoing bone union of primary fractures and refractures is of great scientific and clinical significance.
Aim of study — to investigate during in vivo experiment the features of temperature response and blood flow in the area of bone union of tibial primary fractures and refractures.
METHODS
Study design
36 rats of Wistar line of both sexes with the weight from 306 to 506 grams were picked for our in vivo experiment. In all cases the transverse osteotomy was performed in the middle of diaphysis of the right tibia. Bone fragments were fixed with unilateral external fixator. All animals were randomly divided in two experimental groups after the surgery. In series 1 (n = 13) after simulating the primary fracture, the fixation was preserved until the bone union that was registered clinically and radiologically. In series 2 (n = 18) the refracture of the damaged area was simulated by the application of flexion forces to the bone fragments 21 days after the surgery, then the external fixation was reapplied until the bone union [18].
Inclusion criteria. Clinically healthy animals at the age of 5-6 months were used in the experiment.
Exclusion criteria. 5 animals in experimental series 1 had refracture of the bone callus area in the period through to 28 days after the registered bone union and the end of external fixation. This was regarded as an exclusion criterion, so these cases were not taken into account in the analysis of obtained results. Thus, the series 1 experiment included 13 out of 18 animals that underwent the surgery.
Experiment conditions
All animals were managed in individual cages in vivarium. Identical light and temperature conditions were provided in the room. Identical nutritionally balanced feed and clean drinking water were used in the diet. One and the same researcher performed physiological examinations in a specially equipped room.
Duration of study
Blood flow and local temperature in the bone injury area were evaluated to achieve the aim of study at the following stages: before experiment; in 21 days of fixation after fracture simulation and osteosynthesis in series 1 and 2; in 35 days of fixation after fracture simulation and osteosynthesis in series 1; in 35 days of fixation after refracture simulation and osteosynthesis in series 2; in 28 days after bone union and end of external fixation in series 1 and 2.
Physiologic examination procedures, main study results and registration methods
Examinations were performed using rheograph-polyanalyser RGPA-6/12 “Rean-Poly” (SPCF “Medicom MTD”, Russia) and accessories coming with it. Animals were anesthetized by intramuscular injections of Zoletil at the dose of 2-5 mg/100 g. After that the fur on the medial side of experimental segment was cut out with scissors avoiding skin damage. The DT-3 contact temperature sensor was installed in the projection of the fracture to record local temperature (T, °C). Thermometry was performed for 3 min. Then the photoplethysmography (PPG) of the same area was carried out for 1 min using the PPG-2 detector (superficial). Vasomotor reactions of large, medium and small arteries were evaluated by the changes of the maximum speed of rapid blood filling (MSRBF, ohm per second) and the average speed of slow blood filling (ASSBF, ohm per second). Venous outflow index (VOI, %) changes were analyzed to assess the venous outflow. Values of studied parameters acquired before the experiment and gathered from 15 intact animals were used as references.
Additional study results their registration methods
Heart rate (HR) was additionally registered at the examination stages by recording electrocardiogramm with the same equipment. Overall body temperature (To) was taken using digital thermometer. The presence of soft tissues pathologic changes in the fracture area (exudative inflammation, hematoma etc.) was visually noticed during the examinations.
Statistical analysis
Statistical analysis of quantitative data was performed with the use of AtteStat 13.1 software (Russia). Population of quantitative data was described by the median value (Me) and lower and upper quartiles (Q1-Q3). Statistical significance of differences was evaluated using Wilcoxon test for paired and independent samples. Differences were considered statistically significant at the p<0.05 significance level.
RESULTS
Main study results
There were no cases of animal death during the whole experiment. Reference ranges for experimental variables were the following: Т — 31,1 (30,48–31,81) °С, MSRBF — 2,3 (1,76–2,55) ohm per second, ASSBF — 0,88 (0,54–1,49) ohm per second, VOI — 56,73 (53,4–65,0) %.
Results obtained during the local tissue temperature recording and PPG revealed different dynamics of changes of experimental variables in the period of external fixation.
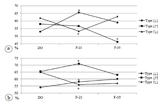
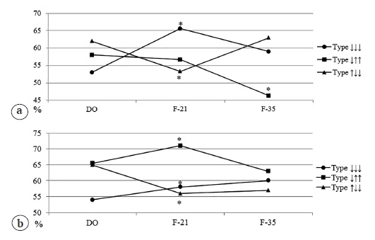
21 days after the surgery 38,7% (n = 12) of examined animals had statistically significant T decrease by 1,11°С (р = 0,02) comparing to preoperative values. MSRBF and ASSBF parameters decreased by 75,77% (р = 0,003) and 79,76% (р = 0,03) respectively. Among the cases with such dynamics (hereinafter — animals «Т↓ MSRBF↓ ASSBFна ↓», in figures «Type ↓↓↓») 50% of animals were included in the experimental series 1 and 50% - in the series 2. These experiments recorded VOI increase by more than 20% (р = 0,01).
Other series of experiments (38,7%; n = 12) recorded significant T decrease by 1,77°С (р = 0,0006). At the same time MSRBF and ASSBF increased 2,97-fold (р = 0,006) and 2,96-fold (р = 0,01) respectively (hereinafter — animals «Т↓ MSRBF↑ ASSBF↑», in figures «Type ↓↑↑»). 33,3% (n = 4) of cases were included in the experimental series 1, 66,7% (n = 8) - in the series 2. These animals had no venous outflow disorder, their VOI values corresponded to normal, although were insignificantly higher in the series 2 than preoperative ones (р = 0,03).
22,6% (n = 7) of animals had insignificant T increase by 0,32±0,20°С (р = 0,56) on average. However, MSRBF and ASSBF had statistically significant decrease by 29,82% (р = 0,02) and 10,07% (р = 0,02) respectively. 42,9% (n = 3) of cases were included in the experimental series 1, 57,1% (n = 4) - in the series 2 (hereinafter — animals «Т↑ MSRBF↓ ASSBF↓», in figures «Type ↑↓↓»). These animals had a weak tendency for venous outflow increase during all experiments. That was marked by the VOI decrease comparing to preoperative values (р = 0,03). Thus, there were no statistically significant difference of this parameter from the norm (р = 0,08).
T parameter in animals with «Т↓ MSRBF↓ ASSBFна ↓» increased by 0,48°С in the experimental series 1 by the end of external fixation (35 days after the surgery) comparing to previous experimental period. Its values varied within the lower limit of physiological range. MSRBF and ASSBF parameters increased comparing to previous experimental period and reached normal values. Meanwhile, the VOI parameter decreased a little. Its difference from preoperative and intact values was not statistically significant.
As for experimental series 2, the T parameter increased and became physiologically normal (р = 0,06) 35 days after refracture simulation and osteosynthesis. Although the VOI parameter corresponded to intact values, it still did increase by 11% compared to preoperative values. That was considered as a mild venous outflow difficulty. MSRBF and ASSBF continued decreasing, their values dropped off by 88,80% (р = 0,002) and 82,14% (р = 0,004) respectively.
The values of arteries vasomotor reactions parameters (T, MSRBF and MSSBF) also returned to normal in series 1 animals with «Т↓ MSFBF↑ ASSBF↑» changes. Signs of venous outflow increase were identified. It was confirmed by statistically significant VOI decrease compared to both preoperative (р = 0,03) and previous experimental stage values (р = 0,02). T values in series 2 animals with «Т↓ MSRBF↑ ASSBF↑» changes increased by more than 0,5°С (р = 0,05) comparing to normal and more than 2,0°С (р = 0,04) comparing to previous experimental stage. MSRBF decreased but kept being 1,4-fold (р = 0,04) increased compared to normal. ASSBF decreased and varied its values within the upper limit of physiological range (р = 0,3). At the same time the VOI parameter returned to normal.
Values of all studied parameters in series 1 animals with «Т↑ MSRBF↓ASSBF↓» changes corresponded to preoperative and normal ones and were obtained by investigating intact animals. Series 2 parameters increased comparing to preoperative values. The T parameter increased by more than 1°С (р = 0,03), MSRBF — 3,8-fold (р = 0,001), ASSBF — 2,1-fold (р = 0,001). VOI remained the same.
Figures 1-4 show all dynamic changes of local temperature and cover tissues as well as arteries vasomotor reactions and venous outflow parameters at the stage of external fixation of damaged bone.
Fig. 1. Dynamics of changes in the soft tissues temperature in the projection of bone trauma at the fixation stage with different variants of blood flow: a — 1st series; b — 2nd series; * — p>0.05. Hereafter: DO – before surgery; F-21 – fixation 21 days; F-35 – fixation 35 days
Fig. 2. Dynamics of changes in the maximum rate of rapid blood filling at the fixation stage with different variants of blood flow: a — 1st series; b — 2nd series; * — p>0.05
Fig. 3. Dynamics of changes in the average rate of slow blood filling at the fixation stage with different variants of blood flow: a — 1st series; b — 2nd series; * — p>0.05
Fig. 4. Dynamics of changes in the venous outflow index at the fixation stage with different variants of blood flow: a — 1st series; b — 2nd series; * — p>0.05
Regardless of the blood flow type, the studied parameters in series 1 animals varied their values within the physiological range during all experiments 28 days after the end of external fixation.
T and VOI parameters in series 2 animals with «Т↓ MSRBF↓ ASSBF↓» and «Т↓ MSRBF↑ ASSBF↑» changes usually had no statistically significant difference comparing to normal values (р = 0,4 and р = 0,6 respectively) 28 days after the end of external fixation. Other parameters decreased significantly compared to the norm (more than 3-fold, р = 0,001). During that period the T parameters in «Т↑ MSRBF↓ ASSBF↓» animals decreased by 0,95°С (р = 0,04) comparing to the previous experimental stage and did not significantly differ from the norm (р = 0,3). MSRBF and ASSBF increased 1,5-fold comparing to the values obtained at the end of external fixation (р = 0,002). The VOI values were 24,6% (р = 0,009) lower than physiologically normal and preoperative ones.
Additional study results
In the course of experiments all animals had no pathological changes in soft tissues in the area of simulated fracture. There were also no statistically significant changes in heart rate and overall body temperature at different experimental stages comparing to preoperative values. No statistically significant difference of these parameters was registered at all experimental stages and between series (Tab. 1).
Table 1
Dynamics of changes in heart rate and total body temperature, Me (Q1–Q3)
Serial number | Stages of the experiment | |||
Before the experience | Fixation 21 days | Fixation 35 days | 28 days without ex-fix | |
Heart rate, beats/min | ||||
1 (n=13) | 294 (246.5–325.0) | 264 (256–308) | 304.5 (251.5–327.0) | 278 (257.5–299,0) |
2 (n=18) | 291 (254.5–331.0) | 276.5 (245–322) | 302 (290.5–332.0) | 276.5 (238–322) |
Тtotal., °С | ||||
1 (n=13) | 34.3 (33.9–34.9) | 34.74 (34.0–34.9) | 35.0 (34.2–35.5) | 34.52 (34.1–34.8) |
2 (n=18) | 34.7 (34.0–35.4) | 34.8 (34.3–35.3) | 34.97 (34.1–35.7) | 34.9 (34.7–35.3) |
In relation to the preoperative values and at different stages between the series, the significance level of differences is p>0.05
DISCUSSION
Temperature and blood flow hypo- or hyperkinetic changes during the bone union of primary fractures or refractures (due to an early end of fixation) of lower-leg bones diaphysis were rather similar but had varying intensity. The dynamics of the primary fracture union being quite the same, the blood flow and the temperature normalized 1 month after the end of fixation. At the same time the consolidation of refracture was associated with prominent vasomotor reaction changes that persisted 1 month after the end of fixation.
It is acknowledged that recovery of peripheral circulation and its intensity represent one of the main factors that influence the remodeling process after bone and soft tissues injuries [19, 20]. Nowadays, non-invasive diagnostic methods based on near infrared optical systems are most commonly used to evaluate the tissue perfusion in the bone union area. PPG is considered the cheapest and easiest to use [21, 22]. Optical wavelength from 470 nm and longer enables to reach the human derma that is equivalent to 0.5-6.0 mm of tissue depth. The sensor pressed down, the PPG signal is enhanced, so the optical wave is able to reach the deeper layers including deep-seated vessels [23].
The PPG method was also used in the experimental research to study the hemodynamics under created conditions. As a result, it became clear that similar but intensively different blood circulation changes may occur during the bone union of primary fractures or refractures of lower-leg bones diaphysis under external fixation. As for the hemodynamic process, it may be of hypo- or hyperkinetic nature.
33% of cases shew up venous outflow changes comparing to preoperative values 21 days after the fracture simulation and osteosynthesis. Nevertheless, these changes had no statistically significant difference from the physiological norm. At the same time vasodilatation of arteries of different sizes prevailed, that was demonstrated by the blood inflow velocity decrease by more than 70%. That fact explained the temperature decrease of cover tissues in the damaged area. Such circulation dynamics allowed to restore the arteries vasomotor properties and tissue temperature by the end of external fixation in case of primary fractures. The venous outflow also normalized. There were no blood circulation changes in the bone union area afterwards. The animals with simulated refracture restored the tissue temperature response by the time of consolidation. Nevertheless, the blood flow velocity continued decreasing and the venous outflow became a bit restricted. External fixation ended up, the blood circulation in the fracture area did not manage to be restored by the end of experiment.
There is information that the blood circulation in the damaged area increases in children with long bone fractures 7-14 days after osteosynthesis and normalizes in the bone union period [14, 15]. The same hyperkinetic circulation type was recorded in more than 30% of experimental cases. Thus, the blood flow velocity increased significantly in the bone union area 21 days after fixation. The venous outflow was in those cases sufficient. It appears that the blood filling speed-up was caused by hypertonic vessel walls. During that period the arteries vasoconstriction, especially of small ones, led to the temperature decrease of cover tissues by more than 1,5° С.
Such dynamics enabled to increase the venous outflow and normalize the arteries vasomotor properties and the tissue temperature as soon as mechanically strong bone union was formed after the primary fracture. As for the cases of refracture consolidation, the vasoconstriction level of large vessels increased while the small arteries tonus normalized. That increased the blood flow to the damaged area. As a result, the tissue temperature increased and the venous outflow normalized, both persisting after the end of fixation. However, the tonus of arteries walls decreased significantly, as evidenced by the fact that the blood filling velocity decreased.
22% of animals had the circulation type 3 that was registered 21 days after the fracture simulation and osteosynthesis. These cases were characterized by the mild arteries vasodilatation along with the venous hyperoutflow. Such dynamical changes concerning vessel functioning led to the mild tissue temperature increase, so that all the parameters normalized by the time of the primary fracture consolidation and did not change afterwards. By the end of external fixation in case of refracture consolidations there was a sharp vessel tonus increase with the blood filling speed-up. The cover tissue temperature increased as well. After the end of fixation, the arteries were in a state of vasoconstriction while the venous outflow increased even more. All these circumstances caused the tissue blood filling deterioration and consequently led to its temperature decrease.
Other authors also reported different variants of blood circulation while treating patients with low or upper limbs injuries [16, 24, 25]. Some of researches mainly observed the blood inflow increase to the limb tissues when managing fractures by the use of various methods [26, 27]. Other researchers mentioned the blood inflow decrease [17, 28, 29].
All experimental animals had no refractures after the end of external fixation (except the cases that corresponded to exclusion criteria). That attests to the fact that all 3 types of hemodynamic changes and tissue temperature reactions in the damaged area can be considered as positive criteria of osteogenesis process after primary fractures and refractures caused by an early end of immobilization. The clinical value of our findings is determined by the fact that they can be used to predict the reparative osteogenesis process when managing long bone fractures particularly via external fixation.
CONCLUSION
Hypo- or hyperkinetic changes of blood circulation during the bone union of primary fractures or refractures (due to an early end of fixation) of lower leg bones diaphysis are rather similar but have varying intensity.
Local hemodynamics changes may be favorable prognostic criteria of reparative osteogenesis process. These changes can be represented by blood flow velocity decrease associated with tissue hypothermia and signs of venous outflow difficulties, blood flow velocity increase with local hypothermia and preserved venous outflow, insignificant blood flow deceleration, local tissue hyperthermia and venous outflow increase.
In case of primary fracture consolidation, the blood circulation and tissue temperature response in the area of bone callus restore during the bone union. Consolidation of refractures is accompanied by more significant changes of these variables and they do not restore 1 months after the end of fixation.
DISCLAIMERS
Author contribution
Kosimov A.A. — the idea and design of the study, writing the draft, editing.
Khodzhanov I.Yu. — the idea and design of the study, text editing.
Kononovich N.A. — data collection and analysis, manuscript writing
All authors have read and approved the final version of the manuscript of the article. All authors agree to bear responsibility for all aspects of the study to ensure proper consideration and resolution of all possible issues related to the correctness and reliability of any part of the work.
Funding source. The work was carried in the National Ilizarov Medical Research Centre for Traumatology and Ortopaedic under contract No. 165 for the implementation of research work with the financial support of A.A. Kosimov.
Competing interests. The authors declare that they have no competing interests.
Ethics approval. The study was approved by the local ethics committee of National Ilizarov Medical Research Centre for Traumatology and Ortopaedic, protocol No 18, 19.03.2018.
The study was carried out in accordance with the European Convention for the Protection of Vertebrate Animals and Directive 2010/63/EU of the European Parliament and the Council of the European Union on the protection of animals used for scientific purposes.
Consent for publication. Not required.
作者简介
Azam Kosimov
Republican Specialized Scientific and Practical Medical Center of Traumatology and Orthopaedics; Tashkent Medical Academy
Email: azamrefracture@mail.ru
ORCID iD: 0000-0001-9253-2597
Scopus 作者 ID: 57212646460
Cand. Sci. (Med.)
乌兹别克斯坦, Tashkent; TashkentIskandar Khodzhanov
Republican Specialized Scientific and Practical Medical Center of Traumatology and Orthopaedics
Email: prof.Khodjanov@mail.ru
ORCID iD: 0000-0001-9420-3623
Scopus 作者 ID: 57212658193
Dr. Sci. (Med.), Professor
乌兹别克斯坦, TashkentNatalia Kononovich
National Ilizarov Medical Research Centre for Traumatology and Ortopaedic
编辑信件的主要联系方式.
Email: n.a.kononovich@mail.ru
ORCID iD: 0000-0002-5990-8908
SPIN 代码: 4698-3378
Scopus 作者 ID: 55761916600
Researcher ID: Q-8604-2016
Cand. Sci. (Vet.)
俄罗斯联邦, Kurgan参考
- Khodzhanov I.Yu., Khrapovitskaya A.Yu., Kosimov A.A. [Refractures long bones in children (literature review)]. Ortopediya, travmatologiya i protezirovanie [Orthopedics, Traumatology and Prosthetics]. 2012;1:117-120. (In Russian).
- Shalygina O.I., Kuznetsova N.L. [The reasons for promoting the development of long bones refracture after isolated andmultiple injuries]. Medicinskaya nauka i obrazovanie Urala [Medical Science and Education in the Urals]. 2012;13(3-1):120-122. (In Russian).
- Fernandez F.F., Langendörfer M., Wirth T., Eberhardt O. Failures and complications in intramedullary nailing of children’s forearm fractures. J Child Orthop. 2010;4(2):159-167. doi: 10.1007/s11832-010-0245-y.
- Starr K.A., Fillman R., Raney E.M. Reliability of radiographic assessment of distraction osteogenesis site. J Pediatr Orthop. 2004;24(1):26-29. doi: 10.1097/00004694-200401000-00006.
- Ten Berg P.W.L., Kraan R.B., Jens S., Maas M. Interobserver Reliability in Imaging-Based Fracture Union Assessment – Two Systematic Reviews. J Orthop Trauma. 2020;34(1):e31-e37. doi: 10.1097/BOT.0000000000001599.
- Atwan Y., Schemitsch E.H. Radiographic evaluations: Which are most effective to follow fracture healing? Injury. 2020;51(Suppl 2):S18-S22. doi: 10.1016/j.injury.2019.12.028.
- Litrenta J., Tornetta P. 3rd, Ricci W., Sanders R.W., O’Toole R.V., Nascone, J.W. et al. In vivo correlation of radiograhic scoring (radiographic union scale for tibia fractures) and biomechanical data in a sheep osteotomy model: can we define union radiographically? J Orthop Trauma. 2017;31(3):127-130. doi: 10.1097/BOT.0000000000000753.
- Kononovich N.A., Popkov A.V. [Hemodynamics in different muscle groups when treating comminuted fractures of leg bones (an experimental study)]. Mezhdunarodnyj zhurnal prikladnyh i fundamental’nyh issledovanij [International Journal of Applied and Fundamental Research]. 2015; (5-2):246-250. Available from: https://applied-research.ru/ru/article/view?id=6720. (In Russian).
- Sadoughi F., Behmanesh A., Najd Mazhar F., Joghataei M.T., Yazdani S., Shams R. et al. Bone Healing Monitoring in Bone Lengthening Using Bioimpedance. J Healthc Eng. 2022;2022:3226440. doi: 10.1155/2022/3226440.
- Glatt V., Evans C.H., Tetsworth K. A Concert between Biology and Biomechanics: The Influence of the Mechanical Environment on Bone Healing. Front Physiol. 2017;7:678. doi: 10.3389/fphys.2016.00678.
- Kononovich N.A., Shastov A.L. Use of impedance plethysmography for assessment of intraosseous hemodynamics in Ilizarov transosseous osteosynthesis. Biomed Eng. 2021;55(4):245-249. doi: 10.1007/s10527-021-10111-0.
- Han S., Proctor A.R., Vella J.B., Benoit D.S., Choe R. Non-invasive diffuse correlation tomography reveals spatial and temporal blood flow differences in murine bone grafting approaches. Biomed Opt Express. 2016;7(9):3262-3279. doi: 10.1364/BOE.7.003262.
- Ren J., Han S., Proctor A.R., Desa D.E., Ramirez G.A, Ching‐Roa V.R.D. et al. Longitudinal 3D blood flow distribution provided by diffuse correlation tomography during bone healing in a murine fracture model. Photochem Photobiol. 2020;96(2):380-387. doi. 10.1111/php.13201
- Vatolin K.V., Pykov M.I., Vubornov D.Yu., Gurevich A.I., Sinitsyna N.V. [Possibility of complex ultrasound examination of the long bones fractures in children with normal osteogenesis]. Vestnik Rossijskogo nauchnogo centra rentgenoradiologii Minzdrava Rossii [Bulletin of the Russian Scientific Center for Roentgen Radiology]. 2011;(11-2). (In Russian). Available from: http://vestnik.rncrr.ru/vestnik/v11/papers/sinits_v11.htm.
- Zusko A.V., Sitko L.A., Nikonov V.M., Stepanov M.A., Tishenko A.B. [Ultrasound investigation of children long bone fracture including monitoring of reduction and reparation process]. Medicinskaya vizualizaciya [Medical Visualization]. 2012;6:112-119. (In Russian).
- Shpagina L.A., Karpenko A.G., Kolosov N.G., Shelepova N.V., Firsov S.A. [Microcirculation state in patients with the skeletal injury in dynamic treatment]. Vestnik novyh medicinskih tekhnologij [Journal of New Medical Technologies]. 2008;(1):107-110. (In Russian).
- Shchurov V.A., Macukatov F.A. [Functional state of patients with fractures of the shin bones during treatment using the Matsoukidis-Shevtsov apparatus]. Ortopediya, travmatologiya i protezirovanie [Orthopedics, Traumatology and Prosthetics]. 2013;(2):69-72. (In Russian).
- Kosimov A.A., Khodzhanov I.Iu., Gorbach E.N., Silanteva T.A., Diuriagina O.V., Borzunov D.Yu. [Morphological features of bone regeneration in simulated refracture of growing long bones]. Genij Ortopedii [Orthopaedic Genius]. 2019;25(4):555-560. (In Russian). doi: 10.18019/1028-4427-2019-25-4-555-560.
- Pliefke J., Rademacher G., Zach A., Bauwens K., Ekkernkamp A., Eisenschenk A. Postoperative monitoring of free vascularized bone grafts in reconstruction of bone defects. Microsurgery. 2009;29(5):401-407. doi: 10.1002/micr.20662.
- Belokrylov N.M., Belokrylov A.N., Mukhamadeev I.S., Denisov A.S., Kiryakov V.N., Gorkovets K.I. [Damage to the major limb vessels with complete disturbance of blood flow in children (results of clinical observations)]. Genij Ortopedii [Orthopaedic Genius]. 2022;28(1):7-11. (In Russian). doi: 10.18019/1028-4427-2022-28-1-7-11.
- Becker R.L., Siamwala J.H., Macias B.R., Hargens A.R. Tibia bone microvascular flow dynamics as compared to anterior tibial artery flow during body tilt. Aerosp Med Hum Perform. 2018;89(4):357-364. doi: 10.3357/AMHP.4928.2018.
- Rodrigues L.M., Rocha C., Ferreira H., Silva H. Different lasers reveal different skin microcirculatory flowmotion-data from the wavelet transform analysis of human hindlimb perfusion. Sci Rep. 2019;9(1):16951. doi: 10.1038/s41598-019-53213-2.
- Castaneda D., Esparza A., Ghamari M., Soltanpur C., Nazeran H. A review on wearable photoplethysmography sensors and their potential future applications in health care. Int J Biosens Bioelectron. 2018;4(4):195-202. doi: 10.15406/ijbsbe.2018.04.00125.
- Baklanova D.A., Shakirova F.V., Akhtyamov I.F., Klushkina Yu.A. [Arterial hemodynamics in rabbit hind limbs after intramedullary osteosynthesis using implants coated with titanium and hafnium nitrides]. Veterinarnyj vrach [Veterinary Surgeon]. 2015;(5):37-40. (In Russian).
- Melnyk M., Henke T., Claes L., Augat P. Revascularisation during fracture healing with soft tissue injury. Arch Orthop Trauma Surg. 2008;128(10):1159-1165. doi: 10.1007/s00402-007-0543-0.
- Plakhov A.I., Kolesnikova L.I., Korytov L.I., Vinogradov V.G., Darenskaya M.A. [Changes in indicators of microcirculation in the early postoperative period in the treatment of diaphyseal fractures of the shin bones using a plate with limited contact]. Acta Biomedica Scientifica 2019;4(3):58-62. (In Russian). doi: 10.29413/ABS.2019-4.3.8.
- Rakhmatulina A.A., Luneva S.N., Nakoskina N.V., Kliushin N.M., Lyulin S.V., Dolganova T.I. et al. [The serum vascular endothelial growth factor levels in patients with high-energy trauma complicated with infection]. Genij Ortopedii [Orthopaedic Genius]. 2021;27(3):325-330. doi: 10.18019/1028-4427-2021-27-3-325-330.
- Pisarev V.V., L’vov S.E., Vasin I.V., Tikhomolova E.V. [Regional hemodynamics in different types of surgical treatment of diaphyseal fractures of the shin bone]. Travmatologiya i ortopediya Rossii [Traumatology and Orthopedics in Russia]. 2012;(1):36-42. (In Russian). doi: 10.21823/2311-2905-2012-0-1-36-43.
- Kalbas Y., Qiao Z., Horst K., Teuben M., Tolba R.H., Hildebrand F. et al. Early local microcirculation is improved after intramedullary nailing in comparison to external fixation in a porcine model with a femur fracture. Eur J Trauma Emerg Surg. 2018;44(5):689-696. doi: 10.1007/s00068-018-0991-y.
补充文件








