Effect of lattice structures on the antibiotic release from bone cement: in vitro study
- Authors: Shafigulin R.A.1,2,3, Galyautdinova A.E.1, Kharin N.V.1, Bespalov I.A.1, Valeeva I.K.2, Boichuk S.V.1,2, Akhtyamov I.F.1,2,3, Sachenkov O.A.1
-
Affiliations:
- Kazan Federal (Volga Region) State University
- Kazan State Medical University
- Republican Clinical Hospital
- Issue: Vol 31, No 2 (2025)
- Pages: 120-131
- Section: Theoretical and experimental studies
- Submitted: 09.02.2025
- Accepted: 10.04.2025
- Published: 11.06.2025
- URL: https://journal.rniito.org/jour/article/view/17670
- DOI: https://doi.org/10.17816/2311-2905-17670
- ID: 17670
Cite item
Full Text
Abstract
Background. Local therapy aimed to suppress infection of the osteoarticular apparatus is based on the use of coated spacers. As a rule, the coating surfaces are composed of bone cement supplemented with bioactive substances, e.g., antibiotics. However, current approaches aimed to stimulate the release of antibiotics from bone cement are not always effective and may even decrease their properties and biological activities.
The aim of the study — to examine the effect of the lattice structures of base implants on the dynamics and amount of antibiotics released from bone cement in vitro.
Methods. A novel type of implants with a lattice structure and traditional reinforced spacer filled with bone cement and antibiotic were used in present study. The release of vancomycin and cefazolin was measured spectrophotometrically for up to 30 days. Calibration curves were made according to the regression lines based on the values of the stock solutions with the well-known concentrations of the antibiotics.
Results. For all tested samples, the elution profile of antibiotics was determined and illustrated the significant release of the drugs during the initial time-period followed by the decrease (day 7) and reaching a uniform elution plateau (day 15). In all samples, the amount of released antibiotic did not exceed 1% of total amount of the drug present in the implant. Notably, the higher release of the antibiotics was found for the samples with lattice structure when compared with control group, despite the relatively higher initial amount of bone cement and antibiotics in control samples. A difference in the amount of antibiotics was also detected between the tested samples of two types of lattice structures.
Conclusion. The lattice structure of the implants increases the amount of antibiotic release from the bone cement and also facilitates the antibiotic dynamics release when compared to the traditional bone cement used as the reinforced spacers.
Full Text
Введение
Глубокая инфекция после оперативных вмешательств с установкой различных имплантатов у пациентов с заболеваниями и травмами опорно-двигательного аппарата является одним из грозных осложнений. На сегодняшний день одним из вариантов купирования осложнения является двухэтапное ревизионное хирургическое вмешательство, когда изначально, после удаления инфицированной конструкции, устанавливается временный спейсер из костного цемента с лекарственным веществом (чаще всего c антибиотиком) для локальной терапии [1, 2, 3].
На наш взгляд, на сегодняшний день сформирована парадигма улучшения элюции антибиотиков (АБ) из костного цемента (КЦ), заключающаяся, как правило, в работе с самим полиметилметакрилатом: коррекция состава, формы конечного изделия, выбор марки КЦ и добавляемых в него антибактериальных препаратов. Одной из причин ограниченности внедрения описанных способов улучшения элюции АБ из КЦ является снижение физико-механических и эксплуатационных свойств КЦ [4].
Увеличения площади поверхности КЦ, его пористости и соответственно выхода антибиотика можно добиться путем индивидуализированного проектирования. Новым подходом к улучшению элюции антибиотиков из КЦ могут стать изменения в структуре базовых для спейсеров имплантатов. Значительным потенциалом обладают метаматериалы, которые могут составить часть базового имплантата в виде решетчатой структуры. Решетчатый фрагмент наполняют лекарственным композиционным составом, что позволит поверхностно разместить КЦ с погружением основной массы внутрь изделия, увеличив эффективную площадь контакта с окружающей средой и отдачу АБ при сохранении прочностных свойств спейсера. Геометрия решетки может быть подобрана с условием сохранения физико-механических и эксплуатационных свойств спейсера. Однако вопрос элюции антибиотика в таких конструкциях требует изучения [4].
В работе A.-F. Obaton с соавторами представлены результаты развития костной ткани внутри и вокруг решетчатых имплантатов. Авторы отмечают, что на рост кости влияет не только материал, но и микроструктура, позволяющая биологической ткани закрепиться на внутренней и внешней частях имплантата [5].
Аддитивные технологии позволили производить имплантаты, обладающие нерегулярной структурой [6, 7], которая позволяет создавать индивидуализированные изделия с учетом особенностей пациента [8]. Кроме того, при правильном проектировании изделий, обладающих нерегулярной структурой, можно добиться уменьшения веса конструкции при сохранении прочностных свойств. Неоднородные изделия, произведенные при помощи аддитивных технологий, биосовместимы, стерилизуемы, а в ряде случаев и биоразлагаемы [9, 10]. Для производства имплантатов чаще используется технология SLM-печати, так как она позволяет изготавливать их с высокой точностью в отношении спроектированной геометрии и с необходимой детализацией. Именно эта технология печати позволяет изготавливать имплантаты с решетчатой структурой, которая улучшает остеоинтеграцию [11, 12].
Для перехода к персонализированной медицине необходимо осуществлять сканирование органов, которые в дальнейшем будут заменяться. Одним из методов получения цифрового двойника органа является компьютерная томография (КТ). Решение позволяет проводить численные расчеты для оценки напряженно-деформированного состояния имплантатов и костного органа [13, 14].
На практике применяют два метода проектирования решетчатых конструкций, изготавливаемых с помощью аддитивных технологий. Первый метод — использование в ходе проектирования элементарных ячеек, они же — базовые элементы, которые заполняют объем изделия [15, 16]. Вторым методом является использование топологической или структурной оптимизации. N. Kladovasilakis с соавторами исследовали методы оптимизации тазобедренных имплантатов, которые позволили обеспечить их 50% пористость с достижением прочностных характеристик [17].
Таким образом, использование базовых имплантатов на основе решетчатых структур могло бы улучшить элюцию АБ из КЦ, минимально вмешиваясь в параметры, заданные изготовителем. Тем самым можно сформировать метаматериал, свойства которого обусловлены не только входящим в него лекарственным композитным составом, но и решетчатой структурой. Однако учитывая тот факт, что работы по данному вопросу единичны, данная гипотеза требует подтверждения.
Немаловажным является утилитарный аспект применения имплантатов на основе решетчатых структур. Они могут выступать в роли преформированной базы с заранее заданными параметрами, что позволит нивелировать элемент кустарного интраоперационного изготовления имплантатов-спейсеров.
Цель исследования — в эксперименте in vitro изучить влияние решетчатой структуры базовых имплантатов на динамику и количество элюции антибиотиков из костного цемента.
Материал и методы
Исследуемые структуры
В качестве базы для костного цемента с антибиотиком были выбраны решетчатые структуры, которые являются фрагментами предполагаемого имплантата, и контрольный образец — сплошной стержень с мантией из КЦ.
Первый вид структуры представляет собой внутренний стержень диаметром 6 мм и слой внешних ребер под углом в 45º, общий внешний диаметр образца составляет 12 мм, для обозначения был выбран шифр V2 (рис. 1 a). Второй вид структуры подобен вышеописанному, но с добавлением в нее вертикальных ребер решетки, для обозначения был выбран шифр V3 (рис. 1 b). В качестве третьей структуры избран контрольный образец, который представляет собой цилиндр с внешним диаметром 8 мм, для обозначения был выбран шифр С (рис. 1 с). Подробные характеристики структур приведены в таблице 1.
Рис. 1. Виды исследуемых образцов: а — образец структуры V2; b — образец структуры V3; c — образец структуры C
Figure 1. Types of studied samples: a — sample of structure V2; b — sample of structure V3; c — sample of structure C
Таблица 1
Геометрические параметры исследуемых структур
Образец | Диаметр, мм | Длина, мм | Диаметр стержня, мм | Диметр ребра, мм | Пористость, % | Объем цемента, мм3 | Площадь поверхности, мм2 |
V2 | 12 | 60 | 6 | 1 | 61,9 | 3702 | 2261 |
V3 | 12 | 60 | 6 | 1 | 57 | 3425 | 2261 |
C | 8 | 60 | – | – | 0 | 3769 | 2261 |
Для исследования каждого из двух видов антибиотика были изготовлены по 4 образца каждой структуры. Образцы выполнены методом лазерной стереолитографии. Толщина слоя печати составляла 0,01 мм, время полимеризации слоя — 2 сек. После изготовления образцы подвергались постполимеризации ультрафиолетом в течение 10 мин. Для производства образцов был выбран фотополимерный принтер ANYCUBIC Photon Mono X (Китай) с фотополимерной смолой Anycubic Colored UV Resin V2 (Китай). Использованный материал не применяется на людях и выбран для проверки гипотезы о влиянии структуры на элюцию. Основные характеристики фотополимерной смолы отображены в таблице 1П, которая будет опубликована как дополнительный материал в электронной версии на сайте журнала.
Подготовка образцов
В исследовании использовался КЦ Synicem 1 (Франция). Исследовались два вида антибиотиков: ванкомицин и цефазолин. Выбор АБ был обусловлен их коммерческой доступностью, термостабильностью, широким применением в клинической практике, а также различающимися молярными массами. Сухое вещество КЦ и АБ смешивались вручную до гомогенного состояния. Состав для нанесения на структуры готовился вручную: к смеси 4 г сухого костного цемента и 0,2 г антибиотика добавлялось 2 мл мономера, после чего данная субстанция замешивалась до гомогенного пластичного состояния. Смесь наносилась на испытуемые структуры с использованием одноразмерных форм. Готовые образцы представлены на рисунке 2.
Рис. 2. Итоговый вид изготовленных образцов: a — образец структуры V2; b — образец структуры V3 ; c — контрольный образец структуры С
Figure 2. The final appearance of the manufactured samples: a — sample of structure V2; b — sample of structure V3; c — control sample of structure C
Решетчатые структуры покрывались КЦ так, чтобы он не выступал за торцы образца. Внешний диаметр всех образцов составлял 12 мм. Каждый образец помещался в пробирку Falcon, заполненную 30 мл фосфатно-солевого буферного раствора Дульбекко (DPBS) без Ca2+ и Mg2+ при температуре 37°C. Образцы были погружены, чтобы обеспечить полный контакт с DPBS.
Элюция антибиотиков
Количественное определение АБ в растворах осуществляли с помощью спектрофотометрического метода на спектрофотометре BioMate 3S UV-Visible (США), позволяющем получить зависимости оптической плотности растворов от концентрации антибиотиков, имеющем следующие характеристики: диапазон длин волн 190–1100 нм, ширина спектральной полосы 1,8 нм, погрешность длины волны 1 нм. Измерения производились в диапазоне волн от 190 до 230 нм. Для полученных спектров оценивался пик измерений, соответствующий антибиотику: ванкомицин — 280 нм, цефазолин — 272 нм.
С целью калибровки спектрофотометра для конкретного антибиотика была проведена серия измерений, направленных на установление зависимости между концентрацией антибиотика и соответствующими показаниями прибора, а также определение величин зашкаливания. Расчетные концентрации для построения калибровочных кривых и определения величин зашкаливаний для цефазолина и ванкомицина приведены в таблицах 2П и 3П дополнительных материалов.
Для измерения АБ из пробирки извлекалось 1000 мкл исследуемого раствора и помещалось в кювету. Суспензия в кювете разбавлялась в зависимости от величины зашкаливания. Соотношения разведения суспензии в кювете были следующие: 1:5; 1:10; 1:20; 1:40; 1:60; 1:80; 1:100. Если суспензия не разбавлялась в кювете, то суспензию возвращали в пробирку. В случае разбавления суспензии в кювете суспензия выливалась.
Для построения калибровочных кривых строилась регрессионная прямая по данным, полученным из калибровочных растворов (КР). На основании закона Бугера – Ламберта – Бера использовалась линейная зависимость. Для нахождения коэффициента линейной зависимости k использовался метод наименьших квадратов.
Таким образом, в экспериментальных образцах концентрация может быть определена по формуле:
где p — значение спектрофотометра во взятой пробе, k — коэффициент регрессии, с — коэффициент, связанный с разбавлением пробы в кювете.
Статистическая обработка результатов
Все полученные результаты проверялись на нормальность распределения с использованием теста Харке – Бера. В случае если выборки имели нормальное распределение, для оценки достоверности различий между ними использовался парный t-критерий Стьюдента. Если же распределение не было нормальным, то применялся непараметрический критерий Манна – Уитни. Уровень значимости был установлен на p<0,05. Для нормальных данных результаты представлялись как среднее значение и стандартная ошибка среднего, в случае ненормальных — медиана (Ме) [Q1-Q3].
Для регрессионной линии строился доверительный интервал с уровнем значимости в 95% (95% ДИ), для этого использовалось t-распределе-ние Стьюдента. Для оценки качества полученной линейной регрессии рассчитывался коэффициент детерминации (R2).
Измерение кинетики элюции антибиотиков
Измерения элюции АБ осуществляли через 1, 3, 7, 15 и 29 дней.
Определяли общее количество АБ в элюате в каждой точке измерения согласно описанному ранее расписанию. Тогда для каждого дня можно оценить концентрацию по следующей формуле:
где p — значение спектрофотометра во взятой пробе в заданный день, k — коэффициент регрессии, с — коэффициент, связанный с разбавлением пробы в кювете, d — длительность экспозиции в днях.
Здесь стоит отметить, что коэффициент, связанный с разбавлением пробы в кювете, также зависел от дня измерения. Это связано с тем, что концентрация со временем возрастала.
Для определения кинетики антибиотика использовалась производная по времени, тогда скорость высвобождения антибиотика можно определить по формуле:
где di– длительность экспозиции i-й съемки.
Вычисление массы выделенного антибиотика при заданной длительности экспозиции (d) осуществлялось умножением соответствующей концентрации антибиотика в пробе на общий объем в фальконе V:
ma(d) = Са(d) · V.
Результаты
Анализ пиков для спектров поглощения АБ показал, что длина волны составляла для ванкомицина 271–280 нм, а для цефазолина — 271–294 нм, что соответствует данным фармакопеи препаратов.
Для двух видов АБ были определены коэффициенты регрессии и построены соответствующие кривые. Значение регрессионного коэффициента k для цефазолина составило 2748,8, а для ванкомицина — 405,9. Линейные зависимости для обоих антибиотиков показали высокий коэффициент детерминации (R2≥0,986).
Полученные значения элюции для структур V2 и V3 были выше, чем для контрольного образца при всех длительностях экспозиции для обоих видов антибиотиков (рис. 3). При проверке нормальности распределения с использованием теста Харке – Бера установлено, что распределение данных для всех выборок статистически не является нормальным. В связи с этим для оценки попарной достоверности различий между средними значениями различных типов структур применялся непараметрический критерий Манна – Уитни.
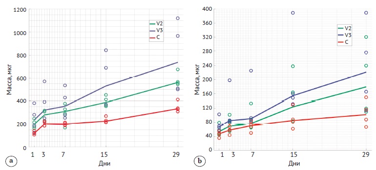
Рис. 3. Концентрация антибиотиков: а — цефазолин; b — ванкомицин; «*» — статистически значимое различие V2 и V3, «#» — V2 и C, «%» — V3 и C; уровень значимости p<0,05
Figure 3. Concentration of antibiotics: a — cefazolin; b — vancomycin; “*” — statistically significant difference between V2 and V3, “#” — V2 and C, “%” — V3 and C; (p<0.05)
Рассчитанные значения концентрации цефазолина для пары V2 и С были статистически значимо различимыми на 1-е, 3-и, 15-е и 29-е сут., для пар V3 и C — на 7-е и 29-е сут. Несмотря на различия в абсолютных значениях элюции антибиотиков между структурами V3 и V2, статистическая значимость не была достигнута ни в одной из временных точек наблюдения. Данный факт объясняется большим разбросом значений элюции в группе V3, что нивелировало межгрупповые различия. В случае ванкомицина статически значимые различия (p<0,05) наблюдались только для пары V3 и C на 1-е, 3-и и 15-е сут.
При анализе скорости высвобождения АБ картина была схожа для обоих видов АБ. По средним показаниям структура V3 показывала большую скорость высвобождения. Структура V2 имела меньшее среднее значение скорости высвобождения, чем структура V3, но и меньший разброс в показаниях. Контрольный образец C по двум видам антибиотика показывал наименьшую скорость высвобождения антибиотика и наименьший разброс (рис. 4).
Рис. 4. Кинетика антибиотика: а — цефазолин; b — ванкомицин
Figure 4. Antibiotic kinetics: a — cefazolin; b — vancomycin
Отдельно была показана общая масса выделенного АБ (рис. 5). Структура V2 показала наибольшее высвобождение АБ по сравнению с контролем. Абсолютное среднее количество выделенного цефазолина из образцов V2 превышало контрольные значения на 65%, а ванкомицина — на 97%. Для структуры V3 высвобождение цефазолина составило 122% от контрольного уровня, ванкомицина — 136%.
Рис. 5. Масса выделенного антибиотика: а — цефазолин; b — ванкомицин
Figure 5. Mass of isolated antibiotic: a — cefazolin; b — vancomycin
В результате эксперимента были получены изменения массы выделенного АБ в зависимости от времени. Результаты для цефазолина и ванкомицина приведены в таблице 4П дополнительных материалов.
Для сравнения образцов с разной структурой был введен коэффициент, представляющий отношение свободной поверхности образца к объему заполняемого КЦ с АБ (см. табл. 1). Этот параметр позволяет учитывать геометрические особенности каждой структуры при оценке эффективности высвобождения АБ. Кроме того, для количественной оценки процесса элюции рассчитывалось процентное отношение выделенного АБ к начальному содержанию, что позволяло сравнивать эффективность элюции между различными структурами (табл. 2).
Таблица 2
Сравнение геометрических параметров и эффективности элюции антибиотиков за весь срок
Структура | Соотношение площадь/объем | Процентное содержание выделенного цефазолина | Процентное содержание выделенного ванкомицина |
V2 | 0,61 | ||
V3 | 0,66 | ||
C | 0,6 |
По результатам данного исследования можно сказать, что введенный коэффициент, суть которого отношение свободной поверхности образца к объему КЦ, показывает зависимость с выделяемым количеством АБ.
Обсуждение
Исследование было проведено с целью оценки влияния решетчатой структуры предполагаемых имплантатов на элюцию АБ из КЦ.
Во всех исследованных образцах наблюдался характерный для КЦ профиль элюции антибиотика: наибольшая скорость высвобождения приходилась на первые дни эксперимента, затем к 7-му дню она заметно снижалась и выходила на стабильное плато к 15-му дню, что согласуется с данными аналогичных исследований [3, 18, 19, 20, 21]. При этом общее количество высвобожденного антибиотика во всех образцах не превышало 1% от массы исходно введенного препарата.
Однако стоит отметить существующую разницу между контрольными и исследуемыми образцами (V2 и V3) в количестве выделенных АБ. Так, в образцах V2 и V3, имеющих решетчатую структуру, количество выделенных АБ было выше, чем в контрольной группе, несмотря на больший объем КЦ и соответственно АБ в контрольной группе (см. табл. 1). Несмотря на отсутствие статистической разницы в количестве выделенных АБ при сравнении образцов V2 и V3, в абсолютных величинах образцы V2 и V3 выделяли антибиотик по-разному. На наш взгляд, различия в элюции цефазолина и ванкомицина, несмотря на их одинаковую концентрацию (5%) в КЦ, опосредованы их молярными массами. Так, более «легкий» цефазолин с молярной массой 476,49 г/моль выделяется больше, чем ванкомицин с молярной массой 1485,7 г/моль.
Мы не можем точно объяснить большой разброс показаний в группе V3. Возможно, одним из факторов, повлиявших на данный процесс, является повышенное случайное трещинообразование в образце V3. Однако, на наш взгляд, если принимать во внимание данное утверждение, необходимо учитывать и показания в группе V2. В образцах V2, имеющих решетчатую структуру, которая отличается меньшим количеством ребер, чем у образца V3, мы можем отметить совершенно другой, более равномерный разброс показателей, что косвенно может показывать отсутствие корреляции между решетчатыми структурами и случайным трещинообразованием, при наличии которого мы получили бы менее равномерный разброс показаний элюции образцов V2.
По данным литературы, основная часть АБ элюируют из микропор и трещин на КЦ [22, 23, 24, 25, 26], что соотносится с результатами проведенного исследования. Увеличение количества выделенного антибиотика, вероятно, объясняется разной пористостью, количеством и направлением ребер решетчатых структур, которые при контакте с КЦ создают дополнительные щели-трещины на границе КЦ — ребро имплантата, расширяя тем самым эффективную площадь и глубину омывания КЦ и соответственно повышая диффузию АБ в раствор по сравнению с традиционными образцами спейсеров. На наш взгляд, во время эксплуатации таких решетчатых структур за счет их внутренней геометрии и сложной архитектуры, возможно, происходит дополнительное растрескивание КЦ. Это растрескивание может быть обусловлено как механическими напряжениями, возникающими при нагрузке, так и внутренними процессами гидратации и усадки материала. Такое растрескивание, в свою очередь, может способствовать увеличению площади поверхности, контактирующей с окружающей средой, что приводит к более интенсивному высвобождению АБ из структуры. Это явление особенно важно в медицине, где контролируемое и продолжительное высвобождение активных веществ является ключевым фактором эффективности.
Стоит отметить, что в исследовании при нанесении КЦ на решетчатые образцы сама решетка также была покрыта тонким слоем КЦ. В связи с этим площадь свободной поверхности бралась для всех образцов одинаковая. Существует давно признанный факт, что высвобождение АБ происходит преимущественно с поверхности КЦ, и поэтому количество высвобожденного вещества можно оценить, рассчитав площадь этой поверхности [27, 28]. В нашем исследовании показано, что даже при одинаковой или меньшей площади свободной поверхности (в случаях, если некоторые решетки оказались не полностью покрыты), экспериментальные образцы демонстрировали большее выделение АБ при одинаковых концентрации АБ и объеме КЦ. Это может быть объяснено тем, что решетчатая структура создает дополнительные пути для диффузии АБ, а также способствует образованию микротрещин, которые увеличивают эффективную площадь высвобождения.
С другой стороны, можно высказать альтернативную версию механизма увеличения элюции АБ. Возможно, это является причиной перераспределения потоков диффузии в неоднородной среде, которая формируется решетчатой структурой. Это может быть связано с тем, что переменное сечение создает локальные зоны с разной площадью сечения, что влияет на скорость диффузии и распределение напряжений внутри структуры. В результате на этапе проектирования решетчатых структур возможно создание условий для более равномерного и продолжительного высвобождения АБ путем изменения пористости, направления ребер и их количества, что является важным преимуществом для медицинского применения.
Оба представленных механизма увеличения элюции антибиотиков (трещинообразование и перераспределение потоков диффузии) являются гипотезами авторов и нуждаются в отдельном исследовании.
Высвобождение антибиотика является поверхностным процессом и не зависит от общего объема КЦ [29, 30]. Это означает, что увеличение объема материала не приводит к пропорциональному увеличению количества высвобождаемого антибиотика. В данном исследовании это подтверждается тем, что даже при меньшем объеме материала в решетчатых структурах высвобождение антибиотика было более интенсивным по сравнению с контрольными образцами. Это подчеркивает важность оптимизации геометрии и структуры материала для достижения максимальной эффективности высвобождения активных веществ [31].
Таким образом, решетчатые структуры демонстрируют значительный потенциал для использования в медицинских устройствах, где требуется контролируемое и продолжительное высвобождение АБ.
Ограничения исследования
Как и любое исследование, проведенное in vitro, наше исследование имеет свои ограничения, так как было проведено в условиях, близких к идеальным, без учета свойств материала макетов (фотополимерная смола) и условий организма человека, что нужно учитывать при экстраполяции полученных данных для клинической практики.
Перспективы дальнейшего исследования
Дальнейшие исследования могут быть направлены на оптимизацию геометрии решеток, изучение влияния различных параметров (таких как размер ячеек, толщина стенок и состав материала) на процесс высвобождения, а также на разработку новых метаматериалов с улучшенными свойствами. Принимая во внимание гипотезу о формировании дополнительных трещин, способном влиять на прочностные характеристики исследуемых структур, актуальным вопросом, требующим дальнейшего изучения, является исследование прочностных характеристик предлагаемых имплантатов и их сравнение с применяемыми в настоящее время конструкциями.
Заключение
Решетчатая структура предполагаемых имплантатов способна влиять на профиль элюции антибиотика, статистически значимо (p<0,05) увеличивая их элюцию, что, в свою очередь, при дальнейшем исследовании позволяет обозначить новый путь решения проблемы элюции антибиотика из костного цемента. Исследование показало, что решетчатая структура предполагаемых имплантатов позволяет увеличить скорость и количество элюированного антибиотика из костного цемента по сравнению с традиционным вариантом использования костного цемента в виде армированных спейсеров.
Дополнительная информация
Заявленный вклад авторов
Шафигулин Р.А. — концепция и дизайн исследования, сбор, анализ и интерпретация данных, написание текста рукописи.
Галяутдинова А.Э. — сбор, анализ и интерпретация данных, написание текста рукописи.
Харин Н.В. — проведение эксперимента, статистическая обработка данных, анализ и интерпретация данных, написание текста рукописи.
Беспалов И.А. — проведение эксперимента, статистическая обработка данных.
Валеева И.Х. — сбор, анализ и интерпретация данных, редактирование текста рукописи.
Бойчук С.В. — сбор, анализ и интерпретация данных, редактирование текста рукописи.
Ахтямов А.Ф. — научное руководство, концепция и дизайн исследования, редактирование текста рукописи.
Саченков О.А. — научное руководство, проведение эксперимента, концепция и дизайн исследования, редактирование текста рукописи.
Все авторы прочли и одобрили финальную версию рукописи статьи. Все авторы согласны нести ответственность за все аспекты работы, чтобы обеспечить надлежащее рассмотрение и решение всех возможных вопросов, связанных с корректностью и надежностью любой части работы.
Благодарности. Коллектив авторов благодарит центральную научно-исследовательскую лабораторию Казанского ГМУ за предоставленное оборудование для проведения исследования.
Источник финансирования. Работа выполнена за счет предоставленного в 2024 г. Академией наук Республики Татарстан гранта на осуществление фундаментальных и прикладных научных работ в научных и образовательных организациях, предприятиях и организациях реального сектора экономики Республики Татарстан.
Возможный конфликт интересов. Авторы декларируют отсутствие явных и потенциальных конфликтов интересов, связанных с публикацией настоящей статьи.
Этическая экспертиза. Не применима.
Информированное согласие на публикацию. Не требуется.
Disclaimers
Author contribution
Shafigulin R.A. — study concept and design, data acquisition, analysis and interpretation, drafting the manuscript.
Galyautdinova A.E. — data acquisition, analysis and interpretation, drafting the manuscript.
Kharin N.V. — conducting the experiment, statistical data processing, data analysis and interpretation, drafting the manuscript.
Bespalov I.A. — conducting the experiment, statistical data processing.
Valeeva I.Kh. — data acquisition, analysis and interpretation, editing the manuscript.
Boichuk S.V. — data acquisition, analysis and interpretation, editing the manuscript.
Akhtyamov I.F. — scientific guidance, study concept and design, editing the manuscript.
Sachenkov O.A. — scientific guidance, conducting the experiment, study concept and design, editing the manuscript
All authors have read and approved the final version of the manuscript of the article. All authors agree to bear responsibility for all aspects of the study to ensure proper consideration and resolution of all possible issues related to the correctness and reliability of any part of the work.
Acknowledgements. The authors’ team would like to thank the central research laboratory of Kazan State Medical University for the equipment provided for the study.
Funding source. The work was funded through a grant provided in 2024 by the Tatarstan Academy of Sciences for the implementation of fundamental and applied research work in scientific and educational organizations, enterprises and organizations of the real sector of the Republic of Tatarstan.
Disclosure competing interests. The authors declare that they have no competing interests.
Ethics approval. Not applicable.
Consent for publication. Not required.
About the authors
Rashid A. Shafigulin
Kazan Federal (Volga Region) State University; Kazan State Medical University; Republican Clinical Hospital
Author for correspondence.
Email: rashid221@yandex.ru
ORCID iD: 0009-0008-6146-4470
SPIN-code: 1458-1630
Cand. Sci. (Med.)
Russian Federation, Kazan; Kazan; KazanAlina E. Galyautdinova
Kazan Federal (Volga Region) State University
Email: wiiskas15@gmail.com
ORCID iD: 0009-0003-0885-5994
SPIN-code: 7346-1225
Russian Federation, Kazan
Nikita V. Kharin
Kazan Federal (Volga Region) State University
Email: nik1314@mail.ru
ORCID iD: 0000-0003-4850-143X
SPIN-code: 3574-8161
Russian Federation, Kazan
Igor A. Bespalov
Kazan Federal (Volga Region) State University
Email: bespalovigora@gmail.com
ORCID iD: 0009-0008-8062-8733
SPIN-code: 6866-7850
Russian Federation, Kazan
Ildaria K. Valeeva
Kazan State Medical University
Email: valeeva.ildaria@yandex.ru
ORCID iD: 0000-0003-3707-6511
SPIN-code: 9818-5421
Dr. Sci. (Biol.)
Russian Federation, KazanSergei V. Boichuk
Kazan Federal (Volga Region) State University; Kazan State Medical University
Email: boichuksergei@mail.ru
ORCID iD: 0000-0003-2415-1084
SPIN-code: 8058-6246
Dr. Sci. (Med.), Professor
Russian Federation, Kazan; KazanIldar F. Akhtyamov
Kazan Federal (Volga Region) State University; Kazan State Medical University; Republican Clinical Hospital
Email: yalta60@mail.ru
ORCID iD: 0000-0002-4910-8835
SPIN-code: 6579-8640
Dr. Sci. (Med.), Professor
Russian Federation, Kazan; Kazan; KazanOskar A. Sachenkov
Kazan Federal (Volga Region) State University
Email: 4works@bk.ru
ORCID iD: 0000-0002-8554-2938
SPIN-code: 2926-2436
Cand. Sci. (Phys.-Math.), Associate Professor
Russian Federation, KazanReferences
- Божкова С.А., Новокшонова А.А., Конев В.А. Современные возможности локальной антибиотикотерапии перипротезной инфекции и остеомиелита (обзор литературы). Травматология и ортопедия России. 2015;3(77):92-107. doi: 10.21823/2311-2905-2015-0-3-92-107. Bozhkova S.A., Novokshonova A.A., Konev V.A. Modern possibilities of local antibiotic therapy for periprosthetic infection and osteomyelitis (literature review). Traumatology and Orthopedics of Russia. 2015;3(77):92-107. (In Russian). doi: 10.21823/2311-2905-2015-0-3-92-107.
- von Hertzberg-Boelch S.P., Luedemann M., Rudert M., Steinert A.F. PMMA Bone Cement: Antibiotic Elution and Mechanical Properties in the Context of Clinical Use. Biomedicines. 2022;10(8):1830. doi: 10.3390/biomedicines10081830.
- Wall V., Nguyen T.H., Nguyen N., Tran P.A. Controlling Antibiotic Release from Poly-methylmethacrylate Bone Cement. Biomedicines. 2021;9(1):26. doi: 10.3390/biomedicines9010026.
- Шафигулин Р.А., Ахтямов И.Ф., Емелин А.Л., Беспалов И.А., Акифьев К.Н. Элюция антибиотиков из костного цемента: проблемы и пути их решения. Гений ортопедии. 2025;31(1):119-128. doi: 10.18019/1028-4427-2025-31-1-119-128. Shafigulin R.A., Akhtyamov I.F., Emelin A.L., Bespalov I.A., Akifyev K.N. Elution of antibiotics from bone cement: problems and ways to solution. Genij Ortopedii. 2025;31(1):119-128. (In Russian). doi: 10.18019/1028-4427-2025-31-1-119-128.
- Obaton A.F., Fain J., Meinel D., Tsamos A., Léonard F., Lécuelle B. et al. In Vivo Bone Progression in and around Lattice Implants Additively Maufactured with a New Titanium Alloy. Appl Sci. 2023;13(12):7282. doi: 10.3390/app13127282.
- Килина П.Н., Сиротенко Л.Д., Козлов М.С., Дроздов А.А. Теплофизические аспекты обеспечения качества высокопористых имплантатов с ячеистой структурой, полученных методом селективного лазерного сплавления. Российский журнал биомеханики. 2023;27(4):200-211. doi: 10.15593/RZhBiomeh/2023.4.16. Kilina P.N., Sirotenko L.D., Kozlov M.S., Drozdov A.A. Quality assurance thermophysical aspects of highly porous implants with cellular structure obtained by selective laser melting. Russian Journal of Biomechanics. 2023;27(4):200-211. (In Russian). doi: 10.15593/RZhBiomeh/2023.4.16.
- Borovkov A.I., Maslov L.B., Zhmaylo M.A., Tarasenko F.D., Nezhinskaya L.S. Elastic properties of additively produced metamaterials based on lattice structures. Mater Phys Mech. 2023;51(7):42-62.
- Федорова Н.В., Косинов А.М. Определение механических параметров и проницаемости пористых костных имплантатов из титанового сплава в условиях их взаимодействия с биологическими жидкостями. Российский журнал биомеханики. 2023;28(1):54-66. doi: 10.15593/RZhBiomeh/2024.1.04. Fedorova N.V., Kosinov A.M. Determination mechanical properties and permeability of porous titanium alloy bone implants, including under conditions of their interaction with biological fluids. Russian Journal of Biomechanics. 2024;28(1):45-56. (In Russian). doi: 10.15593/rjbiomech/2024.1.04.
- Abdudeen A., Abu Qudeiri J.E., Kareem A., Valappil A.K. Latest developments and insights of orthopedic implants in biomaterials using additive manufacturing technologies. J Manuf Mater Process. 2022;6(6):162. doi: 10.3390/jmmp6060162.
- Frazar E.M., Shah R.A., Dziubla T.D., Hilt J.Z. Multifunctional Temperature-Responsive Polymers as Advanced Biomaterials and Beyond. J Appl Polym Sci. 2020;137:48770. doi: 10.1002/app.48770.
- Sufiiarov V.Sh., Borisov E.V., Sokolova V.V., Chukovenkova M.O., Soklakov A.V., Mikhaluk D.S. et al. Structural analysis of an endoprosthesis designed with graded density lattice structures. Int J Numer Method Biomed Eng. 2021;37(2):e3420. doi: 10.1002/cnm.3420.
- Müller P., Gembarski P.C., Lachmayer R. Design Automation of a Patient-Specific Endoprosthesis with Multi-Objective Optimized Lattice Structures. In: Innovative Product Development by Additive Manufacturing 2021. 2023;113-128. doi: 10.1007/978-3-031-05918-6_8.
- Акифьев К.Н., Харин Н.В., Стаценко Е.О., Саченков О.А., Большаков П.В. Пилотное исследование потери устойчивости на сжатие решетчатого эндопротеза с помощью рентгеновской томографии. Российский журнал биомеханики. 2023;27(4):40-49. doi: 10.15593/RZhBiomeh/2023.4.03. Akifyev K.N., Kharin N.V., Statsenko E.O., Sachenkov O.A., Bolshakov P.V. Pilot study of lattice endoprosthesis buckling by compression in-situ using X-ray tomography. Russian Journal of Biomechanics. 2023;27(4):40-49. (In Russian). doi: 10.15593/RZhBiomeh/2023.4.03.
- Герасимов О.В., Рахматулин Р.Р., Балтина Т.В., Саченков О.А. Определение механических свойств костной ткани численно-цифровым методом на основе данных компьютерной томографии. Российский журнал биомеханики. 2023;27(3):53-66. doi: 10.15593/RZhBiomech/2023.3.04. Gerasimov O.V., Rakhmatulin R.R., Baltina T.V., Sachenkov O.A. Determination of the bone tissue mechanical properties by a numerical-digital method using CT data. Russian Journal of Biomechanics. 2023;27(3):53-66. (In Russian). doi: 10.15593/RZhBiomech/2023.3.04.
- Abdullah N.N.A.A., Abdullah A.H., Ramlee M.H. Current trend of lattice structures designed and analysis for porous hip implants: A short review. Mater Today Proc. 2023;110:96-100. doi: 10.1016/j.matpr.2023.09.199.
- Bolshakov P., Kharin N., Kashapov R., Sachenkov O. Structural Design Method for Constructions: Simulation, Manufacturing and Experiment. Materials (Basel). 2021;14(20):6064. doi: 10.3390/ma14206064.
- Kladovasilakis N., Tsongas K., Tzetzis D. Finite Element Analysis of Orthopedic Hip Implant with Functionally Graded Bioinspired Lattice Structures. Biomimetics (Basel). 2020;5(3):44. doi: 10.3390/biomimetics5030044.
- Luo S., Jiang T., Long L., Yang Y., Yang X., Luo L. et al. A dual PMMA/calcium sulfate carrier of vancomycin is more effective than PMMA-vancomycin at inhibiting Staphylococcus aureus growth in vitro. FEBS Open Bio. 2020;10(4):552-560. doi: 10.1002/2211-5463.12809.
- Mensah L.M., Love B.J. A meta-analysis of bone cement mediated antibiotic release: Overkill, but a viable approach to eradicate osteomyelitis and other infections tied to open procedures. Mater Sci Eng C Mater Biol Appl. 2021;123:111999. doi: 10.1016/j.msec.2021.111999.
- Paz E., Sanz-Ruiz P., Abenojar J., Vaquero-Martín J., Forriol F., Del Real J.C. Evaluation of Elution and Mechanical Properties of High-Dose Antibiotic-Loaded Bone Cement: Comparative «In Vitro» Study of the Influence of Vancomycin and Cefazolin. J Arthroplasty. 2015;30(8):1423-1429. doi: 10.1016/j.arth.2015.02.040.
- Меликова Р.Э., Цискарашвили А.В., Артюхов А.А., Сокорова Н.В. In vitro исследование динамики элюции антибактериальных препаратов, импрегнированных в матрицы на основе полимерного гидрогеля. Гений ортопедии. 2023;29(1):64-70. doi: 10.18019/1028-4427-2023-29-1-64-70. Melikova R.E., Tsiskarashvili A.V., Artyukhov A.A., Sokorova N.V. In vitro study of the dynamics in elution of antibacterial drugs impregnated into matrices based on polymer hydrogel. Genij Ortopedii. 2023;29(1):64-70. (In Russian). doi: 10.18019/1028-4427-2023-29-1-64-70.
- Miller R., Leon C., McLemore R. Mixing method affects elution and strength of high-dose ALBC: A pilot study. Clin Orthop Relat Res. 2012;470:2677-2683. doi: 10.1007/s11999-012-2351-2.
- Samelis P.V., Papagrigorakis E., Sameli E., Mavrogenis A., Savvidou O., Koulouvaris P. Current Concepts on the Application, Pharmacokinetics and Complications of Antibiotic-Loaded Cement Spacers in the Treatment of Prosthetic Joint Infections. Cureus. 2022;14:e20968. doi: 10.7759/cureus.20968.
- Wu K., Chen Y.C., Hsu Y.M., Chang C.H. Enhancing Drug Release from Antibiotic-loaded Bone Cement Using Porogens. J Am Acad Orthop Surg. 2016;24:188-195. doi: 10.5435/JAAOS-D-15-00469.
- Shi M., Kretlow J.D., Spicer P.P., Tabata Y., Demian N., Wong M.E. et al. Antibiotic-releasing porous polymethylmethacrylate/gelatin/antibiotic constructs for craniofacial tissue engineering. J Control Release. 2011;152:196-205. doi: 10.1016/j.jconrel.2011.01.029.
- Spicer P.P., Shah S.R., Henslee A.M., Watson B.M., Kinard L.A., Kretlow J.D. et al. Evaluation of antibiotic releasing porous polymethylmethacrylate space maintainers in an infected composite tissue defect model. Acta Biomater. 2013;9:8832-8839. doi: 10.1016/j.actbio.2013.07.018.
- Куропаткин Г.В., Ахтямов И.Ф. Костный цемент в травматологии и ортопедии. Казань: ТаГраф; 2014. c. 128-131. Kuropatkin G.V., Akhtyamov I.F. Bone cement in surgery. Kazan: TaGraf; 2014. p. 128-131. (In Russian).
- Duey R.E., Chong A.C., McQueen D.A., Womack J.L., Song Z., Steinberger T.A. et al. Mechanical properties and elution characteristics of polymethylmethacrylate bone cement impregnated with antibiotics for various surface area and volume constructs. Iowa Orthop J. 2012;32:104-115.
- Bistolfi A., Massazza G., Verné E., Massè A., Deledda D., Ferraris S. et al. Antibiotic-loaded cement in orthopedic surgery: a review. ISRN Orthop. 2011;2011:290851. doi: 10.5402/2011/290851.
- Samelis P.V., Papagrigorakis E., Sameli E., Mavrogenis A., Savvidou O., Koulouvaris P. Current Concepts on the Application, Pharmacokinetics and Complications of Antibiotic-Loaded Cement Spacers in the Treatment of Prosthetic Joint Infections. Cureus. 2022;14(1):e20968. doi: 10.7759/cureus.20968.
- Perry N.P.J., Tucker N.J., Hadeed M.M., Heare A., Stacey S.C., Hammerberg E.M. et al. The Antibiotic Cement Bead Rouleaux: A Technical Trick to Maximize the Surface Area to Volume Ratio of Cement Beads to Improve the Elution of Antibiotics. J Orthop Trauma. 2022;36(9):369-373. doi: 10.1097/BOT.0000000000002335.
Supplementary files









