The potential utility of synovial C-reactive protein, interleukin-6, and presepsin in diagnostics of periprosthetic joint infection
- Authors: Lyubimova L.V.1, Pavlova S.I.2, Nikolaev N.S.1,2, Lyubimov E.A.1, Pchelova N.N.1, Emelianov V.Y.1,2
-
Affiliations:
- Federal Center of Traumatology, Orthopedics and Arthroplasty (Cheboksary)
- Chuvash State University named after I.N. Ulyanov
- Issue: Vol 30, No 4 (2024)
- Pages: 5-13
- Section: СLINICAL STUDIES
- Submitted: 08.07.2024
- Accepted: 06.08.2024
- Published: 18.12.2024
- URL: https://journal.rniito.org/jour/article/view/17578
- DOI: https://doi.org/10.17816/2311-2905-17578
- ID: 17578
Cite item
Abstract
Background. Diagnostics of infectious complications in joint replacement surgery remains a significant challenge, particularly when microbiological analysis of biological material fails to reveal pathogen growth.
The aim of the study was to determine threshold values for C-reactive protein, interleukin-6, and presepsin levels, and to assess their diagnostic value in detecting periprosthetic joint infection.
Methods. A prospective cohort single-center blinded study was conducted involving cases of revision arthroplasty for periprosthetic joint infection (PJI) and aseptic prosthetic loosening. The study included 66 patients divided into two groups: Group I (n = 17), with confirmed PJI using the 2018 ICM criteria, and Group II (n = 49), with aseptic prosthetic loosening. Synovial fluid samples were subjected to bacteriological and cytological analysis, measuring levels of C-reactive protein (CRP), presepsin, and interleukin-6 (IL-6). ROC analysis, sensitivity, specificity, accuracy, and threshold values were determined for laboratory data.
Results. The highest diagnostic accuracy in distinguishing between PJI and aseptic loosening was observed in the leukocyte count in synovial fluid (AUC 0.928; 95% CI: 0.837-0.977, p<0.0001). Elevated synovial CRP levels were associated with infection, with an AUC of 0.776 (95% CI: 0.656-0.870, p = 0.0004), and IL-6 had an AUC of 0.712 (95% CI: 0.583-0.820; p = 0.0048). Presepsin levels, however, showed no significant difference between groups (AUC 0.582; 95% CI: 0.453-0.703; p = 0.3344). Threshold values were set at 5.6 mg/l for CRP, 1212.0 pg/ml for presepsin, and 988.5 pg/ml for IL-6. Sensitivity, specificity, and accuracy for PJI diagnosis were determined for CRP at 62.5%, 85.7%, and 80.0%; for IL-6 at 87.5%, 63.0%, and 69.4%; and for presepsin at 43.8%, 79.6%, and 70.8%, respectively.
Conclusion. In cases where synovial leukocyte counts are at borderline levels, the additional assessment of synovial fluid cellular composition and simple, cost-effective markers such as synovial CRP and IL-6 may be recommended to confirm PJI.
Full Text
INTRODUCTION
Infectious complications in joint replacement are among the primary issues in orthopedic surgery. Timely diagnosis of periprosthetic joint infection (PJI), based on clinical, histological, bacteriological, and cytological criteria, significantly influences treatment outcomes [1, 2]. However, identifying the infectious nature of the pathology in prosthetic joints remains a complex challenge that several international task teams are attempting to address [3, 4, 5, 6]. One of the biggest challenges in diagnosing perispostetic joint infection (PJI) is the lack of microbial growth in biological samples and/or borderline levels of serum and synovial inflammatory biomarkers [7].
A prospective cohort study by M. Fernandez-Sampedro et al. demonstrated that 25% of patients with PJI were misdiagnosed with aseptic prosthetic loosening within the first year after primary arthroplasty [8]. Microbiological and histological examinations of intraoperative biopsies of periprosthetic tissues are reliable methods for diagnosing PJI [9, 10]. However, confirming the presence of infection preoperatively is essential to determine the optimal approach to revision surgery. Synovial fluid inflammation markers can serve as additional diagnostic tools for PJI. Foreign researchers have demonstrated the potential diagnostic value of CD14, TREM- 1, TLR2, C-reactive protein (CRP), leukocyte esterase, interleukin-6(IL-6), interleukin-1b, α-defensin, and interleukin-17 in synovial fluid [11, 12, 13].
The extensive experience of the federal center for traumatology and orthopedics in Cheboksary has shown that the rate of “unexpected infections” in patients initially diagnosed with aseptic loosening of the prosthesis reaches 2.08% [14]. Therefore, our study aimed to evaluate the potential use of additional synovial biomarkers, accessible in laboratory settings, for diagnosing PJI.
The aim of the study is to determine the threshold levels of C-reactive protein, interleukin-6, and presepsin and their diagnostic value in detecting periprosthetic infection.
METHODS
A prospective cohort single-center blinded study was conducted on cases of revision arthroplasty for major joints addressing PJI and aseptic prosthetic loosening. The study took place at the Federal Center for Traumatology, Orthopedics, and Arthroplasty of the Ministry of Health of Russia (Cheboksary) in 2023, hereafter referred to as the Center. During the study, clinical laboratory staff remained unaware of the group assignment for each patient.
Inclusion criteria: patients after hip, knee, or shoulder arthroplasty exhibiting signs of aseptic loosening or PJI; a period of over one year since the primary arthroplasty; preoperative synovial fluid aspiration performed in the Center’s outpatient clinic.
Exclusion criteria: patients under 18 years of age; synovial fluid volume of less than 5 ml; no synovial fluid obtained (“dry joint”) or samples unsuitable for analysis due to impurities insoluble by hyaluronidase, such as metal or cement particles, fibrin, or purulent clots.
Synovial fluid was collected preoperatively from 101 patients. However, samples from 8 patients were unsuitable for analysis, and in 27 cases, less than 5 ml of fluid was obtained. Consequently, the study group comprised 66 patients.
Based on the presence of PJI diagnostic criteria (ICM, 2018), the patients were divided into two groups [4]. Group I (n = 17) included patients with confirmed PJI (presence of one major criterion or several minor criteria totaling 6 or more points); Group II (n = 49) consisted of patients with aseptic prosthetic loosening (Figure 1).
Figure 1. Study design flowchart
All patients underwent revision surgery: Group I received a spacer, while Group II underwent the reimplantation of the prosthesis. The groups were comparable in the terms of gender, age, and prosthesis localization (Table 1).
Table 1
Characteristics of the study groups
Parameter | Group I (n = 17) | Group II (n = 49) | p | |
Age, y.o | 64.1±10.8 | 63.4±11.9 | 0.7821 | |
Gender | male | 7 (41.2%) | 19 (38.8%) | 1.0000 |
female | 10 (58.8%) | 30 (62.1%) | ||
Prosthesis localization | ||||
Knee | 12 (70.6%) | 29 (59.2%) | 0.5634 | |
Hip | 4 (23.5%) | 19 (38.8%) | 0.3772 | |
Shoulder | 1 (5.9%) | 1 (2.0%) | 0.4517 | |
Bacteriological and cytological analyses were conducted on synovial fluid samples, assessing CRP, presepsin, and IL-6 levels.
For synovial biomarkers, the biological material was centrifuged (Hettich MIKRO 200) at 3000 rpm for 5 minutes. CRP levels were measured on the day of sample delivery using automated biochemical analyzers SAPPHIRE 400 and Furuno CA-270 Electric, with the CRP FS kit (DiaSys Diagnostic Systems GmbH, Germany) through an immunoturbidimetric method. IL-6 was measured from the supernatant, which was aliquoted and stored at -35°C until analysis using the Bio-Rad iMark immunoassay analyzer and the Interleukin-6-IFA-BEST kit (Vector-Best, Russia). Presepsin levels were measured via an immunochemiluminescent method using the PATHFAST™ analyzer and the PATHFAST Presepsin kit (PHC Corporation, Japan).
Bacteriological examination involved intraoperative biopsy specimens (at least 3 samples), joint fluid (if available), and rinses from removed metal components (following ultrasonic processing), with cultivation extending up to 14 days.
Statistical analysis
The statistical analysis of the obtained data was conducted using the Microsoft Excel 2007 Analysis ToolPak, GraphPad, and Prism 8.3.0 software. Categorical data (e.g., gender, prosthesis localization, presence or absence of infection) were described using nominal codes for unranked categories. The distribution of the quantitative variables was assessed for normality using the Shapiro-Wilk test. For the description of normally distributed data, the mean and standard deviation were used; for data not following a normal distribution, the median and interquartile range were reported as Me [Q1–Q3], and in both cases, a 95% confidence interval (CI) was applied. Group differences were evaluated using the Mann-Whitney U test and Fisher’s exact test. For each diagnostic test, ROC analysis was conducted with calculation of the area under the curve (AUC) to determine accuracy, sensitivity, and specificity, with a 95% Clopper-Pearson CI using MedCalc 13.2.2 software (MedCalc Software bv, Ostend, Belgium). Positive predicti-ve value, negative predictive value, and accuracy were expressed as percentages. Threshold values were calculated using the Youden index (J).
RESULTS
In the study cohort, women predominated (60.6%). The average age was 63.6 years (95% CI: 54.0-65.0). Knee joint pathology was the prevalent condition, observed in 62.1% of cases. In 100% of PJI cases (n = 17), identical positive microbiological culture growth was observed in at least two of the analyzed samples (Figure 2).
Figure 2. The species spectrum of causative agents of PJI cases
No bacterial growth was detected in any of the analyzed biological samples in the aseptic loosening group.
Among the isolated pathogens, gram-positive microorganisms were predominant, particularly S. aureus (10% of which were methicillin-resistant strains).
All measured indicators were higher in the PJI group, with statistically significant differences in leukocytes, band neutrophils, and CRP levels (p<0.05) (Table 2).
Table 2
Laboratory results of synovial inflammatory markers, Me [Q1-Q3]
Parameter | PJI group (n = 17) | Aseptic loosening group (n = 49) | p* |
Leukocytes, cells/µl | 27312.0 [7000.0-44069.0] | 210.0 [100.0-498.5] | <0.0001 |
Band neutrophils, % | 92.5 [88.0-95.3] | 40.5 [17.8-61.5] | <0.0001 |
CRP, mg/l | 7.2 [1.2-66.6] | 0.6 [0.3-3.9] | 0.0007 |
Presepsin, pg/ml | 850.0 [471.3-1541.0] | 772.0 [318.0-1115.0] | 0.3312 |
IL-6, pg/ml | 1050.0 [991.5-1052.0] | 819.0 [476.5-1045.0] | 0.0112 |
p* — significance level, Mann–Whitney U test.
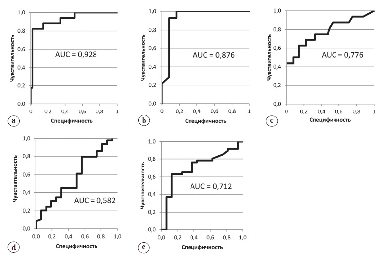
Figure 3 shows the ROC curves for evaluating the significance of synovial markers (leukocytes, band neutrophils, CRP, presepsin, and IL-6) in diagnosing PJI. The AUC for the sensitivity and specificity ROC curves ranges from 0 to 1, indicating the correlation of the marker with the presence of PJI. The closer the AUC value is to one, the higher the informativeness of the integrative marker is.
Figure 3. ROC curves for inflammatory markers of the synovial fluid: a — leukocytes; b — band neutrophils; c — CRP; d — presepsin; e — IL-6
Synovial fluid cellular composition indicators (leukocytes and band neutrophils) demonstrated the highest discriminative ability between the PJI and aseptic loosening groups, with AUCs of 0.928 (95% CI: 0.837-0.977; p<0.0001) and 0.876 (95% CI: 0.772-0.945; p<0.0001), respectively. Among the synovial inflammation markers studied, CRP had the highest discriminatory power with an AUC of 0.776 (95% CI: 0.656-0.870; p = 0.0004) and IL-6 at 0.712 (95% CI: 0.583-0.820; p = 0.0048). Presepsin did not show significant differences between the study groups (AUC 0.582; 95% CI: 0.453-0.703; p = 0.3344).
Threshold values for CRP, presepsin, and IL-6 were obtained, along with sensitivity, specificity, and negative predictive value (Table 3).
Table 3
ROC Analysis of inflammatory marker parameters in synovial fluid
Statistical parameters | Leukocytes | Band neutrophils | CRP | Presepsin | IL-6 |
Threshold values | 6250 cells/µl | 76% | 5.6 mg/l | 1212 pg/ml | 988.5 pg/ml |
AUC (95% CI) | 0.928 (0.837-0.977) | 0.876 (0.772-0.945) | 0.776 (0.656-0.870) | 0.582 (0.453-0.703) | 0.712 (0.583-0.820) |
Sensitivity, % (95% CI) | 82.35 (56.57-96.20) | 81.32 (55.47-95.10) | 62.50 (35.43-84.80) | 43.75 (19.75-70.12) | 87.50 (61.65-98.45) |
Specificity, % (95% CI) | 97.96 (89.15-99.95) | 95.92 (86.02-99.50) | 85.71 (72.76-94.06) | 79.59 (65.66-89.76) | 63.04 (46.5-76.23) |
Positive predictive value, % | 93.33 | 87.50 | 58.82 | 41.18 | 45.16 |
Negative predictive value, % | 94.12 | 94.00 | 87.50 | 81.25 | 93.55 |
Accuracy, % | 93.94 | 95.92 | 80.00 | 70.77 | 69.35 |
DISCUSSION
Cultural methods for diagnosing infection are undoubtedly significant for determining the treatment strategy for patients with issues related to prosthetic joints. In real practice, according to our recent study, the proportion of negative microbiological test results in patients with a diagnosed infection can reach 29.1% cases [7]. Diagnosing PJI is challenging, as clinical symptoms often resemble those of aseptic loosening, presenting as nonspecific pain. To prevent unnecessary surgical interventions in cases of false-positive PJI diagnosis, accurate preoperative diagnostics is crucial. Furthermore, the inability to diagnose PJI before revision surgery may lead to a single-stage revision without appropriate treatment, which is likely to result in recurrent infection. The number of studies attempting to determine the best combination of laboratory tests for predicting PJI proves the need for improved diagnostics. Analyzing the data from international literature, we noted the potential of inflammatory synovial markers for diagnosing PJI in addition to established algorithms.
According to the study by L. Qin and collea-gues, synovial IL-6 had the highest prognostic value, with a threshold of 1855.36 pg/ml, sensitivity of 94.59%, and specificity of 92.86%. When combined with serum IL-6, it increased the diagnostic accuracy for PJI to 96.77% [15]. However, we could not confirm these findings. Nonetheless, synovial IL-6 showed good results, with a threshold of 988.5 pg/ml, providing the highest negative predictive value (93.6%) compared to synovial CRP and presepsin.
The role of presepsin in diagnosing PJI was evaluated by M.L. Delva et al., who concluded that synovial presepsin could serve as a potential biomarker for PJI. Despite demonstrating an AUC of 0.41, further studies are needed to correlate it with other laboratory data [16]. In their prospective study, A. Busch et al. determined a threshold value for synovial fluid presepsin above 0.06 ng/ml, with sensitivity of 29% and specificity of 51% for diagnosing PJI, concluding that presepsin is not suitable for excluding or diagnosing PJI [17]. In our study, synovial presepsin performed poorly among the synovial markers tested, failing to show significant differences between the study groups.
Another important biomarker for PJI, accor-ding to the study published by J.L. Miamidian et al., is synovial CRP, with an optimal threshold value of 4.45 mg/l for PJI, demonstrating a sensitivity of 86.1% and specificity of 87.1% [18]. In our small prospective cohort of patients who underwent revision arthroplasty, the use of synovial CRP proved to be a more accurate marker for identifying PJI than the levels of synovial IL-6 or presepsin. In 2018, the American Society for Musculoskeletal Infection proposed a diagnostic algorithm for PJI, where one of the minor criteria was the level of synovial CRP with a threshold of 6.9 ng/ml [4]. We obtained lower threshold values for CRP (5.6 ng/ml) and confirmed its supportive role in the diagnosis of PJI.
The conducted study confirmed the results of other researchers that among all synovial biomarkers, leukocytes and band neutrophils exhibit the highest accuracy, sensitivity, and specificity [19]. However, there is still no consensus on the threshold values for these tests, with reported figures varying from 1100 to 4200 cells/µl [20, 21, 22]. We obtained threshold values for leukocytes (6250 cells/µl) and band neutrophils (76%), which differ from the previously suggested thresholds by other authors [20, 21, 22]. Moreover, there is no uniformity in the threshold values for the leukocyte composition of synovial fluid, as reflected in the diagnostic algorithm for PJI proposed by the European Bone and Joint Infection Society (EBJIS, 2021), which suggests a leukocyte range of 1500-3000 cells/µl as a criterion for probable infection [6]. In such uncertain cases, expanding diagnostics with simple and inexpensive synovial markers such as CRP and IL-6 can be utilized to confirm or exclude PJI.
Limitations of the study
The limitation of the study was the small sample size due to the exclusion of cases where synovial fluid samples were either not obtained or were unsuitable for analysis. We did not use disposable sterile membrane filters to remove foreign impurities, although this method could potentially be applied to purify synovial aspirates. When selecting a filter, it is important to consider the composition of the membrane elements — they should not reduce the activity of synovial proteins. Given that the small sample size in the prospective study resulted in no cases of suspected PJI, the diagnostic threshold proposed by us was calculated based on data from patients with confirmed PJI. To confirm the diagnostic significance of the obtained threshold values for CRP and IL-6, further research is necessary in a group of patients with suspected PJI at the preoperative stage.
CONCLUSIONS
The analysis of synovial fluid prior to revision arthroplasty is a critical component of the differential diagnosis between PJI and aseptic prosthetic loosening. Assessment of the cellular composition (specifically synovial leukocyte count and band neutrophils) is the most accurate and widely accessible diagnostic method for PJI. In cases where synovial leukocyte counts are at borderline levels, additional use of simple and cost-effective tests, such as synovial C-reactive protein and synovial interleukin-6, can be recommended to confirm PJI.
DISCLAIMERS
Author contribution
Lyubimova L.V. — scientific supervision, study concept, data analysis and interpretation, drafting the manuscript.
Pavlova S.I. — scientific supervision, editing the manuscript.
Nikolaev N.S. — study concept and design.
Lyubimov E.A. — data analysis and interpretation, drafting the manuscript.
Pchelova N.N. — data acquisition, data analysis and interpretation, drafting the manuscript.
Emelianov V.Yu. — data acquisition, statistical data processing, editing the manuscript.
All authors have read and approved the final version of the manuscript of the article. All authors agree to bear responsibility for all aspects of the study to ensure proper consideration and resolution of all possible issues related to the correctness and reliability of any part of the work.
Funding source. This study was not supported by any external sources of funding.
Disclosure competing interests. The authors declare that they have no competing interests.
Ethics approval. Not applicable.
Consent for publication. The authors obtained written consent from patients to participate in the study and publish the results.
About the authors
Lyudmila V. Lyubimova
Federal Center of Traumatology, Orthopedics and Arthroplasty (Cheboksary)
Author for correspondence.
Email: borisova-80@mail.ru
ORCID iD: 0000-0002-5750-4459
Russian Federation, Cheboksary
Svetlana I. Pavlova
Chuvash State University named after I.N. Ulyanov
Email: flavonoid@yandex.ru
ORCID iD: 0000-0001-9976-7866
Dr. Sci. (Med.), Professor
Russian Federation, CheboksaryNikolay S. Nikolaev
Federal Center of Traumatology, Orthopedics and Arthroplasty (Cheboksary); Chuvash State University named after I.N. Ulyanov
Email: nikolaev@orthoscheb.ru
ORCID iD: 0000-0002-1560-470X
Dr. Sci. (Med.), Professor
Russian Federation, Cheboksary; CheboksaryEvgeniy A. Lyubimov
Federal Center of Traumatology, Orthopedics and Arthroplasty (Cheboksary)
Email: elyubimov@mail.ru
ORCID iD: 0000-0001-5262-0197
Russian Federation, Cheboksary
Nadezhda N. Pchelova
Federal Center of Traumatology, Orthopedics and Arthroplasty (Cheboksary)
Email: nadyapchelova@mail.ru
ORCID iD: 0000-0001-9507-9118
Russian Federation, Cheboksary
Vladimir Y. Emelianov
Federal Center of Traumatology, Orthopedics and Arthroplasty (Cheboksary); Chuvash State University named after I.N. Ulyanov
Email: vemelianov@mail.ru
ORCID iD: 0000-0003-1720-1741
Russian Federation, Cheboksary; Cheboksary
References
- Gehrke T., Alijanipour P., Parvizi J. The management of an infected total knee arthroplasty. Bone Joint J. 2015;97-B(10 Suppl A):20-29. doi: 10.1302/0301-620X.97B10.36475.
- Tsang S.T.J., Gwynne P.J., Gallagher M.P., Simpson A.H.R.W. The biofilm eradication activity of acetic acid in the management of periprosthetic joint infection. Bone Joint Res. 2018;7(8):517-523. doi: 10.1302/2046-3758.78.BJR-2018-0045.R1.
- Romanò C.L., Khawashki H.A., Benzakour T., Bozhkova S., Del Sel H., Hafez M. et al. The W.A.I.O.T. Definition of High-Grade and Low-Grade Peri-Prosthetic Joint Infection. J Clin Med. 2019;8(5):650. doi: 10.3390/jcm8050650.
- Parvizi J., Tan T.L., Goswami K., Higuera C., Della Valle C., Chen A.F. et al. The 2018 Definition of Periprosthetic Hip and Knee Infection: An Evidence-Based and Validated Criteria. J Arthroplasty. 2018;33(5): 1309-1314.e2. doi: 10.1016/j.arth.2018.02.078.
- Della Valle C., Parvizi J., Bauer T.W., DiCesare P.E., Evans R.P., Segreti J. et al. American Academy of Orthopaedic Surgeons clinical practice guideline on: the diagnosis of periprosthetic joint infections of the hip and knee. J Bone Joint Surg Am. 2011;93(14):1355-1357. doi: 10.2106/JBJS.9314ebo.
- McNally M., Sousa R., Wouthuyzen-Bakker M., Chen A.F., Soriano A., Vogely H.C. et al. The EBJIS definition of periprosthetic joint infection. Bone Joint J. 2021;103-B(1):18-25. doi: 10.1302/0301-620X.103B1.BJJ-2020-1381.R1.
- Любимова Л.В., Божкова С.А., Пчелова Н.Н., Преображенская Е.В., Любимов Е.А. Роль культуронегативной инфекции в структуре инфекционных осложнений после эндопротезирования коленных суставов. Гений ортопедии. 2023;29(4):402-409. doi: 10.18019/1028-4427-2023-29-4-402-409. Lyubimova L.V., Bozhkova S.A., Pchelova N.N., Preobrazhenskaya E.V., Lyubimov E.A. The role of culture-negative infection among infectious complications after total knee arthroplasty. Genij Ortopedii. 2023;29(4):402-409. (In Russian). doi: 10.18019/1028-4427-2023-29-4-402-409.
- Fernandez-Sampedro M., Salas-Venero C., Fariñas-Álvarez C., Sumillera M., Pérez-Carro L., Fakkas-Fernandez M. et al. 26 Postoperative diagnosis and outcome in patients with revision arthroplasty for aseptic loosening. BMC Infect Dis. 2015;15:232. doi: 10.1186/s12879-015-0976-y.
- Osmon D.R., Berbari E.F., Berendt A.R., Lew D., Zimmerli W., Steckelberg J.M. et al. Diagnosis and management of prosthetic joint infection: clinical practice guidelines by the Infectious Diseases Society of America. Clin Infect Dis. 2013;56(1):e1-e25. doi: 10.1093/cid/cis803.
- Пантелеев А.Н., Божкова С.А., Тихилов Р.М., Каземирский А.В., Анисимова Л.О., Гузюкина С.А. и др. Экстренное гистологическое исследование в диагностике перипротезной инфекции при ревизионном эндопротезировании коленного сустава. Гений ортопедии. 2023;29(2):180-189. doi: 10.18019/1028-4427-2023-29-2-180-189. Panteleev A.N., Bozhkova S.A., Tikhilov R.M., Kazemirsky A.V., Anisimova L.O., Guzyukina S.A. et al. Emergency histological examination in diagnosis of periprosthetic joint infection in revision total knee arthroplasty. Genij Ortopedii. 2023;29(2):180-189. (In Russian). doi: 10.18019/1028-4427-2023-29-2-180-189.
- Marazzi M.G., Randelli F., Brioschi M., Drago L., Romanò C.L., Banfi G. et al. Presepsin: A potential biomarker of PJI? A comparative analysis with known and new infection biomarkers. Int J Immunopathol Pharmacol. 2018;31:394632017749356. doi: 10.1177/0394632017749356.
- Saleh A., Ramanathan D., Siqueira M.B.P., Klika A.K., Barsoum W.K., Rueda C.A.H. The Diagnostic Utility of Synovial Fluid Markers in Periprosthetic Joint Infection: A Systematic Review and Meta-analysis. J Am Acad Orthop Surg. 2017;25(11):763-772. doi: 10.5435/JAAOS-D-16-00548.
- Lee Y.S., Koo K.H., Kim H.J., Tian S., Kim T.Y., Maltenfort M.G. et al. Synovial Fluid Biomarkers for the Diagnosis of Periprosthetic Joint Infection: A Systematic Review and Meta-Analysis. J Bone Joint Surg Am. 2017;99(24):2077-2084. doi: 10.2106/JBJS.17.00123.
- Николаев Н.С., Пчелова Н.Н., Преображенская Е.В., Назарова В.В., Добровольская Н.Ю. «Неожиданные» инфекции при асептических ревизиях. Травматология и ортопедия России. 2021;27(3):56-70. doi: 10.21823/2311-2905-2021-27-3-56-70. Nikolaev N.S., Pchelova N.N., Preobrazhenskaya E.V., Nazarova V.V., Dobrovol’skaya N.Y. “Unexpected” Infections in Revision Arthroplasty for Aseptic Loosening. Traumatology and Orthopedics of Russia. 2021;27(3):56-70. (In Russian). doi: 10.21823/2311-2905-2021-27-3-56-70.
- Qin L., Li X., Wang J., Gong X., Hu N., Huang W. Improved diagnosis of chronic hip and knee prosthetic joint infection using combined serum and synovial IL-6 tests. Bone Joint Res. 2020;9(9):587-592. doi: 10.1302/2046-3758.99.BJR-2020-0095.R1.
- Delva M.L., Samuel L.T., Acuña A.J., Kamath A.F. Presepsin as a diagnostic biomarker of peri-prosthetic joint infection: a review of the literature. Eur J Orthop Surg Traumatol. 2023;33(4):695-700. doi: 10.1007/s00590-022-03232-z.
- Busch A., Jäger M., Engler H., Wasssenaar D., Bielefeld C., Wegner A. Diagnostic Accuracy of Synovial Neopterin, TNF-α and Presepsin in Periprosthetic Joint Infection: A Prospective Study. Z Orthop Unfall. 2022;160(3): 299-306. (In English). doi: 10.1055/a-1303-5105.
- Miamidian J.L., Toler K., McLaren A., Deirmengian C. Synovial Fluid C-reactive Protein Clinical Decision Limit and Diagnostic Accuracy for Periprosthetic Joint Infection. Cureus. 2024;16(1):e52749. doi: 10.7759/cureus.52749.
- Diniz S.E., Ribau A., Vinha A., Oliveira J.C., Abreu M.A., Sousa R. Simple and inexpensive synovial fluid biomarkers for the diagnosis of prosthetic joint infection according to the new EBJIS definition. J Bone Jt Infect. 2023;8(2):109-118. doi: 10.5194/jbji-8-109-2023.
- Ottink K.D., Strahm C., Muller-Kobold A., Sendi P., Wouthuyzen-Bakker M. Factors to Consider When Assessing the Diagnostic Accuracy of Synovial Leukocyte Count in Periprosthetic Joint Infection. J Bone Jt Infect. 2019;4(4):167-173. doi: 10.7150/jbji.34854.
- Zahar A., Lausmann C., Cavalheiro C., Dhamangaonkar A.C., Bonanzinga T., Gehrke T. et al. How Reliable Is the Cell Count Analysis in the Diagnosis of Prosthetic Joint Infection? J Arthroplasty. 2018;33(10):3257-3262. doi: 10.1016/j.arth.2018.05.018.
- Sousa R., Serrano P., Gomes Dias J., Oliveira J.C., Oliveira A. Improving the accuracy of synovial fluid analysis in the diagnosis of prosthetic joint infection with simple and inexpensive biomarkers: C-reactive protein and adenosine deaminase. Bone Joint J. 2017;99-B(3):351-357. doi: 10.1302/0301-620X.99B3.BJJ-2016-0684.R1.
Supplementary files






