Factors Associated with Revision Surgery in Long Bones Metastases
- Authors: Wang J.1, Kharchenko N.V.1, Zapirov G.M.1, Kaprin A.D.1,2, Bukharov A.V.2, Derzhavin V.A.2, Yadrina A.V.2
-
Affiliations:
- RUDN University
- P.A. Herzen Moscow Research Institute of Oncology — Branch of National Medical Research Center of Radiology
- Issue: Vol 28, No 3 (2022)
- Pages: 38-48
- Section: СLINICAL STUDIES
- Submitted: 25.04.2022
- Accepted: 02.08.2022
- Published: 23.09.2022
- URL: https://journal.rniito.org/jour/article/view/1775
- DOI: https://doi.org/10.17816/2311-2905-1775
- ID: 1775
Cite item
Abstract
Background. Bones as an organ are one of the most common targets for tumor metastasis. Currently, the number of patients undergoing surgical treatment for metastatic bone lesions is steadily increasing. In most patients, after surgical treatment, the manifestation of clinical symptoms decreases, primarily pain syndrome, which improves their quality of life. However, it should be noted that the number of patients with bone metastases who underwent revision surgery is also increasing. This article retrospectively analyzes the factors leading to revision after surgical treatment of metastases in long bones.
The aim of this study was to identify factors leading to revision after surgical treatment of patients with metastases in long bones.
Methods. A retrospective medical records analysis of 247 patients who underwent surgical treatment for metastases in long bones on the basis of the P.A. Herzen Moscow Research Institute of Oncology in 2006–2020 was performed. Of these, 33 patients underwent revision surgery. The median age was 62 years. The localization of the primary tumor was as follows: breast cancer — 10 cases, kidney cancer — 13, lung cancer — 3, prostate cancer — 2, rectal cancer — 3, liver cancer and Ewing’s sarcoma with bone metastases — 1 case each.
Results. The following factors led to revision surgery: mistakes in preoperative diagnosis (3 patients); postoperative infectious complication (6 patients); dislocation of the endoprosthesis (4 patients); continued growth of solitary metastasis after osteosynthesis (5 cases); aseptic instability after intramedullary osteosynthesis (14 patients); traumatic fracture of the endoprosthesis stem (1 patient).
Conclusions. Revision after surgical treatment of metastases in long bones, in addition to postoperative complications, lead to mistakes in diagnosis and incorrect choice of surgical treatment method. To reduce the risk of revision surgical interventions, a multidisciplinary approach is needed with the development of surgical treatment tactics in consultation and the use of specialized scales of oncological prognosis.
Keywords
Full Text
BACKGROUND
The improvement in diagnostics and of the techniques of surgical interventions and the development of drug therapy and radiation method of treatment have enabled to increase the life expectancy of cancer patients significantly. However, a significant proportion of patients has regional and/or distant metastases. Primary malignant tumors can metastasize to almost all body tissues, but some types of tumors, such as breast cancer, prostate cancer, lung cancer, thyroid cancer, and kidney cancer, metastasize preferentially to bones. According to the literature, the bone is the third most common site of metastasis after the lungs and liver [1, 2].
According to the American Cancer Society, more than 65% of breast and prostate cancers and 30–40% of lung, thyroid, and kidney cancers have bone metastases [3]. Metastases are most often localized in the femur and humerus among the long bones [3]. For most cancer patients, the emergence of metastases usually indicates an advanced stage of the disease and a poor prognosis. However, surgical treatment of patients with bone metastases improves the quality of life of patients and restores the function of the affected limb [4]. Along with the expansion of indications for surgical intervention, with metastatic lesions of long bones, there is an increase in the frequency of repeated surgeries due to the recurrence of the pain syndrome induced by various factors.
The study aimed to identify factors leading to revision surgeries after surgical treatment of patients with metastases in long bones.
METHODS
Study design
This is a retrospective analysis of the case histories of patients who underwent surgical treatment of metastases in long bones at the Hertsen Moscow Oncology Research Institute in 2006–2020. The study did not include patients in whom the identified metastatic focus was not surgically removed, as well as those who refused to undergo repeated surgical intervention.
Patients
Out of 247 patients, 181 (73.3%) with metastatic lesions of long bones underwent removal of the metastatic focus with total joint replacement. Internal osteosynthesis was performed in 65 (26.3%) cases, and one patient (0.4%) underwent radiofrequency thermal ablation of the lytic femoral focus with osteoplasty.
In 33 (13.3%) patients, repeated surgical interventions were performed, including amputation in one patient, reduction of the endoprosthesis dislocation in four cases, one-staged or two-staged repeated endoprosthesis replacement in five patients, and segmental resection with endoprosthesis replacement was performed in 23 cases.
There were 15 men and 18 women. Their age ranged from 23 to 80 yr, with a mean age of 62 yr.
The primary tumor was as breast cancer in 10 patients, kidney cancer — in 13 patients, lung cancer — in three patients, prostate cancer — in two patients, rectal cancer — in three patients, liver cancer — in one patient and Ewing’s sarcoma — in one patient.
Total joint replacement was performed in 11 (33.3%) patients as a primary surgery, intramedullary osteosynthesis in 21 (63.6%) patients, and radiofrequency thermal ablation of the femoral lytic focus with osteoplasty was performed in one patient (3%). At the same time, 20 (60.6%) patients had a pathological bone fracture, and seven (21.2%) patients had a risk of its occurrence. In five (15.2%) patients, the indication for surgery was the continued growth of solitary metastasis in the long bone.
The primary surgery in 11 patients was performed at the Hertsen Moscow Oncology Research Institute, and in 22 patients, it was performed in another clinic. During hospitalization 31 out of 33 patients had a pronounced pain syndrome, 17 patients had a limitation in the range of motion, and swelling of the affected extremities was registered in five patients.
Evaluation of results
The visual analog scale (VAS) was used to assess the pain syndrome severity, and the Eastern Cooperative Oncology Group (ECOG) and Karnofsky scales were used to assess the patients’ quality of life before and after surgery [5].
Statistical analysis
Statistical analysis of the data obtained was performed using the Solutions Statistical Package for the Social Sciences 22 (SPSS Statistics) program. Survival rate analysis was performed using the Kaplan-Meier method. Survival curves were compared using the log-rank test. Differences were considered statistically significant at p<0.05.
RESULTS
The changes over time of pain syndrome according to VAS before and after repeated surgical intervention are presented in Table 1.
Table 1. Dynamics of pain syndrome according to VAS
Score | Number of patients | |
Before surgery | After surgery | |
0–2 | 2 | 28 |
3–4 | 5 | 5 |
5–6 | 20 | 0 |
7–8 | 3 | 0 |
9–10 | 3 | 0 |
Total | 33 | 33 |
Pearson’s χ2 value is 48.533; p < 0.001.
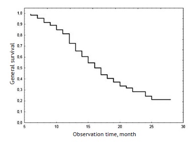
The follow-up revealed that 24 (72.7%) patients passed away as a result of repeated surgical interventions. Six of the 24 patients underwent total joint replacement during primary surgery, and 17 patients underwent intramedullary osteosynthesis. One patient underwent radiofrequency thermal ablation of the lytic lesion of the femur with osteoplasty. The median survival rate after repeated surgical interventions was 15 months (6–28 months). When studying the long-term results of treatment of patients after repeated surgical interventions, we revealed that the overall 1-year survival rate was 73%, and the 2- year survival rate was 24% (Figure 1).
Fig. 1. Survival rate of patients after revision surgery
The majority (226 [91.5%] patients) showed an improvement in the quality of life after surgery according to the Karnofsky and ECOG scales, and in 21 (8.5%) patients, the quality of life did not change. However, after repeated surgeries, all 33 patients showed an improvement in the quality of life, according to the Karnofsky and ECOG scales (Table 2).
Table 2. Changes in the level of quality of life after the initial surgery and repeated surgical interventions according to the ECOG and Karnofsky scales
Description | Karnofsky scores | ECOG scores | Number of patients (n = 247) | Number of patients (n = 33) | ||
Before the primary surgery | After the primary surgery | Before repeated surgical interventions | After repeated surgical interventions | |||
The patient is fully active and is capable to perform activities as before the disease | 90–100 | 0 | 3 | 143 (3*) | 0 | 26 |
The patient is unable to do heavy work but can do light or sedentary work (e.g., light housework or deskwork) | 70–80 | 1 | 12 | 50 (3*) | 2 | 7 |
The patient is treated on outpatient basis, is capable of self-care but unable to work. He spends more than 50% of his waking time actively in an upright position | 50–60 | 2 | 18 | 28 (4*) | 8 | 0 |
The patient is only capable of limited self-care and spends more than 50% of the time in a chair or bed | 30–40 | 3 | 64 | 19 (4*) | 17 | 0 |
Disabled person, completely incapable of self-care, confined to a chair or bed | 10–20 | 4 | 150 | 7 (7*) | 6 | 0 |
* Number of patients whose quality of life has not changed after surgery; p < 0.001.
Indications for revision surgery were errors in preoperative diagnostics (three patients), postoperative infectious complication (six patients), endoprosthesis dislocation (four patients), continued growth of solitary metastasis after osteosynthesis (five patients), aseptic instability after intramedullary osteosynthesis (14 patients), and traumatic fracture of the endoprosthesis stem (one patient) (Table 3).
Table 3. Causes of revision surgeries after treatment of metastases in long bones
Primary surgery | Number of patients | Complication | Revision surgery |
Total arthroplasty | 4 | Dislocation | Revision arthroplasty |
6 | Infection | Repeated endoprosthesis replacement | |
1 | Endoprosthesis fracture | ||
Osteosynthesis | 14 | Aseptic instability | Arthroplasty |
4 | Continued growth of solitary metastasis | ||
1 | Amputation | ||
2 | Errors in preoperative diagnostics | Arthroplasty | |
Radiofrequency thermal ablation with osteoplasty | 1 | Errors in preoperative diagnostics | Arthroplasty |
DISCUSSION
Currently, patients have higher demands on restoring the quality of life. Most of them hope for the fastest possible restoration of the affected limb function and the maximum reduction of pain after surgery. In order to remove metastatic foci and correct pathological fractures, surgical methods, such as intramedullary fixation, total joint replacement, and plate fixation, are used in clinical practice to restore the functional characteristics of the affected bone [6, 7]. An analysis of the literature shows that surgical treatment of metastases in long bones allows good immediate results and significantly improves the quality of life of this category of patients [8, 9, 10, 11].
Our study presents a retrospective analysis of data from 247 patients with long bone metastases, who underwent surgical treatment. The study of immediate results and data obtained during follow-up of patients in this group showed that the use of surgical interventions for the treatment of metastatic lesions of long bones is justified in most cases, since they provide good functional results and improve the quality of life of this category of patients (91%). However, at the same time, we concluded that due to the recurrence of pain syndrome and other clinical symptoms caused by various factors, the number of patients requiring repeated surgeries is increasing simultaneously.
Thus, according to the study results, the main factors of repeated surgical interventions were identified.
- Errors in preoperative diagnostics
The above group of 33 patients included three patients with diagnostic errors. Two patients with suspected traumatic fracture were hospitalized in the trauma department of clinics, where intramedullary osteosynthesis was performed. One of the patients was diagnosed with osteosarcoma of the femoral metaphysis during the initial visit to a medical institution, and then radiofrequency thermal ablation in combination with osteoplasty was performed.
In clinical practice, bone metastases in patients can be asymptomatic and diagnosed incidentally during routine examinations or in case of a pathological fracture [12]. T. Sun et al. reported that 15 out of 121 patients (12.4%) with metastases to the femur did not have a clearly verified primary tumor during examination [13]. X.D. Tang et al. analyzed 125 cases of malignant tumors with bone metastases and revealed that 29.6% of patients did not receive diagnosis of metastases. At the same time, the frequency of positive results of physical examination was 9.6%, that of the study of specific tumor antigens was 43.2%, imaging study showed positive results in 60% of cases, and post-mortem examination showed positive results in 66.4% of cases [14].
According to research results, the bone microenvironment contributes to metastatic injury by changing the phenotype of tumor cells and plays a key role in the vicious circle of bone metastasis. The bone matrix is rich in many growth factors (e.g., TGF-á, IGF-I, and IGF-II), which are released because of osteolysis and stimulate simultaneously the proliferation of both bone and tumor cells. The physical factors of the bone matrix (e.g., acidic environment) create a favorable environment for tumor growth. Physical factors interact with growth factors, thereby contributing to the formation of a vicious circle of bone metastases development and accelerating the process of bone metastasis [11, 15, 16, 17, 18].
In our opinion, in most cases, diagnostic errors occur due to low oncological alertness of the general clinical health care unit, particularly among orthopedic surgeons. However, the progression of a malignant tumor is often associated to a greater extent with the development of metastases than with the growth of the primary focus, and even a small primary tumor can have obvious distant metastases.
- Incorrect method of surgical treatment
In our study, aseptic instability developed in 19 patients after osteosynthesis of long bones for a verified metastatic lesion, and growth of a solitary tumor was recorded 6–12 months after the surgery, which subsequently required amputation in one patient, and segmental resection with joint replacement in the rest of the cases.
Functional results after segmental resection with joint replacement and osteosynthesis after 6 months were significantly different in favor of joint replacement due to tumor growth in the affected bone segment after osteosynthesis and the development of aseptic instability. Due to the absence of tumor growth in the affected bone segment, the eradication of the tumor during segmental resection with joint replacement provides good functional results for a longer period. At the same time, it is noteworthy that there are no significant differences in the average duration of surgery, the volume of blood loss, and the terms of activation of patients after osteosynthesis and joint replacement [19].
The life expectancy of oncological patients has increased significantly in connection with the development of oncological science and the improvement of treatment methods, and this has led to an increase in the number of patients with bone metastases [20]. The complicated course of metastatic bone lesions affects significantly the quality of life of patients [21]. Indications for surgical treatment and methods of orthopedic management in patients with bone metastases can vary significantly in different countries. Thus, in the USA, 71% of patients with bone metastases undergo surgery due to the risk of pathological fractures, while it is performed only in 18% of cases in the Nordic countries [20, 22].
Predicting the life expectancy of patients with bone metastases is significant in the choice of treatment options, but the accuracy of such a prognosis is still insufficient. Over the past decades, there have been numerous attempts to develop new systems to assist in making decisions about the approach of treating patients with bone metastases [23, 24, 25, 26, 27]. Another important factor for determining the approach of surgical treatment is the metastatic lesion localization, as well as the presence or risk of a pathological fracture [12, 28, 29, 30]. Fracture risk is assessed using the Mirels scale; if there are more than 9 points, surgical treatment should be performed [31]. Currently, intramedullary osteosynthesis in the treatment of metastatic bone lesions has limited indications and is almost not used. Preference is given to oncological joint replacement [32, 33, 34, 35, 36].
For patients with long bone metastases associated with or at risk of pathological fractures, the optimal surgical method must be determined, taking into account the patient’s life expectancy, fracture location, and many other factors. In breast cancer, prostate cancer, and other cancer sites with a long patient survival period, when the primary tumor has been removed or the tumor process manifests itself as a relatively slowly developing isolated bone metastasis, extensive tumor resection can be performed to reduce the incidence of local recurrences. However, the choice of surgical methods for restoring the affected limb function is focused on the pathological fracture area. If bone metastasis is located near the joints in combination with pathological fractures, total joint replacement may be the optimal treatment. This surgical method can replace a bone defect effectively during tumor removal and provide affected limb with sufficient functional performance and strength after surgery. Within a week after the surgery, functional exercises can be performed to avoid prolonged bed rest. If the pathological fracture is localized in the bone diaphysis, intramedullary osteosynthesis can be considered, since this method provides uniform tension and minor blood loss [32, 33]. Intramedullary osteosynthesis can also be used in the case when the tumor does not destroy strongly the bone tissue at the fracture site and the cortical bone is in good condition. The addition of bone cement to the site of a bone defect increases its stability and can destroy tumor cells and nerve endings in the lesion by increasing the temperature during the bone cement hardening. When the tumor destroys significantly the cortical bone at the fracture site or other methods of osteosynthesis are not effective, total joint replacement is preferred [34].
In our opinion, intramedullary osteosynthesis can prevent fractures of the proximal femur and femoral diaphysis. However, pathological fractures also occur in the greater or lesser trochanters of the bone, which is accompanied by severe damage to the cortical bone; in this case, arthroplasty should be used.
- Postoperative complications
Infection and endoprosthesis dislocation are the most common postoperative complications in the surgical treatment of metastases to long bones; these situations were identified in 10 out of 33 patients.
3.1. Infection
In this study, six patients underwent revision surgery due to postoperative infection of the endoprosthesis bed. At the same time, four patients underwent a two-staged revision athroplasty, and in two patients, after revision and debridment, a new endoprosthesis was immediately installed. There were no cases of amputation.
The most serious complication of oncological arthroplasty is postoperative infection. Infection can cause pain, severe joint function limitation, and, if not treated properly, can lead to limb amputation [37]. The probability of amputation due to suppuration has been reported to be 19–47% [38, 39]. It should be noted that the surgery is performed in a laminar flow operating room, bone cement with antibiotics is used, and patients take antibiotics before and after the surgery to prevent infection. However, postoperative infection is still a major concern for orthopedic oncologists. Literature data indicate that revision surgery enables to control the infection in most cases [37, 40]. Efficiency of revision surgeries in terms of stopping the infection can reach 70% [40].
Based on our experience and literature data, it can be assumed that postoperative infections leading to revision surgery may be associated with the following factors:
– adjuvant therapy reduces the patient’s autoimmune resistance;
– intraoperative aseptic treatment is not performed carefully enough, which leads directly to intraoperative contamination;
– the tumor widely invades, and as a result, the local soft tissues become thin after resection of the tumor site, the ability to absorb exudate and combat infection decreases, and there is a predisposition to postoperative infection;
– poor drainage of the wound after surgery can lead to accumulation of fluid and blood;
– after the surgery, the surrounding soft tissues are not adjacent to the prosthesis, so a cavity can form around it, where fluid accumulates easily and infection develops;
– between the body and the prosthesis, a rejection reaction occurs, which manifests itself in the form of exudation of a brown liquid, while at first there is no growth of bacteria, however, a large amount of exudate over a long period of time creates conditions for the growth of bacteria, and repeated dressings can easily induce the wound contamination;
– soft tissues do not close the wound well; after an extensive marginal tissue resection, wound closing with tissues is often complicated, poor healing of the incision and even necrosis of the skin edge are noted, which can lead to secondary infection.
3.2. Dislocation
Dislocation is a serious complication after total hip replacement and usually requires revision surgery. According to the literature, the incidence of dislocations after shoulder joint replacement is 12% to 54.5% [41]. Research by C.U. Gwam et al. showed that joint dislocation after hip arthroplasty is the main cause for revision surgery (17.3%) and is more common than infection and aseptic instability [42].
In our study, four patients underwent revision surgery for dislocation. In two patients, dislocation occurred 15 and 45 days after total joint replacement of the shoulder joint, unipolar (anatomical) endoprosthesis replacement was performed in one patient, and reverse arthroplasty was performed in the other patient. In two more patients, dislocation occurred after hip arthroplasty on the days 3 and 35 after surgery. All patients underwent surgical intervention in the scope of the revision with reduction of the dislocation. Various types of reconstruction and grafting were used to prevent repeated dislocations.
As a rule, dislocation after oncological arthroplasty is associated with massive removal of the soft tissues surrounding the tumor and the entire ligamentous apparatus. Surgical prevention of dislocations includes the restoration of tendon fixation points and the use of various types of plasty by biosynthetic materials.
- Other factors
One patient underwent joint replacement for breast cancer with metastases to the femur in combination with pathological fractures; 19 months after the surgery, she was hospitalized again with a fracture due to an accidental fall, while the X-ray showed implants failure. This patient underwent revision joint replacement.
Study limitations
This study was a single-center, represented a retrospective analysis, and had a limited data sample size. Multicenter prospective studies are required to clarify the factors leading to revision surgery in long bone metastases.
CONCLUSION
The study showed that the main causes of revision surgery in patients with bone metastases were insufficiently accurate preoperative diagnostics, associated errors in the choice of surgical intervention options, as well as postoperative complications.
In our opinion, for the effective treatment of patients with metastases in long bones, a multidisciplinary approach is required with the development of treatment approach at a case conference with the participation of chemotherapists, radiologists, and orthopedic oncologists, as well as using specialized scales of oncological prognosis. The surgical team should have experience in working with cancer patients. This will increase the probability of success of the surgery, restore the function of the affected limb, improve the quality of life of patients, and reduce the risk of revision surgery.
DISCLAIMERS
Author contribution
Wang J. — сoncept and research design, collection and statistical processing of data, writing text.
Kharchenko N.V. — research concept and design.
Zapirov G.M. — collection and analysis of materials, editing text.
Kaprin A.D. — research concept and design.
Bucharov A.V. — сoncept and research design, writing text, text editing.
Derzhavin V.A. — collection and analysis of materials, text preparation and editing.
Yadrina A.V — collection and analysis of materials, text preparation and editing.
All authors read and approved the final version of the manuscript in the article. All authors agree to be responsible for all aspects of the work to ensure proper consideration and resolution of all possible issues related to the correctness and reliability of any part of the work.
Funding source. This study was not supported by any external sources of funding.
Competing interests. The authors declare that they have no competing interests.
Ethics approval. Not applicable.
Consent for publication. Not required.
About the authors
Jun Wang
RUDN University
Author for correspondence.
Email: kbcbwb2000@163.com
ORCID iD: 0000-0001-5625-0509
China, Moscow
Natalya V. Kharchenko
RUDN University
Email: docsemi@yandex.ru
ORCID iD: 0000-0002-5352-492X
Dr. Sci. (Med.)
Russian Federation, MoscowGadzhimurad M. Zapirov
RUDN University
Email: zapirov@mail.ru
ORCID iD: 0000-0001-7154-3326
Cand. Sci. (Med.)
Russian Federation, MoscowAndrey D. Kaprin
RUDN University; P.A. Herzen Moscow Research Institute of Oncology — Branch of National Medical Research Center of Radiology
Email: kaprin@mail.ru
ORCID iD: 0000-0001-8784-8415
Dr. Sci. (Med.), Professor
Russian Federation, Moscow; MoscowArtem V. Bukharov
P.A. Herzen Moscow Research Institute of Oncology — Branch of National Medical Research Center of Radiology
Email: artembuharov@mail.ru
ORCID iD: 0000-0002-2976-8895
Dr. Sci. (Med.)
Russian Federation, MoscowVitalii A. Derzhavin
P.A. Herzen Moscow Research Institute of Oncology — Branch of National Medical Research Center of Radiology
Email: osteosa@yandex.ru
ORCID iD: 0000-0002-4385-9048
Cand. Sci. (Med.)
Russian Federation, MoscowAnna V. Yadrina
P.A. Herzen Moscow Research Institute of Oncology — Branch of National Medical Research Center of Radiology
Email: anna_16.06@mail.ru
ORCID iD: 0000-0002-7944-3108
Cand. Sci. (Med.)
Russian Federation, MoscowReferences
- Davila D., Antoniou A., Chaudhry M.A. Evaluation of osseous metastasis in bone scintigraphy. Semin Nucl Med. 2015;45(1):3-15. doi: 10.1053/j.semnuclmed.2014.07.004.
- Ван Ц., Харченко Н.В. Сравнительный анализ хирургических вмешательств в лечении пациентов с метастатическим поражением бедренной кости в сочетании с патологическими переломами. Вестник РУДН. Серия: Медицина. 2020;24(3):237-244. doi: 10.22363/2313-0245-2020-24-3-237-244.
- Wang J., Kharchenko N.V. [Comparative analysis of surgical interventions in the treatment of patients with metastatic lesions of the femur in combination with pathological fractures]. Vestnik RUDN. Seriya: Meditsina [RUDN Journal of Medicine]. 2020;24(3):237-244. (In Russian). doi: 10.22363/2313-0245-2020-24-3-237-244.
- Soeharno H., Povegliano L., Choong P.F. Multimodal Treatment of Bone Metastasis — A Surgical Perspective. Front Endocrinol (Lausanne). 2018:9:518. doi: 10.3389/fendo.2018.00518.
- Miller B.J., Gao Y., Duchman K.R. Does surgery or radiation provide the best overall survival in Ewing’s sarcoma? A review of the National Cancer Data Base. J Surg Oncol. 2017;116(3):384-390. doi: 10.1002/jso.24652.
- Zubrod C.G., Schneiderman M.A., Frei III E., Brindley C., Gold G.L., Shnider B. et al. Appraisal of methods for the study of chemotherapy of cancer in man: Comparative therapeutic trial of nitrogen mustard and triethylene thiophosphoramide. J Chronic Dis. 1960;11:7-33.
- Di Martino A., Martinelli N., Loppini M., Piccioli A., Denaro V. Is endoprosthesis safer than internal fixation for metastatic disease of the proximal femur? A systematic review. Injury. 2017;48 Suppl 3:S48-S54. doi: 10.1016/S0020-1383(17)30658-7.
- Schmid-Alliana A., Schmid-Antomarchi H., Al-Sahlanee R., Lagadec P., Scimeca J.C., Verron E. Understanding the Progression of Bone Metastases to Identify Novel Therapeutic Targets. Int J Mol Sci. 2018;19(1):148. doi: 10.3390/ijms19010148.
- Микайлов И.М., Тихилов Р.М., Пташников Д.А., Денисов А.А., Григорьев П.В. Долгосрочные результаты эндопротезирования тазобедренного сустава у пациентов с опухолевым поражением проксимального отдела бедренной кости. Травматология и ортопедия России. 2020;26(1):11-20. doi: 10.21823/2311-2905-2020-26-1-11-20.
- Mikailov I.M., Tikhilov R.M., Ptashnikov D.A., Denisov A.A., Grigoriev P.V. [The Long-Term Results of Hip Arthroplasty in Patients with Proximal Femur Tumors]. Travmatologiya i ortopediya Rossii [Traumatology and Orthopedics of Russia]. 2020;26(1):11-20. (In Russian). doi: 10.21823/2311-2905-2020-26-1-11-20.
- Тепляков В.В., Шапошников А.А., Сергеев П.С., Ахов А.О., Ли Я.А., Лазукин А.В. и др. Частота востребованности хирургического компонента в комплексном лечении метастатического поражения костей. Саркомы костей, мягких тканей и опухоли кожи. 2016;(1):16-28.
- Teplyakov V.V., Shaposhnikov A.A., Sergeev P.S, Akhov A.O., Li Y.A., Lazukin A.V. et al. [Demand of surgical component in complex treatment metastatic bone disease]. Sarkomy kostey, myagkikh tkaney i opukholi kozhi [Bone and soft tissue sarcomas, tumors of the skin]. 2016;(1):16-28. (In Russian).
- Hara H., Sakai Y., Kawamoto T., Fukase N., Kawakami Y., Takemori T. et al. Surgical outcomes of metastatic bone tumors in the extremities (Surgical outcomes of bone metastases). J Bone Oncol. 2021;27:100352. doi: 10.1016/j.jbo.2021.100352.
- Bonnevialle P., Baron-Trocellier T., Niglis L., Ghazi A., Descamps J., Lebaron M. et al. Functional results and survival after surgery for peripheral skeletal metastasis: A 434-case multicenter retrospective series. Orthop Traumatol Surg Res. 2020; 106(6):997-1003. doi: 10.1016/j.otsr.2019.10.024.
- Jehn C.F., Diel I.J., Overkamp F., Kurth A., Schaefer R., Miller K. et al. Management of Metastatic Bone Disease Algorithms for Diagnostics and Treatment. Anticancer Res. 2016;36(6):2631-2637.
- Sun T., Guo Ch., Qi D., Hu T., Zhao M., Zhou Z. et al. Clinical analysis of fracture related femoral metastatic tumors. Chin J Geriatr Orthop Rehabil (Electronic Edition). 2017;3(3):136-142. Available from: https://caod.oriprobe.com/articles/52799885/Clinical_analysis_of_fracture_related_femoral_meta.htm.
- Tang X.D., Guo W., Yang R.L. Diagnosis of bone metastasis from unknown origin. Orthop J China. 2009;17(1):7-10. Available from: https://caod.oriprobe.com/order.htm?id=15834866&ftext=base
- Florencio-Silva R., Sasso G.R., Sasso-Cerri E., Simões M.J., Cerri P.S. Biology of Bone Tissue: Structure, Function, and Factors That Influence Bone Cells. Biomed Res Int. 2015; 2015:421746. doi: 10.1155/2015/421746.
- Fornetti J., Welm A.L., Stewart S.A. Understanding the Bone in Cancer Metastasis. J Bone Miner Res. 2018; 33(12):2099-2113. doi: 10.1002/jbmr.3618.
- Chappard D., Bouvard B., Baslé M.F., Legrand E., Audran M. Bone metastasis: histological changes and pathophysiological mechanisms in osteolytic or osteosclerotic localizations. A review. Morphologie. 2011;95(309):65-75. doi: 10.1016/j.morpho.2011.02.004.
- Arnett T.R. Acidosis, hypoxia and bone. Arch Biochem Biophys. 2010;503(1):103-109. doi: 10.1016/j.abb.2010.07.021.
- Бухаров А.В, Державин В.А, Голубев П.В., Ядрина А.В. Лечение пациентов с метастатическим поражением длинных костей. Хирургия. Журнал им. Н.И. Пирогова. 2021;(5):89-94. doi: 10.17116/hirurgia202105189.
- Bukharov A.V., Derzhavin V.A., Golubev P.V., Yadrina A.V. [Treatment of patients with metastatic lesions of the long bones]. Khirurgiya. Zhurnal im. N.I. Pirogova [Pirogov Russian Journal of Surgery]. 2021;(5):89-94. (In Russian). doi: 10.17116/hirurgia202105189.
- Ratasvuori M., Wedin R., Hansen B.H., Keller J., Trovik C., Zaikova O. et al. Prognostic role of en-bloc resection and late onset of bone metastasis in patients with bone-seeking carcinomas of the kidney, breast, lung, and prostate: SSG study on 672 operated skeletal metastases. J Surg Oncol. 2014;110(4):360-365. doi: 10.1002/jso.23654.
- Ван Ц., Харченко Н.В., Карпенко В.Ю. Анализ факторов послеоперационного прогноза у пациентов с метастатическим поражением длинных трубчатых костей. Казанский медицинский журнал. 2020;101(5):685-690. doi: 10.17816/KMJ2020-685.
- Wang J. Kharchenko N.V. Karpenko V.Y. [Analysis of postoperative prognostic factors in patients with long bones metastatic lesions]. Kazanskiy meditsinskiy zhurnal [Kazan Medical Journal]. 2020;101(5):685-690. (In Russian). doi: 10.17816/KMJ2020-685.
- Hansen B.H., Keller J., Laitinen M., Berg P., Skjeldal S., Trovik C. et al. The Scandinavian Sarcoma Group Skeletal Metastasis Register. Survival after surgery for bone metastases in the pelvis and extremities. Acta Orthop Scand Suppl. 2004;75(311):11-15. doi: 10.1080/00016470410001708270.
- Kong P., Yan J., Liu D., Ji Y., Wang Y., Zhuang J. et al. Skeletal-related events and overall survival of patients with bone metastasis from nonsmall cell lung cancer-A retrospective analysis.Medicine (Baltimore). 2017;96(51):e9327. doi: 10.1097/MD.0000000000009327.
- Zhao C., Wang Y., Cai X., Xu W., Wang D., Wang T. et al. Prognostic Significance of a Novel Score Model Based on Preoperative Indicators in Patients with Breast Cancer Spine Metastases (BCSM). Cancer Manag Res. 2020;12:11501-11513. doi: 10.2147/CMAR.S273785.
- Ahmed A.K., Goodwin C.R., Heravi A., Kim R., Abu-Bonsrah N., Sankey E. et al. Predicting survival for metastatic spine disease: a comparison of nine scoring systems. Spine J. 2018;18(10):1804-1814. doi: 10.1016/j.spinee.2018.03.011.
- Wibmer C., Leithner A., Hofmann G., Clar H., Kapitan M., Berghold A. et al. Survival analysis of 254 patients after manifestation of spinal metastases: evaluation of seven preoperative scoring systems. Spine (Phila Pa 1976). 2011;36(23):1977-1986. doi: 10.1097/BRS.0b013e3182011f84.
- Katagiri H., Okada R., Takahashi M., Takahashi M., Murata H., Harada H. et al. New prognostic factors and scoring system for patients with skeletal metastasis. Cancer Med. 2014;3(5):1359-1367. doi: 10.1002/cam4.292.
- Deng Z.-P., Zhao H.T., Sun Y., Jin T., Ding Y., Niu X.-H. et al. [Result analysis of percutaneous core needle biopsy for bone tumors in upper limbs with pathological fracture]. Zhongguo Gu Shang. 2021;34(6):527-530. doi: 10.12200/j.issn.1003-0034.2021.06.009. (In Chinese).
- Anract P., Biau D., Boudou-Rouquette P. Metastatic fractures of long limb bones. Orthop Traumatol Surg Res. 2017;103(1S):S41-S51. doi: 10.1016/j.otsr.2016.11.001.
- Errani C., Mavrogenis A.F., Cevolani L., Spinelli S., Piccioli A., Maccauro G. et al. Treatment for long bone metastases based on a systematic literature review. Eur J Orthop Surg Traumatol. 2017;27(2):205-211. doi: 10.1007/s00590-016-1857-9.
- Mirels H. Metastatic disease in long bones. A proposed scoring system for diagnosing impending pathologic fractures. Clin Orthop Relat Res.1989;(249): 256-264.
- Forsberg J.A., Wedin R., Bauer H. Which implant is best after failed treatment for pathologic femur fractures? Clin Orthop Relat Res. 2013;471(3):735-740. doi: 10.1007/s11999-012-2558-2.
- Salunke A.A., Chen Y., Tan J.H., Chen X., Khin L.W., Puhaindran M.E. Does a pathological fracture affect the prognosis in patients with osteosarcoma of the extremities?: a systematic review and meta-analysis. Bone Joint J. 2014;96-B(10):1396-403. doi: 10.1302/0301-620X.96B10.34370.
- Funovics P.T., Bucher F., Toma C.D., Kotz R.I., Dominkus M. Treatment and outcome of parosteal osteosarcoma: biological versus endoprosthetic reconstruction. J Surg Oncol. 2011;103(8):782-789. doi: 10.1002/jso.21859.
- Ru J.Y., Chen L.X., Hu F.Y., Shi D., Xu R., Du J.-W. et al. Factors associated with development of re-nonunion after primary revision in femoral shaft nonunion subsequent to failed intramedullary nailing. J Orthop Surg Res. 2018; 13(1):180. doi: 10.1186/s13018-018-0886-y.
- Hong Y.F., Wu W.X. Clinical Analysis of Postoperative Complications of Interlocking Medullary Nail to Fracture 36 Cases. J Med Forum. 2005;(16):34-35. Available from: https://caod.oriprobe.com/order.htm?id=9945498&ftext=base.
- Ji T., Guo W., Yang R., Tang X. [Two-stage revision for prostheses infection in patients with bone tumor after knee prosthetic replacement]. Zhongguo Xiu Fu Chong Jian Wai Ke Za Zhi. 2012;26(1):21-25. (In Chinese).
- Shehadeh A., Noveau J., Malawer M., Henshaw R. Late complications and survival of endoprosthetic reconstruction after resection of bone tumors. Clin Orthop Relat Res. 2010;468(11):2885-2895. doi: 10.1007/s11999-010-1454-x.
- Macmull S., Bartlett W., Miles J., Blunn G.W., Pollock R.C., Carrington R.W.J. et al. Custom-made hinged spacers in revision knee surgery for patients with infection, bone loss and instability. Knee. 2010; 17(6):403-406. doi: 10.1016/j.knee.2009.11.004.
- Tang S., Guo W., Yang R.L. Retrospective study on the secondary amputation after the limb salvage surgery for bone tumor. Chinese J Bone Joint Surg. 2013;6(3):200-203+234. Available from: https://caod.oriprobe.com/articles/45325751/Retrospective_study_on_the_secondary_amputation_after_the_limb_salvage.htm.
- Tang X., Guo W., Yang R., Tang S., Ji T. Synthetic mesh improves shoulder function after intraarticular resection and prosthetic replacement of proximal humerus. Clin Orthop Relat Res. 2015;473(4):1464-1471. doi: 10.1007/s11999-015-4139-7.
- Gwam C.U., Mistry J.B., Mohamed N.S., Thomas M., Bigart K.C., Mont M.A. et al. Current Epidemiology of Revision Total Hip Arthroplasty in the United States: National Inpatient Sample 2009 to 2013. J Arthroplasty. 2017;32(7):2088-2092. doi: 10.1016/j.arth.2017.02.046.
Supplementary files





