Возможность использования синовиальных С-реактивного белка, интерлейкина-6 и пресепсина в диагностике перипротезной инфекции
- Авторы: Любимова Л.В.1, Павлова С.И.2, Николаев Н.С.1,2, Любимов Е.А.1, Пчелова Н.Н.1, Емельянов В.Ю.1,2
-
Учреждения:
- ФГБУ «Федеральный центр травматологии, ортопедии и эндопротезирования» Минздрава России (г. Чебоксары)
- ФГБОУ ВО «Чувашский государственный университет им. И.Н. Ульянова»
- Выпуск: Том 30, № 4 (2024)
- Страницы: 5-13
- Раздел: КЛИНИЧЕСКИЕ ИССЛЕДОВАНИЯ
- Дата подачи: 08.07.2024
- Дата принятия к публикации: 06.08.2024
- Дата публикации: 18.12.2024
- URL: https://journal.rniito.org/jour/article/view/17578
- DOI: https://doi.org/10.17816/2311-2905-17578
- ID: 17578
Цитировать
Аннотация
Актуальность. Диагностика инфекционных осложнений при протезировании суставов остается актуальной задачей, особенно в случаях отсутствия роста возбудителей при микробиологическом исследовании биоматериала.
Целью исследования стало определение пороговых значений уровня С-реактивного белка, интерлейкина-6 и пресепсина и их диагностической значимости для выявления перипротезной инфекции.
Материал и методы. Проведено проспективное когортное одноцентровое слепое исследование случаев ревизионной артропластики крупных суставов по поводу перипротезной инфекции (ППИ) и асептической нестабильности эндопротеза. В исследование вошли 66 пациентов, которые были разделены на группы: группа I (n = 17) — случаи подтвержденной ППИ согласно критериям ICM (2018), группа II (n = 49) — случаи асептической нестабильности эндопротеза. Были выполнены бактериологическое и цитологическое исследования образцов синовиальной жидкости с определением уровней С-реактивного белка (СРБ), пресепсина и интерлейкина-6 (ИЛ-6). Для лабораторных данных проводился ROC-анализ, определение чувствительности, специфичности, точности и пороговых значений.
Результаты. Наибольшей достоверностью для диагностики ППИ и асептической нестабильности эндопротеза обладали показатели количества лейкоцитов в синовиальной жидкости (AUC 0,928; ДИ 95%: 0,837–0,977, p<0,0001). При инфекции также имелось повышение синовиального СРБ с AUC 0,776 (ДИ 95%: 0,656–0,870, p = 0,0004) и ИЛ-6 с AUC 0,712 (ДИ 95%: 0,583–0,820; p = 0,0048). В то же время уровень пресепсина не различался между группами (AUC 0,582; ДИ 95%: 0,453–0,703; p = 0,3344). Пороговые значения составили для СРБ 5,6 мг/л, пресепсина — 1212,0 пг/мл, интерлейкина-6 — 988,5 пг/мл. Чувствительность, специфичность и точность для диагностики ППИ определены для СРБ на уровне 62,5%, 85,7% и 80,0%; для интерлейкина-6 — 87,5%, 63,0% и 69,4%; для пресепсина 43,8%, 79,6% и 70,8% соответственно.
Заключение. При пограничных значениях уровня синовиальных лейкоцитов для подтверждения ППИ в дополнение к оценке клеточного состава синовиальной жидкости можно рекомендовать использование таких простых и недорогих исследований, как определение уровня синовиальных СРБ и ИЛ-6.
Полный текст
ВВЕДЕНИЕ
Инфекционные осложнения при протезировании суставов являются одной из основных проблем ортопедической хирургии. Своевременная диагностика перипротезной инфекции (ППИ), основанная на клинических, гистологических, бактериологических и цитологических критериях, оказывает существенное влияние на успех лечения [1, 2]. Однако выявление инфекционной природы патологии протезированного сустава остается сложной задачей, которую пытаются решить несколько международных рабочих групп [3, 4, 5, 6]. Наибольшей проблемой диагностики ППИ является отсутствие роста микроорганизмов в исследуемом биологическом материале и/или пограничные значения уровней сывороточных и синовиальных биомаркеров воспаления [7].
Проспективное когортное исследование M. Fernandez-Sampedro с соавторами показало, что у 25% пациентов с ППИ была ошибочно диагностирована асептическая нестабильность эндопротеза в первый год после первичной артропластики [8]. Микробиологическое и гистологическое исследования интраоперационных биоптатов перипротезных тканей являются надежными методами диагностики ППИ [9, 10]. Однако для определения оптимальной тактики ревизионного оперативного лечения необходимо подтвердить наличие инфекции на дооперационном этапе. Дополнительным инструментом диагностики ППИ могут стать маркеры воспаления синовиальной жидкости. Зарубежными исследователями продемонстрирована потенциальная диагностическая значимость CD14, TREM-1, TLR2, С-реактивного белка (СРБ), лейкоцитарной эстеразы, интерлейкина-6 (ИЛ-6), интерлейкина-1β, α-дефензина и интерлейкина-17 в синовиальной жидкости [11, 12, 13].
Многолетний опыт работы федерального травматолого-ортопедического центра (г. Чебоксары) показал, что частота «неожиданных» инфекций у пациентов с первично диагностированным асептическим расшатыванием эндопротеза достигает 2,08% [14]. Поэтому наша работа была направлена на оценку возможности использования в диагностике ППИ дополнительных синовиальных биомаркеров, доступных для измерения в лаборатории.
Цель исследования — определение пороговых значений уровня С-реактивного белка, интерлейкина-6 и пресепсина и их диагностической значимости для выявления перипротезной инфекции.
МАТЕРИАЛ И МЕТОДЫ
Проведено проспективное когортное одноцентровое слепое исследование случаев ревизионной артропластики крупных суставов по поводу ППИ и асептической нестабильности эндопротеза, выполненной в ФГБУ «Федеральный центр травматологии, ортопедии и эндопротезирования» Минздрава России (г. Чебоксары), далее — Центр, в 2023 г. Сотрудники клинико-диагностической лаборатории при выполнении исследования не владели информацией о том, к какой группе исследования был отнесен пациент.
Критерии включения: пациенты с наличием эндопротеза тазобедренного, коленного или плечевого сустава с признаками асептической нестабильности или ППИ; срок давности после первичного эндопротезирования более 1 года; взятие пунктата синовиальной жидкости на дооперационном этапе в условиях поликлиники Центра.
Критерии исключения: возраст пациента моложе 18 лет; объем полученной синовиальной жидкости менее 5 мл; синовиальная жидкость не получена («сухой сустав») либо непригодна для исследования (наличие примесей, не растворимых гиалуронидазой, — частиц металла, цемента, фибрина или сгустка гноя).
До ревизионной операции синовиальная жидкость была взята у 101 пациента: у 8 пациентов образцы были непригодны для исследования, в 27 случаях синовиальная жидкость получена в количестве менее 5 мл. В результате группа исследования составила 66 пациентов.
В зависимости от наличия критериев диагностики ППИ (ICM, 2018) [4] пациенты были распределены на две группы. В группу I (n = 17) включены случаи подтвержденной ППИ (наличие одного большого критерия либо нескольких малых — 6 и более баллов в сумме); в группу II (n = 49) — наблюдения по поводу асептической нестабильности эндопротеза (рис. 1).
Рис. 1. Блок-схема дизайна исследования
Figure 1. Study design flowchart
Всем исследуемым пациентам было выполнено ревизионное оперативное вмешательство: в группе I — с установкой спейсера, в группе II — реимплантация эндопротеза. Группы пациентов были сопоставимы по полу, возрасту и локализации эндопротеза (табл. 1).
Таблица 1
Характеристика исследуемых групп
Параметр | Группа I (n = 17) | Группа II (n = 49) | p | |
Возраст, лет | 64,1±10,8 | 63,4±11,9 | 0,7821 | |
Пол | муж. | 7 (41,2%) | 19 (38,8%) | 1,0000 |
жен. | 10 (58,8%) | 30 (62,1%) | ||
Локализация эндопротеза: | ||||
коленный сустав | 12 (70,6%) | 29 (59,2%) | 0,5634 | |
тазобедренный сустав | 4 (23,5%) | 19 (38,8%) | 0,3772 | |
плечевой сустав | 1 (5,9%) | 1 (2,0%) | 0,4517 | |
Выполнены бактериологическое и цитологическое исследования образцов синовиальной жидкости с определением уровней СРБ, пресепсина и ИЛ-6.
Для определения синовиальных маркеров биологический материал центрифугировали (Hettich MIKRO 200) при 3000 оборотов в мин. в течение 5 мин. Уровень СРБ определяли в день доставки биоматериала с помощью автоматических биохимических анализаторов SAPPHIRE 400, Furuno CA-270 Electric и набора CRP FS (DiaSys Diagnostic Systems GmbH, Германия) иммунотурбидиметрическим методом. Для определения ИЛ-6 супернатант аликвотировали и хранили до проведения исследования при -35°C, далее исследовали с помощью иммунохимического анализатора Bio-Rad iMark и набора Интерлейкин-6-ИФА-БЕСТ (АО «Вектор-Бест», Россия). Пресепсин исследовали иммунохемилюминесцентным методом на анализаторе PATHFAST™ с использованием набора PATHFAST Presepsin (PHC Corporation, Япония).
Выполняли бактериологическое исследование интраоперационных тканевых биоптатов (не менее 3 образцов), суставной жидкости (при ее наличии), смывов с удаленных металлоконструкций (после ультразвуковой обработки) с последующим культивированием до 14 дней.
Статистический анализ
Статистическая обработка полученных данных проводилась с помощью пакета инструментов анализа программы Microsoft Excel 2007, программ GraphPad и Prism 8.3.0. Категориальные данные (пол, локализация эндопротеза, наличие или отсутствие инфекции) описывали условными кодами неизмеряемых категорий, не подлежащих упорядочиванию. Количественные показатели оценивали на предмет соответствия нормальному распределению с помощью критерия Шапиро – Уилка. При нормальном распределении для описания признака использовали его среднее значение и среднеквадратичное отклонение; при распределении, отличающемся от нормального — медиану и верхний и нижний квартили — Me [Q1–Q3]; в обоих случаях применяли 95% доверительный интервал (ДИ). Достоверность различий между группами рассчитывали с помощью U-критерия Манна – Уитни и точного теста Фишера. Для каждого диагностического теста проведен ROC-анализ с расчетом площади под кривой (AUC), рабочей характеристикой приемника (ROC) с определением достоверности, чувствительности и специфичности с расчетом 95% ДИ по методу Клоппера – Пирсона при помощи программного обеспечения MedCalc 13.2.2 (MedCalc Software bv, Остенде, Бельгия). Положительная прогностическая ценность, отрицательная прогностическая ценность и точность выражались в процентах. Пороговые значения рассчитывались с помощью индекса Юдена (J).
РЕЗУЛЬТАТЫ
В исследуемой когорте преобладали женщины (60,6%). Средний возраст составил 63,6 года (ДИ 95%: 54,0–65,0). Превалировала патология коленных суставов (62,1% случаев). В 100% случаев ППИ (n = 17) наблюдали идентичный положительный микробиологический рост культуры как минимум в двух исследуемых образцах (рис. 2). В группе асептической нестабильности эндопротеза мы не получили роста бактерий ни в одном из исследуемых образцов биологического материала.
Рис. 2. Видовой спектр возбудителей ППИ
Figure 2. The species spectrum of causative agents of PJI cases
Среди выделенных патогенов преобладали грамположительные микроорганизмы, а именно S. аureus (10% которых составили метициллин-резистентные штаммы).
Все анализируемые показатели были выше в группе ППИ, в т.ч. статистически значимо — лейкоциты, ПЯН и СРБ (p<0,05) (табл. 2).
Таблица 2
Результаты лабораторных исследований синовиальных маркеров воспаления, Me [Q1–Q3]
Показатель | Группа ППИ (n = 17) | Группа асептической нестабильности эндопротеза (n = 49) | p* |
Лейкоциты, кл/мкл | <0,0001 | ||
ПЯН, % | <0,0001 | ||
СРБ, мг/л | 0,0007 | ||
Пресепсин, пг/мл | 0,3312 | ||
ИЛ-6, пг/мл | 0,0112 |
p* — уровень достоверности U-критерия Манна – Уитни.
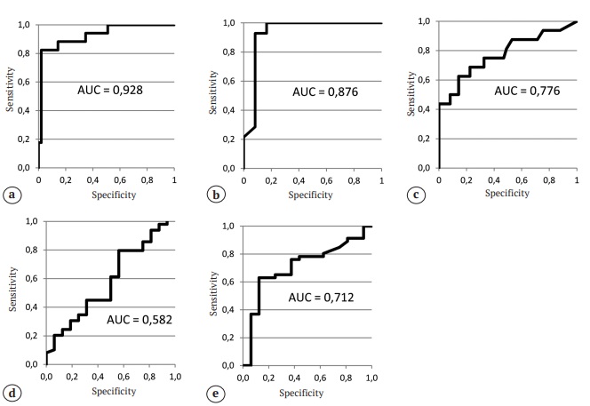
На рисунке 3 представлены ROC-кривые для определения значимости синовиальных маркеров (лейкоциты, палочкоядерные нейтрофилы (ПЯН)), СРБ, пресепсин и ИЛ-6) в диагностике ППИ. Площадь AUC под ROC-кривой графика чувствительности и специфичности варьирует от 0 до 1, показывая корреляцию исследуемого показателя с наличием ППИ. Чем ближе результат AUC к единице, тем выше информативность интегративного показателя.
Рис. 3. ROC-кривые для маркеров воспаления в синовиальной жидкости: а — лейкоциты; b — ПЯН; c — СРБ; d — пресепсин; e — ИЛ-6
Figure 3. ROC curves for inflammatory markers of the synovial fluid: a — leukocytes; b — band neutrophils; c — CRP; d — presepsin; e — IL-6
Показатели клеточного состава синовиальной жидкости (лейкоциты и ПЯН) обеспечивали большие различия между группами ППИ и асептической нестабильности с AUC 0,928 (ДИ 95%: 0,837–0,977; p<0,0001) и 0,876 (ДИ 95%: 0,772–0,945; p<0,0001) соответственно. В то же время среди исследуемых синовиальных маркеров воспаления наибольшей дифференциацией обладали СРБ с AUC 0,776 (ДИ 95%: 0,656–0,870; p = 0,0004) и ИЛ-6 с АИС 0,712 (ДИ 95%: 0,583–0,820; p = 0,0048). Пресепсин не обеспечивал достоверных различий в группах исследования (AUC 0,582; ДИ 95%: 0,453–0,703; p = 0,3344).
Получены пороговые значения СРБ, пресепсина, ИЛ-6 с чувствительностью, специфичностью и отрицательной прогностической ценностью (табл. 3).
Таблица 3
ROC-анализ параметров маркеров воспаления в синовиальной жидкости
Параметры статистики | Лейкоциты | ПЯН | СРБ | Пресепсин | ИЛ-6 |
Пороговые значения | 6250 кл/мкл | 76% | 5,6 мг/л | 1212 пг/мл | 988,5 пг/мл |
AUC (95% ДИ) | 0,928 (0,837–0,977) | 0,876 (0,772–0,945) | 0,776 (0,656–0,870) | 0,582 (0,453–0,703) | 0,712 (0,583–0,820) |
Чувствительность, % (95% ДИ) | 82,35 (56,57–96,20) | 81,32 (55,47–95,10) | 62,50 (35,43–84,80) | 43,75 (19,75–70,12) | 87,50 (61,65–98,45) |
Специфичность, % (95% ДИ) | 97,96 (89,15–99,95) | 95,92 (86,02–99,50) | 85,71 (72,76–94,06) | 79,59 (65,66–89,76) | 63,04 (46,5–76,23) |
Положительная прогностическая ценность, % | 93,33 | 87,50 | 58,82 | 41,18 | 45,16 |
Отрицательная прогностическая ценность, % | 94,12 | 94,00 | 87,50 | 81,25 | 93,55 |
Точность, % | 93,94 | 95,92 | 80,00 | 70,77 | 69,35 |
ОБСУЖДЕНИЕ
Культуральные методы диагностики инфекции, вне всякого сомнения, являются значимыми для определения тактики лечения пациентов с проблемами в области протезированных суставов. В реальной практике, по данным нашего недавнего исследования, доля отрицательных результатов микробиологического исследования при установленном диагнозе инфекционного осложнения может достигать 29,1% [7]. В таких случаях диагностика ППИ затруднена, поскольку клинические симптомы часто напоминают симптомы асептического расшатывания с неспецифической болью. Для предотвращения неоправданных оперативных вмешательств в случае ложноположительного диагноза ППИ важна правильная предоперационная диагностика. Кроме того, неспособность диагностировать ППИ до ревизионной операции может стать причиной одноэтапной ревизии без соответствующего лечения, что, скорее всего, приведет к рецидиву инфекции. Возрастающее количество исследований с попыткой определить наилучшую комбинацию лабораторных тестов для прогнозирования ППИ подчеркивает необходимость улучшения диагностики. Проанализировав данные зарубежной литературы, мы обратили внимание на потенциальные шансы синовиальных маркеров воспаления для диагностики ППИ в дополнение к известным алгоритмам.
Наилучшую прогностическую ценность, по данным исследования L. Qin с соавторами, имел синовиальный ИЛ-6 (с порогом 1855,36 пг/мл с чувствительностью 94,59% и специфичностью 92,86%), который в сочетании с сывороточным ИЛ-6 повышал точность диагностики ППИ до 96,77% [15]. В нашем исследовании мы не смогли подтвердить эти данные. Несмотря на это, синовиальный ИЛ-6 показал хорошие результаты — с порогом 988,5 пг/мл он имел самую высокую отрицательную прогностическую ценность (93,6%) в отличие от синовиальных СРБ и пресепсина.
Оценку роли пресепсина для диагностики ППИ проводили M.L. Delva с соавторами, пришедшие к выводу о том, что синовиальный пресепсин может служить потенциальным биомаркером ППИ. Несмотря на то, что данный маркер продемонстрировал AUC = 0,41, необходимы дальнейшие исследования для его соотнесения с другими лабораторными данными [16]. A. Busch с соавторами в своем проспективном исследовании определили пороговое значение пресепсина синовиальной жидкости выше 0,06 нг/мл с чувствительностью 29% и специфичностью 51% для диагностики ППИ и пришли к выводу, что пресепсин не подходит для исключения или диагностики ППИ [17]. В нашем исследовании синовиальный пресепсин также показал худшие результаты среди исследуемых синовиальных маркеров, не обеспечив достоверных различий в группах исследования.
Другим, не менее важным биомаркером ППИ, по результатам исследования, опубликованного J.L. Miamidian с соавторами, является синовиальный СРБ с оптимальным пороговым значением 4,45 мг/л для ППИ, который показывает чувствительность 86,1% и специфичность 87,1% [18]. В нашей небольшой проспективной когорте пациентов, перенесших ревизионную артропластику, использование синовиального СРБ явилось более точным маркером для выявления ППИ, чем количество ИЛ-6 или пресепсина в синовиальной жидкости. В 2018 г. американским обществом по скелетно-мышечной инфекции был предложен алгоритм диагностики ППИ, где одним из малых критериев являлся уровень синовиального СРБ с порогом 6,9 нг/мл [4]. Мы получили меньшие цифры порогового значения СРБ (5,6 нг/мл) и подтвердили его вспомогательную роль для диагностики ППИ.
Проведенное исследование подтвердило результаты других ученых о том, что среди всех синовиальных биомаркеров наибольшей точностью, чувствительностью и специфичностью обладают лейкоциты и палочкоядерные нейтрофилы [19]. Однако до сих пор нет единого мнения о пороговых значениях данных тестов, и разброс в показателях варьирует от 1100 до 4200 кл/мкл [20, 21, 22]. Мы получили пороговые значения лейкоцитов (6250 кл/мкл) и палочкоядерных нейтрофилов (76%), отличные от предложенных ранее другими авторами пороговых значений [20, 21, 22]. Причем единообразия в пороговых значениях лейкоцитарного состава синовиальной жидкости нет и в предложенном Европейским обществом по костно-суставным инфекциям (EBJIS, 2021) алгоритме диагностики ППИ, где предложено считать критерием вероятной инфекции диапазон лейкоцитов 1500–3000 кл/мкл [6]. В подобных сомнительных случаях расширение диагностики за счет таких простых и недорогих синовиальных маркеров, как СРБ и ИЛ-6, может помочь в подтверждении или исключении ППИ.
Ограничения исследования
Ограничением исследования являлась малая выборка пациентов в связи с исключением случаев, когда образцы синовиальной жидкости либо не были получены, либо были непригодны для исследования. Мы не использовали одноразовые стерильные мембранные фильтры для удаления посторонних примесей, хотя эту методику, вероятно, можно применять для очистки синовиального пунктата. При выборе фильтра стоит учитывать состав мембранных элементов — они не должны уменьшать активность синовиальных белков. Учитывая тот факт, что ввиду малой выборки в проспективном исследовании отсутствовали случаи сомнительной ППИ, предлагаемый нами диагностический порог рассчитан на основании данных пациентов с подтвержденной ППИ. Для подтверждения диагностической значимости полученных пороговых значений СРБ и ИЛ-6 необходимо продолжить исследование в группе пациентов с сомнительной ППИ на дооперационном этапе.
ЗАКЛЮЧЕНИЕ
Исследование синовиальной жидкости перед ревизионным эндопротезированием является важной составляющей дифференциальной диагностики ППИ и асептической нестабильности эндопротеза. Оценка клеточного состава (уровень синовиальных лейкоцитов и ПЯН) является наиболее точным и широко доступным методом исследования для диагностики ППИ. При пограничных значениях уровня синовиальных лейкоцитов для подтверждения ППИ в дополнение к оценке клеточного состава синовиальной жидкости можно рекомендовать использование таких простых и недорогих исследований, как определение уровня синовиальных СРБ и ИЛ-6.
ДОПОЛНИТЕЛЬНАЯ ИНФОРМАЦИЯ
Заявленный вклад авторов
Любимова Л.В. — научное руководство, концепция исследования, анализ и интерпретация данных, написание текста рукописи.
Павлова С.И. — научное руководство, редактирование текста рукописи.
Николаев Н.С. — концепция и дизайн исследования.
Любимов Е.А. — анализ и интерпретация данных, написание текста рукописи.
Пчелова Н.Н. — сбор данных, анализ и интерпретация данных, написание текста рукописи.
Емельянов В.Ю. — сбор и статистическая обработка данных, редактирование текста рукописи.
Все авторы прочли и одобрили финальную версию рукописи статьи. Все авторы согласны нести ответственность за все аспекты работы, чтобы обеспечить надлежащее рассмотрение и решение всех возможных вопросов, связанных с корректностью и надежностью любой части работы.
Источник финансирования. Авторы заявляют об отсутствии внешнего финансирования при проведении исследования.
Возможный конфликт интересов. Авторы декларируют отсутствие явных и потенциальных конфликтов интересов, связанных с публикацией настоящей статьи.
Этическая экспертиза. Не применима.
Информированное согласие на публикацию. Авторы получили письменное согласие пациентов на участие в исследовании и публикацию результатов.
Об авторах
Людмила Валентиновна Любимова
ФГБУ «Федеральный центр травматологии, ортопедии и эндопротезирования» Минздрава России (г. Чебоксары)
Автор, ответственный за переписку.
Email: borisova-80@mail.ru
ORCID iD: 0000-0002-5750-4459
Россия, г. Чебоксары
Светлана Ивановна Павлова
ФГБОУ ВО «Чувашский государственный университет им. И.Н. Ульянова»
Email: flavonoid@yandex.ru
ORCID iD: 0000-0001-9976-7866
д-р мед. наук, профессор
Россия, г. ЧебоксарыНиколай Станиславович Николаев
ФГБУ «Федеральный центр травматологии, ортопедии и эндопротезирования» Минздрава России (г. Чебоксары); ФГБОУ ВО «Чувашский государственный университет им. И.Н. Ульянова»
Email: nikolaev@orthoscheb.ru
ORCID iD: 0000-0002-1560-470X
д-р мед. наук, профессор
Россия, г. Чебоксары; г. ЧебоксарыЕвгений Александрович Любимов
ФГБУ «Федеральный центр травматологии, ортопедии и эндопротезирования» Минздрава России (г. Чебоксары)
Email: elyubimov@mail.ru
ORCID iD: 0000-0001-5262-0197
Россия, г. Чебоксары
Надежда Николаевна Пчелова
ФГБУ «Федеральный центр травматологии, ортопедии и эндопротезирования» Минздрава России (г. Чебоксары)
Email: nadyapchelova@mail.ru
ORCID iD: 0000-0001-9507-9118
Россия, г. Чебоксары
Владимир Юрьевич Емельянов
ФГБУ «Федеральный центр травматологии, ортопедии и эндопротезирования» Минздрава России (г. Чебоксары); ФГБОУ ВО «Чувашский государственный университет им. И.Н. Ульянова»
Email: vemelianov@mail.ru
ORCID iD: 0000-0003-1720-1741
Россия, г. Чебоксары; г. Чебоксары
Список литературы
- Gehrke T., Alijanipour P., Parvizi J. The management of an infected total knee arthroplasty. Bone Joint J. 2015;97-B(10 Suppl A):20-29. doi: 10.1302/0301-620X.97B10.36475.
- Tsang S.T.J., Gwynne P.J., Gallagher M.P., Simpson A.H.R.W. The biofilm eradication activity of acetic acid in the management of periprosthetic joint infection. Bone Joint Res. 2018;7(8):517-523. doi: 10.1302/2046-3758.78.BJR-2018-0045.R1.
- Romanò C.L., Khawashki H.A., Benzakour T., Bozhkova S., Del Sel H., Hafez M. et al. The W.A.I.O.T. Definition of High-Grade and Low-Grade Peri-Prosthetic Joint Infection. J Clin Med. 2019;8(5):650. doi: 10.3390/jcm8050650.
- Parvizi J., Tan T.L., Goswami K., Higuera C., Della Valle C., Chen A.F. et al. The 2018 Definition of Periprosthetic Hip and Knee Infection: An Evidence-Based and Validated Criteria. J Arthroplasty. 2018;33(5): 1309-1314.e2. doi: 10.1016/j.arth.2018.02.078.
- Della Valle C., Parvizi J., Bauer T.W., DiCesare P.E., Evans R.P., Segreti J. et al. American Academy of Orthopaedic Surgeons clinical practice guideline on: the diagnosis of periprosthetic joint infections of the hip and knee. J Bone Joint Surg Am. 2011;93(14):1355-1357. doi: 10.2106/JBJS.9314ebo.
- McNally M., Sousa R., Wouthuyzen-Bakker M., Chen A.F., Soriano A., Vogely H.C. et al. The EBJIS definition of periprosthetic joint infection. Bone Joint J. 2021;103-B(1):18-25. doi: 10.1302/0301-620X.103B1.BJJ-2020-1381.R1.
- Любимова Л.В., Божкова С.А., Пчелова Н.Н., Преображенская Е.В., Любимов Е.А. Роль культуронегативной инфекции в структуре инфекционных осложнений после эндопротезирования коленных суставов. Гений ортопедии. 2023;29(4):402-409. doi: 10.18019/1028-4427-2023-29-4-402-409. Lyubimova L.V., Bozhkova S.A., Pchelova N.N., Preobrazhenskaya E.V., Lyubimov E.A. The role of culture-negative infection among infectious complications after total knee arthroplasty. Genij Ortopedii. 2023;29(4):402-409. (In Russian). doi: 10.18019/1028-4427-2023-29-4-402-409.
- Fernandez-Sampedro M., Salas-Venero C., Fariñas-Álvarez C., Sumillera M., Pérez-Carro L., Fakkas-Fernandez M. et al. 26 Postoperative diagnosis and outcome in patients with revision arthroplasty for aseptic loosening. BMC Infect Dis. 2015;15:232. doi: 10.1186/s12879-015-0976-y.
- Osmon D.R., Berbari E.F., Berendt A.R., Lew D., Zimmerli W., Steckelberg J.M. et al. Diagnosis and management of prosthetic joint infection: clinical practice guidelines by the Infectious Diseases Society of America. Clin Infect Dis. 2013;56(1):e1-e25. doi: 10.1093/cid/cis803.
- Пантелеев А.Н., Божкова С.А., Тихилов Р.М., Каземирский А.В., Анисимова Л.О., Гузюкина С.А. и др. Экстренное гистологическое исследование в диагностике перипротезной инфекции при ревизионном эндопротезировании коленного сустава. Гений ортопедии. 2023;29(2):180-189. doi: 10.18019/1028-4427-2023-29-2-180-189. Panteleev A.N., Bozhkova S.A., Tikhilov R.M., Kazemirsky A.V., Anisimova L.O., Guzyukina S.A. et al. Emergency histological examination in diagnosis of periprosthetic joint infection in revision total knee arthroplasty. Genij Ortopedii. 2023;29(2):180-189. (In Russian). doi: 10.18019/1028-4427-2023-29-2-180-189.
- Marazzi M.G., Randelli F., Brioschi M., Drago L., Romanò C.L., Banfi G. et al. Presepsin: A potential biomarker of PJI? A comparative analysis with known and new infection biomarkers. Int J Immunopathol Pharmacol. 2018;31:394632017749356. doi: 10.1177/0394632017749356.
- Saleh A., Ramanathan D., Siqueira M.B.P., Klika A.K., Barsoum W.K., Rueda C.A.H. The Diagnostic Utility of Synovial Fluid Markers in Periprosthetic Joint Infection: A Systematic Review and Meta-analysis. J Am Acad Orthop Surg. 2017;25(11):763-772. doi: 10.5435/JAAOS-D-16-00548.
- Lee Y.S., Koo K.H., Kim H.J., Tian S., Kim T.Y., Maltenfort M.G. et al. Synovial Fluid Biomarkers for the Diagnosis of Periprosthetic Joint Infection: A Systematic Review and Meta-Analysis. J Bone Joint Surg Am. 2017;99(24):2077-2084. doi: 10.2106/JBJS.17.00123.
- Николаев Н.С., Пчелова Н.Н., Преображенская Е.В., Назарова В.В., Добровольская Н.Ю. «Неожиданные» инфекции при асептических ревизиях. Травматология и ортопедия России. 2021;27(3):56-70. doi: 10.21823/2311-2905-2021-27-3-56-70. Nikolaev N.S., Pchelova N.N., Preobrazhenskaya E.V., Nazarova V.V., Dobrovol’skaya N.Y. “Unexpected” Infections in Revision Arthroplasty for Aseptic Loosening. Traumatology and Orthopedics of Russia. 2021;27(3):56-70. (In Russian). doi: 10.21823/2311-2905-2021-27-3-56-70.
- Qin L., Li X., Wang J., Gong X., Hu N., Huang W. Improved diagnosis of chronic hip and knee prosthetic joint infection using combined serum and synovial IL-6 tests. Bone Joint Res. 2020;9(9):587-592. doi: 10.1302/2046-3758.99.BJR-2020-0095.R1.
- Delva M.L., Samuel L.T., Acuña A.J., Kamath A.F. Presepsin as a diagnostic biomarker of peri-prosthetic joint infection: a review of the literature. Eur J Orthop Surg Traumatol. 2023;33(4):695-700. doi: 10.1007/s00590-022-03232-z.
- Busch A., Jäger M., Engler H., Wasssenaar D., Bielefeld C., Wegner A. Diagnostic Accuracy of Synovial Neopterin, TNF-α and Presepsin in Periprosthetic Joint Infection: A Prospective Study. Z Orthop Unfall. 2022;160(3): 299-306. (In English). doi: 10.1055/a-1303-5105.
- Miamidian J.L., Toler K., McLaren A., Deirmengian C. Synovial Fluid C-reactive Protein Clinical Decision Limit and Diagnostic Accuracy for Periprosthetic Joint Infection. Cureus. 2024;16(1):e52749. doi: 10.7759/cureus.52749.
- Diniz S.E., Ribau A., Vinha A., Oliveira J.C., Abreu M.A., Sousa R. Simple and inexpensive synovial fluid biomarkers for the diagnosis of prosthetic joint infection according to the new EBJIS definition. J Bone Jt Infect. 2023;8(2):109-118. doi: 10.5194/jbji-8-109-2023.
- Ottink K.D., Strahm C., Muller-Kobold A., Sendi P., Wouthuyzen-Bakker M. Factors to Consider When Assessing the Diagnostic Accuracy of Synovial Leukocyte Count in Periprosthetic Joint Infection. J Bone Jt Infect. 2019;4(4):167-173. doi: 10.7150/jbji.34854.
- Zahar A., Lausmann C., Cavalheiro C., Dhamangaonkar A.C., Bonanzinga T., Gehrke T. et al. How Reliable Is the Cell Count Analysis in the Diagnosis of Prosthetic Joint Infection? J Arthroplasty. 2018;33(10):3257-3262. doi: 10.1016/j.arth.2018.05.018.
- Sousa R., Serrano P., Gomes Dias J., Oliveira J.C., Oliveira A. Improving the accuracy of synovial fluid analysis in the diagnosis of prosthetic joint infection with simple and inexpensive biomarkers: C-reactive protein and adenosine deaminase. Bone Joint J. 2017;99-B(3):351-357. doi: 10.1302/0301-620X.99B3.BJJ-2016-0684.R1.
Дополнительные файлы







