Classification of Proximal Tibial Fractures and Algorithm of Intramedullary Nailing: Efficacy Evaluation
- Authors: Semenistyy A.A.1, Litvina E.A.2,3, Mironov A.N.4
-
Affiliations:
- Moscow City Clinical Hospital №13
- Russian Medical Academy of Continuous Professional Education
- Inozemtcev Moscow City Clinical Hospital
- Moscow City Clinical Hospital No13
- Issue: Vol 27, No 4 (2021)
- Pages: 42-52
- Section: СLINICAL STUDIES
- Submitted: 10.11.2021
- Accepted: 08.12.2021
- Published: 29.12.2021
- URL: https://journal.rniito.org/jour/article/view/1699
- DOI: https://doi.org/10.21823/2311-2905-1699
- ID: 1699
Cite item
Abstract
Background: Intramedullary nailing of proximal tibial fractures is challenging due to difficulties with fracture reduction and achievement of stable fixation. Preoperative planning based on proximal fragment length, fracture pattern and bone quality evaluation is a prerequisite for a successful operation. However, there is no classification that could adequately access these factors and guide us towards the most effective methods of fracture reduction and fixation with intramedullary nail.
The purpose of this study was to evaluate a classification of extra-articular proximal tibial fractures and algorithm for intramedullary nailing in clinical conditions.
Methods: We compared the treatment outcomes before (Group 1) and after (Group 2) the introduction of the new PFL-TN classification algorithm of intramedullary nailing of proxamal tibial fractures. The group 1 included 43 patients from 18 to 71 years old (males — 28; females — 15; average age — 44.5±2.0 years). The group 2 included 42 patients from 18 to 72 years old (males — 30; females — 12; average age — 46.1±2.0 years). The data analysis was carried out after a minimum follow-up period of 12 months. The results were analyzed by the following criteria: reduction quality assesed with reduction quality scale, number of complications, quality of life with SF-36 questionnaire and leg function with LEFS scale.
Results: The introduction of the proposed algorithm allowed to reduce the number of late complications by more than 5 times, and the number of required additional surgical interventions by more than 4 times compared to with a control group. The introduction of the proposed algorithm made it possible to improve the functional outcomes 1 year after surgery from 83.58 to 93.29% (p = 0.00002) by the LEFS scale, and the patients’ quality of life from the 77.50±1.88 to 86.71±2.03 points (p = 0.00072) and from the 81.25±1.88 to 86.84±2.26 points (p = 0.00116) by the physical and role functioning scales SF-36 questionnaire.
Conclusions: The proposed algorithm, based on the new classification, allows to optimize the surgical technique of intramedullary nailing of proximal tibial fractures.
Full Text
Background
Intramedullary nailing of proximal tibial fractures has several biological and biomechanical advantages compared to external osteosynthesis and does not induce the development of adjacent joint contractures and decreased quality of life, which is noted using the Ilizarov apparatus [1, 2, 3, 4, 5]. However, a significant limitation of this method includes the difficulty of achieving and maintaining the fragment reduction [6]. The literature revealed that the malunion rate reaches 84%; therefore, many authors do not recommend this method for the treatment of proximal tibial fractures [7, 8, 9].
The choice of the correct nail insertion point, the use of specialized nails with a more proximal Herzog bend, and the use of special surgical techniques which improve the quality of reduction, such as poller screws and wires, nailing in semi-extended knee joint, and fixator-assisted osteosynthesis, are powerfull tools for intramedullary nailing of proximal tibial fracture [10, 11, 12, 13]. Locking the nail with at least three screws, using poller screws, screws with angular stability, and nails of larger diameter can increase the fixation stability [14, 15, 16, 17, 18].
Particular attention should be paid to preoperative planning, which adequately assesses the possibility of achieving stable proximal fragment fixation, depending on the fracture type [19]. The length of the proximal fragment is a key factor in determining the indications for intramedullary nailing and the choice of the optimal nail design. However, none of the existing classifications objectively assess this factor and, accordingly, determine the approach of treatment based on the fracture type [11, 20, 21].
This study aimed to evaluate the efficacy of the clinical application of the classification and algorithm developed by the authors for performing intramedullary nailing of extra-articular fractures of the proximal tibia.
Methods
The retrospective-prospective comparative cohort study was performed.
Proximal Fragment Length Classification for Tibial Nailing (PFL-TN)
In the current study we used the Proxial Fragment Length Classification for Tibial Nailing (PFL-TN) , developed in our medical institution for preoperative planning of intramedullary nailing,. The classification takes into account all types of extra-articular proximal tibial fractures, which are divided into four types.
Type I include all fractures of the proximal third tibia diaphysis which can be fixed with any tibial nail having three holes for proximal locking. Fracture reduction in this group can be challenging, especially when the knee joint is flexed, thus special surgical techniques described in this study are required. In these fractures the fixaction stability with intramedullary nail is comparable to diaphyseal fractures. Type II is represented by fractures of the proximal third tibia above the site of the metaphyseal bone narrowing. The length of the proximal fragment for fractures of this type is sufficient to lock the nail with four screws, thus nails with four holes for proximal locking should be preferred. The use of poller screws in both distal and proximal fragments improves the fixation stability.
Type III fractures are similar to type II fractures; however, they are distinguished by the technical impossibility of locking with four screws. The preference shoul be done for specialized nails with three holes for proximal llocking at the shortest possible distance from the nail top. The use of several poller screws in both the proximal and distal fragments is of great importance in type III fractures.
Type IV fractures have an extremely short proximal fragment; therefore, performing proximal nail locking with three screws is technically impossible. Thus, we do not recommend intramedullary nailing for such fractures. In type IV segmental fractures, the combined use of plate fixation and intramedullary nailing provides good clinical results [22].
Each type of fracture is divided into subtypes, namely, “A” which implies simple fractures, “B” for wedge-shaped, and “C” for comminuted fractures. In segmental fractures, after the capital letter (A, B, C), an additional uppercase letter “s” is written when coding the type of fracture (Fig. 1).
Fig. 1. PFL-TN Classification: I–IV — types; A–C — subtypes; s — segmental fracture
Intramedullary nailing algorithm
For intramedullary nailing, an algorithm was used to choose the most appropriate intramedullary fixator and its diameter, as well as proximal locking options depending on the type of fracture according to PFL-TN and bone quality (Fig. 2).
Fig. 2. The algorithm for choosing the intramedullary nail depending on PFL-TN fracture type
Osteoporosis is an indication for using specialized screws with angular stability [17]. In the current study we did not perform DEXA scan to detect osteoporosis. Intramedullary nailing was performed, considering the proximal locking recommendations for patients with osteoporosis in the patients with: low-energy injury, radiological signs of osteoporosis, and poor bone tissue quality.
The developed algorithm implies the use of the most effective techniques to achieve excellent reduction in intramedullary nailing of proximal tibial fractures, such as nailing in semi-extended knee position, fixator-assisted nailing (FAN), and the use of poller wires.
The infrapatellar approach was preferred in group 1, whereas semi-extended knee joint approaches (parapatellar and suprapatellar) in group 2 (Table 1). When performing the infrapatellar approach in group 2, FAN was used in all cases.
Table 1. Surgical approaches in groups 1 and 2
Approach | Group 1 | Group 2 |
Infrapatellar | 26 | 8 |
Suprapatellar | 15 | 29 |
Parapatellar | 2 | 5 |
FAN was not used in group 1. In group 2 we used the FAN according to the described technique by the authors in 32 (68.7%) patients [23].
In group 2 Poller wires were used in all cases on the side of deformity in the sagittal and frontal planes. In cases where the poller wires were bent after the nail insertion, we considered them to be stressed. Removal of stressed poller wires in fractures of types II and III, even after locking the nail, leads to fracture displacement; therefore, this factor was considered when determining the indications for poller screw insertion.
When choosing the method of proximal nail locking, the algorithm presented in Figure 3 was used.
Fig. 3. The algorithm for choosing the method of proximal nail locking depending on PFL-TN fracture type
A comparative analysis of treatment results of patients before (retrospective group) and after (prospective group) the introduction of the intramedullary nailing algorithm was performed in the study. Patients were enrolled into the retrospective (group 1) and prospective (group 2) groups according to the inclusion, non-inclusion, and exclusion criteria (Table 2).
Table 2. Criteria for inclusion, non-inclusion, and exclusion
Inclusion criteria | Non-inclusion criteria | Exclusion criteria |
• Patients with extra-articular fractures of the proximal tibia (41-A2, 41-A3, and 42 according to the AO classification) • Proximal fragment length from 35 to 120 mm • Age from 18 to 74 years • The patient signed informed consent to participate in the study • The period from the moment of injury to surgery is <4 weeks. | • Soft tissue defect in the site of the proposed surgical approach or the fracture area • Type III C open fractures according to the Gustilo–Anderson classification • Dermatological diseases that increase the risk of infectious complications in the site of the planned surgical approach • Defect of the tibia, leading to shortening of the limb by >2 cm • Severe dysfunction of the injured limb before the injury • Pathological nature of the fracture • Infectious lesions of soft tissues in the site of the planned surgical approach • Chronic or acute osteomyelitis of the bones of the injured limb • Mental diseases that significantly impair the patient’s compliance • Severe chronic diseases, which are a contraindication to anesthesia and surgery • Pregnancy and lactation • Fracture fixation by intramedullary nailing in the first 4 weeks after injury was not performed. | • Refusal to participate in the study at any stage • Death during inpatient treatment • A sudden onset of severe illness or re-injury, which prevents the current treatment result evaluations |
In total, the retrospective group included 43 patients aged 18–71 years (mean age 44.5±2.0 years), wherein 28 were males and 15 were females.
The prospective group included 42 patients aged 18–72 years (mean age 46.1±2.1 years), wherein 30 were males and 12 were females.
Table 3 presents the distribution of patients in groups 1 and 2 by fracture type (PFL-TN).
Table 3. Distribution of patients in groups 1 and 2 by fracture type (PFL-TN)
Type | Subtype | ||||||
A | As | B | Bs | C | Cs | Total | |
Group 1 | |||||||
I (90–120 mm) | 1 | 3 | 6 | 1 | 1 | – | 12 |
II (45–90 mm) | 6 | 2 | 10 | 2 | – | 4 | 24 |
III (35–45 mm) | 2 | – | 2 | 1 | 1 | 1 | 7 |
IV (<35 mm) | – | – | – | – | – | – | – |
Total | 9 | 5 | 18 | 4 | 2 | 5 | 43 |
Group 2 | |||||||
I (90–120 mm) | 2 | – | 8 | 1 | – | – | 11 |
II (45–90 mm) | 6 | 1 | 7 | 1 | 1 | 3 | 19 |
III (35–45 mm) | 1 | 1 | 2 | 1 | 5 | 2 | 12 |
IV (<35 mm) | – | – | – | – | – | – | – |
Total | 9 | 2 | 17 | 3 | 6 | 5 | 42 |
The groups 1 and 2 were comparable in terms of demographics, injury mechanism, soft tissue condition, concomitant injuries, and diseases. The treatment results of patients in these groups can be compared with each other. After the end of the minimum follow-up period (12 months after surgery), a comparative analysis of treatment results of patients in both groups was performed.
Evaluation of results
Reduction was assessed based on a comparison of postoperative radiographs with radiographs of the contralateral limb in frontal and lateral views according to the deformity assessment method described by D. Paley et al. [24]. The transverse displacement was measured using a calibrated electronic X-ray ruler. The rotational displacement was clinically assessed in comparison with the contralateral limb in the “patella up” position of the lower limbs. In the presence of clinical signs of rotational displacement, computed tomography of the damaged and contralateral tibia was performed throughout. The repduction score scale that we developed was used to assess the reduction quality (Table 4). According to this scale, for each type of displacement, 1 point was added in case of excellent reduction, 5 points in case of good redyction, and 20 points in case of unacceptable reduction. The minimum number of points (6 points) indicates an excellent result. If 25 or more points are scored, then such a reduction is considered unacceptable.
Table 4. Scoring scale for assessment of the reduction quality
Displacement type | Reduction quality assessment | |||
Excellent (1 point) | Good (5 points) | Unacceptable (20 points) | ||
Angular, deg. | Sagittal plane | 0–2 | 3–5 | >5 |
Frontal plane | 0–2 | 3–5 | >5 | |
Rotational, deg. | 0–5 | 6–15 | >15 | |
Transverse, mm | Sagittal plane | 0–5 | 5–10 | >10 |
Frontal plane | 0–5 | 5–10 | >10 | |
Shortening, mm | 0–5 | 5–10 | >10 | |
The analysis of early results assessed the duration of surgery, hospitalization duration, and incidence of early complications. The analysis of midterm results assessed the incidence of complications, functional results with the Lower Extremity Functional Scale (LEFS) scale, and quality of life with the scales of physical and role functioning, as well as the intensity of pain syndrome of the SF-36 questionnaire.
Statistical analysis
Fisher’s exact test, Mann–Whitney’s U-test, Student’s t-test, and Pearson’s chi-squared test (χ2) were used to evaluate the clinical study results to compare independent samples. One-way analysis of variance followed by post hoc analysis (Tukey’s test) was used to compare two or more continuous variables. The difference between the groups was considered statistically significant at p < 0.05.
Results
Reduction quality
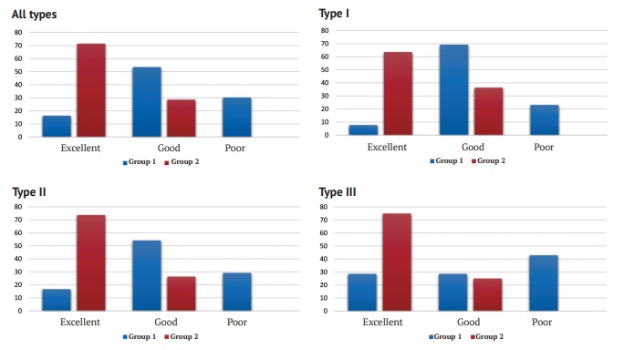
Before the introduction into practice of the developed algorithm for intramedullary nailing of extra-articular proximal tibial fractures (group 1), an acceptable reduction was not achieved in 30.23% of cases (13 patients), good reduction was achieved in 53.5% of cases (23 patients), and excellent only in 16.28% of cases (7 patients). After the introduction of the algorithm (group 2), there were no cases with unacceptable reduction, whereas excellent reduction was achieved in 71.43% of cases (30 patients), i.e., 4.4 times more often than in group 1 (Fig. 4).
Fig. 4. Comparison of reduction quality between groups 1 and 2 in different fracture types
A reduction score scale was used to assess the statistically significant difference between the compared groups. The difference in reduction quality between groups 1 and 2 was statistically significant for all fracture types (Table 5).
Table 5. The difference in reduction quality between groups 1 and 2, points
Type of fracture | Group 1 | Group 2 | p |
I | 19.25 | 7.45 | 0.01051 |
II | 16.92 | 7.26 | 0.00083 |
III | 22.00 | 7.00 | 0.00177 |
Average | 18.33 | 7.24 | <0.00001 |
Short-term results
The analysis showed that the application of the proposed algorithm reduced the duration of surgery from 93.5±4.1 min to 83.0±2.8 min (p = 0.01868). In group 1, the hospitalization duration was 13.8±1.0 days compared to 12.6±1.0 days in group 2, which was not statistically significant (p = 0.14695).
In group 1, 8 (18.60%) patients have surgery-associated complications, including superficial infection in three cases, fixation instability in four cases, and one of case unacceptable reduction considered by surgeon as an indication for revision surgery.
In group 2 (4.76%), two surgery-associated complications were obseeved. In both cases, the development of superficial infection was noted in patients with type IIIB open fractures according to the Gustilo–Anderson classification. No complications were associated with the technique of intramedullary nailing.
The total number of surgery-associated complications decreased in the early postoperative period from 18.60% to 4.76% (p = 0.04766). The total number of complications associated with the technique of intramedullary nailing decreased from 11.63% to 0.00%.
Midterm results
One year after the surgery, the union of the fracture without complications was achieved in 24 patients (66.67%) in group 1 with 36 patients available for examination. In group 2, union without complications was registered in 35 patients out of 39 (89.75%). The average fracture healing was 16.22±2.05 weeks in group 1 and 13.76±1.25 weeks in group 2. The difference between the groups in terms of fracture union was statistically significant (p = 0.019).
Table 6 compares groups 1 and 2 in terms of treatment outcomes and late complications. If one patient had more than one complication, only the first of them was considered. The introduction of the proposed treatment algorithm reduce the total number of complications from 50.0% to 10.3% (p = 0.00723), and the number of additional surgeries from 0.42 to 0.10 per patient (p = 0.03070).
Table 6. Comparison of groups 1 and 2 in terms of the incidence of late complications and the need for additional surgical interventions
Treatment outcome | Group 1 | Group 2 | p |
Union without complications | 18 (50%) | 35 (89.7%) | |
Malunion | 6 (16.7%) | 0 | – |
Delayed union in the correct position | 3 (8.3%) | 2 (5.1%) | – |
Delayed union in the incorrect position | 1 (2.8%) | 1 (2.6%) | – |
Aseptic nonunion | 2 (5.6%) | 0 | – |
Fixation instability | 4 (11.1%) | 0 | – |
Deep infection | 2 (5.6%) | 1 (2.6%) | – |
Total | 18 | 4 | 0.00723 |
Additional surgeries | 15 | 4 | 0.03070 |
The quality of life assessment using the SF-36 questionnaire revealed that the physical functioning in group 1 a year after the injury amounted to 77.50 ±1.88 points, whereas 86.71±2.03 points in group 2, which was statistically significant (p = 0.00072). The role functioning in group 1 at 1 year after the injury were 81.25±1.88 points, whereas 86.84±2.26 in group 2, with the statistically significant difference between the groups (p = 0.00116). Pain intensity in group 1 was 85.06±2.05 points, whereas 86.05±2.22 in group 2, with the statistically insignificant difference between the groups (p = 0.37323). The anterior knee pain was observed in 26 (72.22%) patients in group 1 and 19 (50%) patients in group 2 one year after the injury.
The functional status of the limb was assessed using the LEFS scale. In group 1, the average limb function was 83.58±1.87%, whereas 93.29±1.23% in group 2, and the difference between the groups was statistically significant (p = 0.00002).
Discussion
Intramedullary nailing of proximal tibial fractures has significant advantages over other treatment methods from both biological and biomechanical points of view [10, 19]. Performing intramedullary nailing for such fractures requires the use of special surgical techniques to achieve and maintain desirable reduction, ignoring which leads to poor results [7, 21].
The literature provides descriptions of many surgical techniques that improve reduction quality in intramedullary nailing; however, there is no systematic approach to make a chooce of the best method based on the type of fracture [1, 9, 11, 20, 25]. There are almost no publications that compare the efficiency and technical difficulties with different methods of fracture reduction. Particular attention should be paid to the lack of clinical classification of such fractures, considering both the fracture morphology and the proximal fragment length, which are crucial in choosing a surgical treatment method, the used intramedullary fixator design, and methods for achieving and maintaining fracture reduction [18, 26, 27].
The proposed PFL-TN determines the indications for intramedullary nailing of the tibia allows to choose the most appropriate nail design, and the most optimal combination of poller and locking screws, depending on the proximal fragment length and the fracture type. This classification is considered clinical and improves the treatment results of patients with proximal tibial fractures of, which was proven in a prospective clinical study.
The most effective methods for achieving reduction in intramedullary nailing are the use of poller wires, nailing with a semi-extended knee position, and FAN [1, 9, 23, 25]. The developed algorithm involves the use of a combination of the described techniques, which allow to achieve an excellent reduction in most patients.
Conclusions
The study results revealed that the developed classification and algorithm help optimize the technique of intramedullary nailing of extra-articular proximal tibial fractures. Following the algorithm reduces the risk of complications, such as poor fracture reduction, fixation instability, delayed union, and fracture nonunion, and ultimately improves the functional treatment results of patients with extra-articular fractures of the proximal tibia.
Authors’ contribution:
All authors made an equivalent contribution to the publication preparation.
All authors read and approved the final version of the article manuscript. All authors agree to be responsible for all aspects of the work to ensure proper consideration and resolution of all possible related issues to the correctness and significance of any part of the work.
Conflict of interest:
The authors declare no conflict of interest.
About the authors
Anton A. Semenistyy
Moscow City Clinical Hospital №13
Email: an.semenistyy@gmail.com
ORCID iD: 0000-0002-5412-6202
врач травматолог-ортопед 1-го травматологического отделения
Russian Federation, MoscowElena A. Litvina
Russian Medical Academy of Continuous Professional Education; Inozemtcev Moscow City Clinical Hospital
Email: alenalitv@mail.ru
ORCID iD: 0000-0001-8540-0676
Dr. Sci. (Med.), Professor
Russian Federation, Moscow; MoscowAndrey N. Mironov
Moscow City Clinical Hospital No13
Author for correspondence.
Email: dr.mironov.andrey@gmail.com
ORCID iD: 0000-0002-2002-5091
заведующий 1-м травматологическим отделением
Russian Federation, MoscowReferences
- Челноков А.Н., Бекреев Д.А. Интрамедуллярный остеосинтез при переломах верхней трети большеберцовой кости – техника на основе чрескостного остеосинтеза. Гений ортопедии. 2011;(2):102-106.
- Chelnokov A.N., Bekreyev D.A. [Intramedullary osteosynthesis for fractures of the upper tibial third – a technique based on transosseous osteosynthesis]. Genij Ortopedii. 2011;(2):102-106. (In Russian).
- Bolhofner B.R. Indirect reduction and composite fixation of extraarticular proximal tibial fractures. Clin Orthop Relat Res. 1995;(315):75-83.
- Kandemir U., Herfat S., Herzog M., Viscogliosi P., Pekmezci M. Fatigue Failure in Extra-Articular Proximal Tibia Fractures: Locking Intramedullary Nail Versus Double Locking Plates-A Biomechanical Study. J Orthop Trauma. 2017;31(2):e49-e54. doi: 10.1097/BOT.0000000000000729.
- Kim K.C., Lee J.K., Hwang D.S., Yang J.Y., Kim Y.M. Provisional unicortical plating with reamed intramedullary nailing in segmental tibial fractures involving the high proximal metaphysis. Orthopedics. 2007;30(3):189-192. doi: 10.3928/01477447-20070301-10.
- Ries M.D., Meinhard B.P. Medial external fixation with lateral plate internal fixation in metaphyseal tibia fractures. A report of eight cases associated with severe soft-tissue injury. Clin Orthop Relat Res. 1990;(256):215-223.
- Черепов Д.В., Ковалев С.И., Бабалян В.А., Давыдов А.В., Хохлов А.Б., Горошко С.А. и др. Блокирующий интрамедуллярный остеосинтез при внесуставных переломах дистального и проксимального метадиафиза большеберцовой кости. Травма. 2012;13(1):135-137.
- Cherepov D.V., Kovalev S.I., Babalyan V.A., Davydov A.V., Khokhlov A.B., Goroshko S.A. et al. [Locking intramedullary osteosynthesis for extra-articular metaphyseal distal and proximal tibial fractures]. Travma [Trauma]. 2012;13(1):135-137 (In Russian).
- Freedman E.L., Johnson E.E. Radiographic analysis of tibial fracture malalignment following intramedullary nailing. Clin Orthop Relat Res. 1995;(315):25-33.
- Kulkarni S.G., Varshneya A., Kulkarni S., Kulkarni G.S., Kulkarni M.G., Kulkarni V.S. et al. Intramedullary nailing supplemented with Poller screws for proximal tibial fractures. J Orthop Surg (Hong Kong). 2012;20(3): 307-311. doi: 10.1177/230949901202000308.
- Lang G.J., Cohen B.E., Bosse M.J., Kellam J.F. Proximal third tibial shaft fractures. Should they be nailed? Clin Orthop Relat Res. 1995;(315):64-74.
- Byun S.E., Maher M.H., Mauffrey C., Parry J.A. The standard sagittal starting point and entry angle for tibia intramedullary nails results in malreduction of proximal tibial fractures. Eur J Orthop Surg Traumatol. 2020;30(6):1057-1060. doi: 10.1007/s00590-020-02669-4.
- Hak D.J. Intramedullary nailing of proximal third tibial fractures: techniques to improve reduction. Orthopedics. 2011;34(7):532-535. doi: 10.3928/01477447-20110526-19.
- Henley M.B., Meier M., Tencer A.F. Influences of some design parameters on the biomechanics of the unreamed tibial intramedullary nail. J Orthop Trauma. 1993;7(4): 311-319. doi: 10.1097/00005131-199308000-00003.
- Katsoulis E., Court-Brown C., Giannoudis P.V. Incidence and aetiology of anterior knee pain after intramedullary nailing of the femur and tibia. J Bone Joint Surg Br. 2006;88(5):576-580. doi: 10.1302/0301-620X.88B5.16875.
- Марченко А.С., Фомин Н.Ф., Григорян Ф.С. Выбор способа блокированного интрамедуллярного остеосинтеза при переломах большеберцовой кости в свете топографо-анатомического исследования. Журнал анатомии и гистопатологии. 2021;10(1): 41-48. doi: 10.18499/2225-7357-2021-10-1-41-48.
- Marchenko A.S., Fomin N.F., Grigoryan F.S. [Choice of a Method for Blocked Intramedullary Osteosynthesis in Tibial Fractures in the Context of Topographic-Anatomical Research]. Zhurnal anatomii i gistopatologii [Journal of Anatomy and Histopathology]. 2021;10(1):41-48. (In Russian). doi: 10.18499/2225-7357-2021-10-1-41-48.
- Finkemeier C.G., Schmidt A.H., Kyle R.F., Templeman D.C., Varecka T.F. A prospective, randomized study of intramedullary nails inserted with and without reaming for the treatment of open and closed fractures of the tibial shaft. J Orthop Trauma. 2000;14(3):187-193. doi: 10.1097/00005131-200003000-00007.
- Hansen M., Blum J., Mehler D., Hessmann M.H., Rommens P.M. Double or triple interlocking when nailing proximal tibial fractures? A biomechanical investigation. Arch Orthop Trauma Surg. 2009;129(12):1715-1719. doi: 10.1007/s00402-009-0954-1.
- Hontzsch D., Blauth M., Attal R. Angle-stable fixation of intramedullary nails using the Angular Stable Locking System(R) (ASLS). Oper Orthop Traumatol. 2011;23(5):387-396. doi: 10.1007/s00064-011-0048-4.
- Zhao K., Lv H., Zhang C., Wang Z., Hou Z., Chen W. et al. Application of the multiplanar fracture redactor in the treatment of tibial shaft fractures with intramedullary nails. Sci Rep. 2021;11(1):8428. doi: 10.1038/s41598-021-87913-5.
- Челноков А.Н., Виноградский А.Е., Бекреев Д.А. Современный интрамедуллярный остеосинтез – проблемы и решения. Травматология и ортопедия России. 2006;(2):296-297.
- Chelnokov AN, Vinogradskiy AE, Bekreev DA. [Modern intramedullary osteosynthesis – problems and solutions]. Travmatologiya i ortopediya Rossii [Traumatology and Orthopedics of Russia]. 2006;(2):296-297. (In Russian).
- Rommens P.M., Hessmann M.H. Intramedullary nailing: a comprehensive guide. London: Springer-Verlag; 2015. p. 331-344. doi: 10.1007/978-1-4471-6612-2.
- Krettek C., Miclau T., Schandelmaier P., Stephan C., Möhlmann U., Tscherne H. The mechanical effect of blocking screws («Poller screws») in stabilizing tibia fractures with short proximal or distal fragments after insertion of small-diameter intramedullary nails. J Orthop Trauma. 1999;13(8):550-553. doi: 10.1097/00005131-199911000-00006.
- Малышев Е.Е., Павлов Д.В. Комбинация интрамедуллярного и накостного остеосинтеза при сочетании переломов проксимального отдела и диафиза большеберцовой кости. Гений ортопедии. 2010;(4):5-10.
- Malyshev E.E., Pavlov D.V. [Combination of intramedullary and plate osteosynthesis in segmental proximal and diaphyseal tibial fractures]. Genij Ortopedii. 2010;(2):102-106. (In Russian).
- Semenistyy A.A., Litvina E.A Fedotova A.G., Gwam C., Mironov A.N. Fixator-assisted nailing of tibial fractures: New surgical technique and presentation of first 30 cases. Injury. 2019;50(2):515-520. doi: 10.1016/j.injury.2018.11.015.
- Paley D. Principles of deformity correction. Berlin Heidelberg: Springer-Verlag; 2002. p. 31-60.
- Семенистый А.А., Литвина Е.А., Федотова А.Г., Миронов А.Н. Особенности интрамедуллярного остеосинтеза при лечении внесуставных переломов проксимального отдела большеберцовой кости. Вестник травматологии и ортопедии им. Н.Н. Приорова. 2018;(1):57-65. doi: 10.17816/vto201825157-65.
- Semenistyy A.A., Litvina E.A., Fedotova A.G., Mironov A.N. [Peculiarities of intramedullary nailing in treatment of extraarticular proximal tibial fractures]. Vestnik travmatologii i ortopedii im. N.N. Priorova [Bulletin of traumatology and orthopedics them. N.N. Priorov]. 2018;(1):57-65. (In Russian). doi: 10.17816/vto201825157-65
- Müller M.E., Nazarian S., Koch P., Schatzker J. The Comprehensive Classification of Fractures of Long Bones. Berlin Heidelberg New York: Springer-Verlag; 1994. 202 p. doi: 10.1007/978-3-642-61261-9.
- Schatzker J., McBroom R., Bruce D. The tibial plateau fracture. The Toronto experience, 1968–1975. Clin Orthop Relat Res. 1979;(138):94-104.
Supplementary files








