Endoscopic and percutaneous denervation of facet joints in the treatment of patients with degenerative lumbar deformities: comparative analysis
- Authors: Ptashnikov D.A.1,2, Masevnin S.V.1, Lim E.N.3, Normatov S.G.4
-
Affiliations:
- Vreden National Medical Research Center of Traumatology and Orthopedics
- Mechnikov North-Western State Medical University
- Surgemed Clinic
- Republican Research Centre of Emergency Medicine
- Issue: Vol 30, No 3 (2024)
- Pages: 65-74
- Section: СLINICAL STUDIES
- Submitted: 27.06.2024
- Accepted: 01.08.2024
- Published: 30.09.2024
- URL: https://journal.rniito.org/jour/article/view/17574
- DOI: https://doi.org/10.17816/2311-2905-17574
- ID: 17574
Cite item
Abstract
Background. At present, degenerative lumbar scoliosis is considered as the severest form of degenerative diseases of the spine. As a rule, it occurs at the final stage of the disease development. Advanced age of the patients, high comorbidity and poor bone tissue quality increase risk of complications development at any stage of the treatment. All things considered, the majority of specialists continue their search for minimally invasive surgeries able to improve the life quality of patients with such pathology.
Aim of the study — comparative analysis of the surgical treatment results of patients with degenerative lumbar deformities operated using percutaneous and endoscopic denervation techniques.
Methods. The study enrolled 58 patients: 42 (72.4%) women and 16 (27.6%) men. Median age accounted for 64 (60-69) years, minimum follow-up period — 2 years. In 28 cases, we performed endoscopic denervation of the lumbar facet joints at the apex of the deformity on both sides (group A), in 30 cases — percutaneous radiofrequency denervation in the appropriate volume (group В). Evaluation of the treatment effectiveness was based on the dynamics of pain syndrome (VAS), patients’ quality of life (ODI), as well as on the frequency of complications and repeated surgical interventions.
Results. Mean operative duration and radiation exposure were significantly higher in endoscopic intervention (p<0.001). Group A showed an earlier reduction in back pain syndrome compared to group B (p<0.001). Assessment of patients’ life quality by ODI showed a high degree of correlation with the level of back pain syndrome. Significant complications of the surgical treatment were not revealed in any patient of both groups. Repeated denervation was performed during the two-year follow-up period in 18 patients (60%) of group B and in 2 patients (7.1%) of group A (p<0.001). Analysis of the factors associated with the efficacy of percutaneous denervation showed the significance of deformation magnitude in the frontal plane. Efficiency of percutaneous treatment decreased at the deformity value of 30° and more with a sensitivity of 77% and specificity of 67%.
Conclusions. A more pronounced decrease in the intensity of back pain syndrome with preservation of the effect during the whole period of follow-up was noted in patients after endoscopic denervation. However, this was accompanied by a longer duration of intervention and radiation load. According to our data, low efficacy of percutaneous denervation is due to the use of this technique in patients with severe deformity of the lumbar spine.
Full Text
Introduction
Degenerative lumbar scoliosis is currently considered as the most severe form of degenera-tive spinal pathology, typically manifesting in the final stages of its progression. Surgical intervention in patients with degenerative scoliosis, following orthopedic approaches to correct deformity and restore the physiological profile of the spine, is often associated with a significant number of complications, both intra- and postoperative [1, 2, 3, 4]. The advanced age of such patients, combined with a high comorbidity and poor bone quality, increases the risk of complications at all stages of treatment [5, 6, 7, 8]. Furthermore, the high incidence of complications, particularly in the long-term, necessitates repeated operation with more extensive fixation, accompanied by increased risks of infection [7, 9, 10]. Given these circumstances, many specialists continue to search for minimally invasive techniques that can improve the quality of life for these patients [11, 12, 13, 14, 15]. Notably, pain is one of the most significant factors associated with reduced quality of life in patients with degenerative spinal deformities. Thus, interventional treatment targeting one of the sources of pain may significantly improve the quality of life for patients with degenerative scoliosis, while avoiding the high risk of complications typical for highly invasive surgical treatment [16]. Additionally, minimally invasive treatment aimed at reducing pain, even with temporary effect, allow for the implementation of anti-osteoporotic therapy, reducing the risk of serious complications following extensive decompressive stabilizing interventions [5, 6, 7, 8, 16].
In recent years, percutaneous denervation of the facet joints has become the gold standard for treating spondyloarthrosis [17, 18, 19]. A recent meta-analysis has demonstrated that radiofrequency denervation is effective for up to 12 months in reducing back pain caused by overload and inflammation of the facet joints [20]. Endoscopic rhizotomy represents an advancement of percutaneous puncture denervation [21]. This technique allows for direct visualization of anatomical structures and provides stable and prolonged pain relief through more complete and extensive denervation of the dorsal branch [22]. The advantage of directly visualizing the facet joint and dorsal nerve branch may be particularly crucial for patients with pathological changes in the posterior spinal structures due to degenerative deformity.
The aim of the study is to compare the outcomes of surgical treatment in patients with degenerative deformities of the lumbar spine following either puncture or endoscopic denervation of the facet joints.
Methods
Study design
This retrospective study evaluated the surgical outcomes of 58 patients who underwent surgical treatment between 2018 and 2022.
The cohort consisted of 42 (72.4%) women and 16 (27.6%) men, with a median age of 64 years (range: 60-69).
Inclusion criteria: presence of degenerative deformity of the lumbar spine in the frontal plane exceeding 10°, surgical treatment involving facet joint denervation, and a follow-up period of no less than two years.
Exclusion criteria: presence of severe scoliotic deformities requiring decompressive stabilizing interventions, malignant tumors, spinal infections, or prior surgery for this pathology.
Patients were divided into two groups based on the type of operation performed.
Group А: endoscopic rhizotomy of the dorsal branch for facet joint denervation.
The surgical procedures in this group were performed using Joimax endoscopic instruments. After preliminary radiographic marking, a skin incision of up to 0.7 cm was made at the base of the transverse process. The subcutaneous fat tissue and fascia were then incised. Under radiographic control, guides of increasing diameters were sequentially inserted into the base of the transverse process, followed by the introduction of the endoscope tube. Under visual control, the denervation of the facet joint at the base of the transverse process was carried out using an endoscopic electrocautery, raspatory, and scissors by directly rhizotomizing the dorsal branch of the spinal nerve. If necessary, access to adjacent facet joints was achieved by inclining the tube caudally or cranially at an average angle of 45-60°.
Group B: puncture denervation of the facet joints via radiofrequency ablation of the dorsal branch.
In this group, surgery was performed using Cosman 4G radiofrequency generator. Under radiographic control, 20G guide cannulas with a tip of 5 mm were placed at the levels of interest so that the tip of the cannula was positioned at the center of the transverse process base. Next, a radiofrequency ablation electrode was inserted into each cannula for sensory and motor testing to confirm the correct positioning. If necessary, the position of the guide cannulas was adjusted under radiographic control (Figure 1).
Figure 1. Percutaneous radiofrequency denervation of facet joints. Radiological intraoperative control of the position of the guiding cannulae
In both groups, preoperative parameters such as the magnitude of the main deformity curve in the frontal plane (measured using Cobb’s method) and the degree of sagittal imbalance relative to the sagittal vertical axis (SVA) were assessed.
Outcome assessment
Treatment outcomes were assessed based on changes in the intensity of back pain (according to the Visual Analog Scale (VAS)) and the quality of life (using the Oswestry Disability Index (ODI)). Data were analyzed based on patient-completed assessment scales during follow-up visits in the first two years post-surgery.
Statistical analysis
Statistical analysis was performed using IBM SPSS Statistics v. 23 software. Numerical data were presented as median (Me) [Q1; Q3]. Normality of distribution was assessed using the Kolmogorov-Smirnov and Shapiro-Wilk tests. Comparative analysis of independent variables between groups was carried out using the Mann-Whitney U test. Binary and categorical data were evaluated using Pearson’s chi-square test and Fisher’s exact test. The statistical significance of factors and their impact on treatment efficacy were assessed via logistic regression analysis. Differences were considered statistically significant at p<0.05.
Results
The comparability of the study groups was assessed based on the distribution of patients by gender, age, mean body mass index (BMI), degree of scoliotic curve deformation, sagittal balance disturbance, and preoperative back pain levels. Additionally, the number of denervation levels was evaluated (Table 1).
Table 1. Characteristics of patients in the study groups
Parameter | Total (n=58) | Group A (n=28) | Group B (n=30) | p |
Gender: | ||||
male | 16 (100%) | 6 (38%) | 10 (62%) | 0.319* |
female | 42 (100%) | 22 (52%) | 20 (48%) | |
Age, years | 64 (60-69) | 65.5 (63.0-71.5) | 62.5 (59.8-68.0) | 0.107** |
BMI | 29 (26.8-31.0) | 29 (27.0-30.8) | 29 (26-31) | 0.814** |
Magnitude of the main deformity curve, deg. | 29.5 (20.8-36.0) | 27 (20.3-36.0) | 32 (20.8-36.0) | 0.553** |
Sagittal vertical axis, (SVA) deviation | 58.5 (45-85) | 57.5 (45.0-88.8) | 58.5 (48.8-81.3) | 0.932** |
Pain syndrome (VAS) | 6 (5-7) | 6 (5-7) | 6.5 (5-7) | 0.717** |
Number of denervation levels | 5 (4-5) | 5 (4-5) | 5 (4-6) | 0.363** |
* − Pearson’s chi-square test; ** − using the Mann-Whitney U test.
The primary analysis of the preoperative distribution of the studied parameters did not reveal statistically significant differences between the groups, allowing for a comparative analysis of treatment outcomes.
Statistically significant differences were identified in the duration of surgery and intraoperative radiation exposure. The mean duration of the inpatient postoperative phase did not show statistically significant differences between the groups (Table 2).
Table 2. Analysis of the main intraoperative indicators and the average length of hospital stay
Parameter | Group A (n=28) | Group B (n=30) | р* |
Surgery duration, minutes | 70 (60-80) | 40 (30-40) | <0.001 |
Radiation exposure, mSv | 1 (1-1) | 3 (3-4) | <0.001 |
Inpatient postoperative phase, days | 1 (1.0-1.8) | 1 (1-1) | 0,056 |
* − using the Mann-Whitney U test.
Analysis of the dynamics of back pain levels revealed a statistically significant reduction in pain intensity one month after endoscopic intervention (Group A) and three months after treatment in both groups (p<0.001). Analysis of later outcomes (3 months and beyond) demonstrated a lower mean pain intensity in Group A (p<0.001) (Figure 2).
Figure 2. Dynamics of back pain syndrome after surgical treatment
Furthermore, during the first three months post-intervention, no reduction in pain levels was observed in 8 (26.7%) patients after percutaneous radiofrequency (RF) denervation. A slight reduction in pain intensity (no more than 1 point on the VAS) was noted in 10 (33.3%) patients following percutaneous RF denervation. In contrast, in Group A, only 2 (7.1%) patients reported a slight reduction in pain during the first three months.
The average disability index (according to ODI) also showed a significant tendency to decrease from the first month postoperatively in Group A and from the third month in Group B (p<0.001). However, in Group B, there was a tendency for quality of life to worsen one year after surgery (p<0.001) (Figure 3).
Figure 3. Dynamics of patients’ quality of life after surgical treatment
A correlation analysis revealed a strong inverse relationship (p = -0.762) between the intensity of back pain and the disability index (Table 3).
Table 3. A correlation analysis of the factors
Factors | Pain syndrome level | Quality of life | |
Pain syndrome level | Pearson correlation | 1 | -0.762 |
Significance (two-tailed) | - | <0.001 | |
Quality of life | Pearson correlation | -0.762 | 1 |
Significance (two-tailed) | <0.001 | - | |
These findings may suggest a high dependence of quality of life in patients with degenerative spinal deformities on the severity of back pain.
No significant complications were identified that affected the length of hospital stay or required reoperation or prolonged specific conservative treatment. However, an analysis of the frequency and structure of reoperations during the two-year follow-up period revealed significant differences between the study groups (Table 4).
Table 4. Analysis of the structure and frequency of reoperations during 24 months
Reoperation | Group A (n=30) | Group B (n=30) | р* |
Denervation: | 2 (7.1%) | 18 (60%) | <0.001 |
- endoscopic | 2 (100%) | 12 (66.7%) | <0.001 |
- percutaneous RFD | 0 (0%) | 6 (33.3%) | <0.001 |
Decompression | 3 (10.7%) | 3 (10%) | 0.929 |
Stabilization | 1 (3.6%) | 2 (6.7%) | 0.598 |
* − using the Mann-Whitney U test.
Re-denervation due to primary surgery failure or reinnervation of the facet joints was performed in 60% of patients in Group B, which is 8.5 times higher than in Group A. The frequency of decompressive and decompressive stabilizing operations during the two-year follow-up period did not significantly differ between the groups.
Given the high number of unsatisfactory outcomes in Group B, we conducted an assessment of factors that may influence the effectiveness of percutaneous radiofrequency denervation of the facet joints in this patient cohort.
The analysis included the following factors: gender, age, BMI, degree of frontal plane deformity, sagittal imbalance, number of denervation levels, and preoperative pain level.
Logistic regression analysis of these factors revealed a significant effect of frontal plane deformity on the effectiveness of this surgical technique (Table 5).
Table 5. A logistic regression analysis of the factors affecting the effectiveness of percutaneous RFD
Factor | p | OR | 95% CI |
Gender | 0.949 | 0.99 | 0.65-1.50 |
Age | 0.398 | 0.99 | 0.97-1.01 |
BMI | 0.412 | 1.64 | 1.58-1.72 |
Deformity magnitude | 0.004 | 1.11 | 1.01-1.24 |
SVA | 0.363 | 0.65 | 0.61-0.82 |
Number of RFD levels | 0.420 | 0.84 | 0.55-1.28 |
Preoperative pain level | 0.211 | 0.29 | 0.11-0.37 |
OR – odds ratio; SVA – sagittal vertical axis deviation.
The analysis confirmed the influence of frontal plane deformity on the effectiveness of percutaneous RF denervation of the facet joints. An increase of 1° in the Cobb angle increases the risk of RF denervation failure by 1.11 times (or 11%) (p = 0.004; OR 1.11; 95% CI 1.01-1.24).
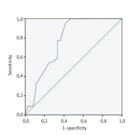
The threshold value of the deformity, at which a significant reduction in RF denervation effectiveness was observed, was determined based on ROC curve analysis with a significant p-value of <0.001 and an area under the curve (AUC) of 0.770 (95% CI 0.650-0.889) (Figure 4).
Figure 4. ROC-curve for the deformity value
The threshold deformity value, beyond which the effectiveness of facet joint RF denervation significantly declines, is 29.5°, with a sensitivity of 77% and specificity of 67%.
Discussion
Degenerative lumbar scoliosis is typically characterized by severe pain, which intensifies with minimal axial load. The incidence of lumbar pain in patients with degenerative scoliosis reaches up to 90% [9, 13, 23]. A notable feature of this pain is its polyetiological nature and resistance to conservative treatment. The primary causes of back pain in patients with degenerative scoliotic deformities include inflammatory degenerative processes affecting the lumbar facet joints and intervertebral disci, instability of spinal motion segments, as well as disruption of the global spinal balance, which engages compensatory mechanisms that eventually become exhausted. Each of these pathological conditions leads to facet joint overload and, consequently, an increase in back pain [24].
Percutaneous puncture denervation of the facet joints is currently the widely accepted minimally invasive treatment method for back pain caused by spondyloarthrosis [19, 20]. However, there is limited literature on the effectiveness of this method in patients with degenerative spinal deformities.
Our study demonstrated that the intensity of back pain decreases more rapidly after endoscopic intervention, and the beneficial effects of the endoscopic treatment were maintained throughout the two-year follow-up period. In contrast, percutaneous RF denervation of the facet joints showed either no effect or only a minor reduction in back pain in 60% (18 patients) of cases. Additionally, patients in this group exhibited negative dynamics, with an increase in average back pain scores within 12 months post-surgery. This could be attributed to the reinnervation of facet joints, leading to the recurrence of pain.
Several authors also link the temporary effects of RF denervation to the regeneration of the medial branch after the procedure [20, 25, 26]. Furthermore, anatomical studies have demonstrated various pathways of the medial branch, as well as ossification of the mamillo-accessory ligament (lig. mamillo-accessorium – MAL), which, combined with altered facet joint anatomy in patients with degenerative spinal deformities, may reduce the effectiveness of radiofrequency ablation [27, 28]. In such cases, better treatment outcomes may be achieved through endoscopic denervation. A retrospective study by A.M. Meredji et al., involving 33 patients with facet syndrome, reported 97.4% excellent, good, and satisfactory results following endoscopic denervation [22]. However, to date, there is no comprehensive data on the effectiveness of facet joint denervation, either percutaneous or endoscopic, in patients with degenerative lumbar scoliosis.
In this study, patients' quality of life showed a strong correlation with back pain and mirrored this tendency throughout the two-year follow-up period. Additionally, repeated denervation of the facet joints after percutaneous procedures was performed 8.5 times more frequently than after endoscopic interventions.
The analysis of the causes of unsatisfactory treatment outcomes following percutaneous denervation revealed a statistically significant impact of frontal plane deformity on the effectiveness of this method. A threshold deformity value of 29.5° was identified, beyond which the effectiveness of percutaneous RF denervation significantly decreased. This dependency is likely due to the technical challenges in placing guides caused by vertebral rotation, as well as pronounced deformity and hypertrophy of the facet joints.
Conclusions
Given the significant correlation between the quality of life and back pain, minimally invasive techniques aimed at reducing pain intensity can be considered a promising approach in the comprehensive treatment of patients with degenerative spinal deformities. However, the effectiveness of standard percutaneous radiofrequency denervation is substantially lower than endoscopic interventions in cases where lumbar deformity exceeds 30°.
Disclaimers
Author contribution
Ptashnikov D.A. — study concept and design.
Masevnin S.V. — study concept, data analysis and interpretation, statistical data processing, drafting and editing the manuscript.
Lim E.N. — literature search and review, statistical data processing, drafting and editing the manuscript.
Normatov S.G. — iterature search and review, statistical data processing, drafting and editing the manuscript.
All authors have read and approved the final version of the manuscript of the article. All authors agree to bear responsibility for all aspects of the study to ensure proper consideration and resolution of all possible issues related to the correctness and reliability of any part of the work.
Funding source. This study was not supported by any external sources of funding.
Disclosure competing interests. The authors declare that they have no competing interests.
Ethics approval. Not applicable.
Consent for publication. The authors obtained written consent from patients to participate in the study and publish the results.
About the authors
Dmitrii A. Ptashnikov
Vreden National Medical Research Center of Traumatology and Orthopedics; Mechnikov North-Western State Medical University
Email: drptashnikov@yandex.ru
ORCID iD: 0000-0001-5765-3158
Dr. Sci. (Med.), Professor
Russian Federation, St. Petersburg; St. PetersburgSergey V. Masevnin
Vreden National Medical Research Center of Traumatology and Orthopedics
Author for correspondence.
Email: drmasevnin@gmail.com
ORCID iD: 0000-0002-9853-7089
SPIN-code: 5505-2641
Cand. Sci. (Med.)
Russian Federation, St. PetersburgEvgeniy N. Lim
Surgemed Clinic
Email: evgeniy.citco.urgench@gmail.com
ORCID iD: 0009-0001-6774-0818
Uzbekistan, Urgench
Sarvar G. Normatov
Republican Research Centre of Emergency Medicine
Email: sarvarnormatov0@gmail.com
ORCID iD: 0009-0008-3034-6631
Uzbekistan, Urgench
References
- Крутько А.В., Дурни П., Васильев А.И., Булатов А.В. Минимально-инвазивные технологии в хирургическом лечении дегенеративного поясничного сколиоза взрослых. Хирургия позвоночника. 2014;(4):49-56. Krutko A.V., Durni P., Vasiliev A.I., Bulatov A.V. Minimally invasive technologies in the surgical treatment of degenerative lumbar scoliosis in adults. Spine Surgery. 2014;(4):49-56. (In Russian).
- Uribe J.S., Deukmedjian A.R., Mummaneni P.V., Fu K.M., Mundis G.M. Jr., Okonkwo D.O. et al. Complications in adult spinal deformity surgery: an analysis of minimally invasive, hybrid, and open surgical techniques. Neurosurg Focus. 2014;36(5):E15. doi: 10.3171/2014.3.FOCUS13534.
- Glassman S.D., Dimar J.R. 2nd, Carreon L.Y. Revision Rate After Adult Deformity Surgery. Spine Deform. 2015;3(2):199-203. doi: 10.1016/j.jspd.2014.08.005.
- Михайлов Д.А., Пташников Д.А., Масевнин С.В., Смекаленков О.А., Заборовский Н.С., Лапаева О.А. и др. Pезультаты лечения пациентов пожилого и старческого возраста с дегенеративными деформациями и нестабильностью позвоночника. Травматология и ортопедия России. 2017;23(2):15-26. doi: 10.21823/2311-2905-2017-23-2-15-26. Mikhailov D.A., Ptashnikov D.A., Masevnin S.V., Smekalenkov O.A., Zaborovsky N.S., Lapaeva O.A. et al. Results of treatment of elderly and senile patients with degenerative deformities and instability of the spine. Traumatology and Orthopedics of Russia. 2017;23(2):15-26. (In Russian). doi: 10.21823/2311-2905-2017-23-2-15-26.
- Wang H., Zhang Z., Qiu G., Zhang J., Shen J. Risk factors of perioperative complications for posterior spinal fusion in degenerative scoliosis patients: a retrospective study. BMC Musculoskelet Disord. 2018;19(1):242. doi: 10.1186/s12891-018-2148-x.
- Linzey J.R., Lillard J., LaBagnara M., Park P. Complications and Avoidance in Adult Spinal Deformity Surgery. Neurosurg Clin N Am. 2023;34(4):665-675. doi: 10.1016/j.nec.2023.06.012.
- Lafage R., Bass R.D., Klineberg E., Smith J.S., Bess S., Shaffrey C. et al. Complication Rates Following Adult Spinal Deformity Surgery: Evaluation of the Category of Complication and Chronology. Spine (Phila Pa 1976). 2024;49(12):829-839. doi: 10.1097/BRS.0000000000004969.
- DeWald C.J., Stanley T. Instrumentation-related complications of multilevel fusions for adult spinal deformity patients over age 65: surgical considerations and treatment options in patients with poor bone quality. Spine (Phila Pa 1976). 2006;31(19 Suppl):S144-151. doi: 10.1097/01.brs.0000236893.65878.39.
- Kelly A., Younus A., Lekgwara P. Adult degenerative scoliosis – A literature review. Interdisciplinary Neurosurg. 2020;(20):100661. doi: 10.1016/j.inat.2019.100661.
- Wong E., Altaf F., Oh L.J., Gray R.J. Adult Degenerative Lumbar Scoliosis. Orthopedics. 2017;40(6):e930-e939. doi: 10.3928/01477447-20170606-02.
- Заборовский Н. С., Денисов А. А., Михайлов Д. А. Оценка ожиданий пациентов при хирургическом лечении дегенеративно-дистрофических заболеваний пояснично-крестцового отдела позвоночника. Хирургия позвоночника. 2023;20(3):34-42. doi: 10.14531/ss2023.3.34-42. Zaborovsky N.S., Denisov A.A., Mikhailov D.A. Assessment of patient expectations during surgical treatment of degenerative diseases of the lumbosacral spine. Spine Surgery. 2023;20(3):34-42. (In Russian). doi: 10.14531/ss2023.3.34-42.
- Яриков А.В., Денисов А.А., Смирнов И.И. Дегенеративный сколиоз позвоночника у пациентов старшей возрастной группы: диагностика, классификация и хирургический подход. Клиническая практика. 2021;12(3):90-103. doi: 10.17816/clinpract66692. Yarikov A.V., Denisov A.A., Smirnov I.I. Degenerative scoliosis of the spine in patients of the older age group: diagnosis, classification and surgical approach. Clinical Practice. 2021;12(3):90-103. (In Russian). doi: 10.17816/clinpract66692.
- Passias P.G., Brown A.E., Bortz C., Pierce K., Alas H., Ahmad W. et al. International Spine Study Group. A Risk-Benefit Analysis of Increasing Surgical Invasiveness Relative to Frailty Status in Adult Spinal Deformity Surgery. Spine (Phila Pa 1976). 2021;46(16):1087-1096. doi: 10.1097/BRS.0000000000003977.
- Kim H.J., Yang J.H., Chang D.G., Lenke L.G., Suh S.W., Nam Y. et al. Adult Spinal Deformity: A Comprehensive Review of Current Advances and Future Directions. Asian Spine J. 2022;16(5):776-788. doi: 10.31616/asj.2022.0376.
- Patel R.V., Yearley A.G., Isaac H., Chalif E.J., Chalif J.I., Zaidi H.A. Advances and Evolving Challenges in Spinal Deformity Surgery. J Clin Med. 2023; 12(19):6386. doi: 10.3390/jcm12196386.
- Ryu W.H.A., Cheong M., Platt A., Moses Z., O’Toole J.E., Fontes R. et al. Patient Satisfaction Following Minimally Invasive and Open Surgeries for Adult Spinal Deformity. World Neurosurg. 2021;155:e301-e314. doi: 10.1016/j.wneu.2021.08.047.
- Волков И.В., Карабаев И.Ш., Пташников Д.А. Возможности ультразвуковой навигации для радиочастотной денервации межпозвонковых суставов поясничного отдела позвоночника. Травматология и ортопедия России. 2017;23(4):29-38. doi: 10.21823/2311-2905-2017-23-4-29-38. Volkov I.V., Karabaev I.Sh., Ptashnikov D.A. Possibilities of ultrasonic navigation for radiofrequency denervation of intervertebral joints of the lumbar spine. Traumatology and Orthopedics of Russia. 2017;23(4):29-38. (In Russian). doi: 10.21823/2311-2905-2017-23-4-29-38.
- Гуща А.О., Герасимова Е.В., Вершинин А.В. Методы интервенционного лечения болевого синдрома при дегенеративно-дистрофических изменениях позвоночника. Анналы клинической и экспериментальной неврологии. 2020;14(1):78-88. Gushcha A.O., Gerasimova E.V., Vershinin A.V. Methods of interventional treatment of pain syndrome with degenerative-dystrophic changes in the spine. Annals of Clinical and Experimental Neurology. 2020;14(1):78-88. (In Russian).
- Cohen S.P., Bhaskar A., Bhatia A., Buvanendran A., Deer T., Garg S. et al. Consensus practice guidelines on interventions for lumbar facet joint pain from a multispecialty, international working group. Reg Anesth Pain Med. 2020;45(6):424-467. doi: 10.1136/rapm-2019-101243.
- Lee C.H., Chung C.K., Kim C.H. The efficacy of conventional radiofrequency denervation in patients with chronic low back pain originating from the facet joints: a meta-analysis of randomized controlled trials. Spine J. 2017;17(11):1770-1780. doi: 10.1016/j.spinee.2017.05.006.
- Li Z.Z., Hou S.X., Shang W.L., Song K.R., Wu W.W. Evaluation of endoscopic dorsal ramus rhizotomy in managing facetogenic chronic low back pain. Clin Neurol Neurosurg. 2014;126:11-17. doi: 10.1016/j.clineuro.2014.08.014.
- Мереджи А.М., Орлов А.Ю., Назаров А.С., Лалаян Т.В., Сингаевский С.Б., Берснев В.П. Перкутанная полностью эндоскопическая денервация фасеточных суставов поясничного отдела позвоночника. Российский нейрохирургический журнал имени профессора А.Л. Поленова. 2020;12(1):31-37. Mereji A.M., Orlov A.Yu., Nazarov A.S., Lalayan T.V., Singaevsky S.B., Bersnev V.P. Percutaneous fully endoscopic denervation of the facet joints of the lumbar spine. Russian Neurosurgical Journal named after professor A.L. Polenov. 2020;12(1):31-37. (In Russian).
- Tannoury T., Haddadi K., Kempegowda H., Kadam A., Tannoury C. Role of Minimally Invasive Spine Surgery in Adults with Degenerative Lumbar Scoliosis: a Narrative Review. Iran J Neurosurg. 2017;3(2):39-50. doi: 10.29252/irjns.3.2.39.
- Filippiadis D.K., Kelekis A. A review of percutaneous techniques for low back pain and neuralgia: current trends in epidural infiltrations, intervertebral disk and facet joint therapies. Br J Radiol. 2016;89:20150357. doi: 10.1259/bjr.20150357.
- van Wijk R.M., Geurts J.W., Wynne H.J., Hammink E., Buskens E. et al. Radiofrequency denervation of lumbar facet joints in the treatment of chronic low back pain: a randomized, double-blind, sham lesion-controlled trial. Clin J Pain. 2005;21(4):335-344. doi: 10.1097/01.ajp.0000120792.69705.c9.
- Saito T., Steinke H., Miyaki T., Nawa S., Umemoto K., Miyakawa K. et al. Analysis of the posterior ramus of the lumbar spinal nerve: the structure of the posterior ramus of the spinal nerve. Anesthesiology. 2013;118(1):88-94. doi: 10.1097/ALN.0b013e318272f40a.
- Georgetti L., Sims A., Focht A., Elcock J., Nixon-Cave K., Amabile A. Participation in an Advanced Anatomy Capstone Project Facilitates Student Involvement in the Development of an Instructional Tool for Novel Dissection. Education Research International. 2021:1-9. doi: 10.1155/2021/6681994.
- Юрковский A.M. Межпоперечные и трансфораминальные связки: анатомический базис для лучевого диагноста (обзор литературы). Проблемы здоровья и экологии. 2011;(1):15-19. Yurkovskiy A.M. Intertransverse ana transforaminal ligaments: anatomical basis for a radiologist (literature review). Health and Ecology Issues. 2011;(1):15-19. (In Russian).
Supplementary files








