Features and Results of Knee Arthroplasty after Knee Fractures Fixation
- Authors: Rasulov M.S.1, Kulyaba T.A.1, Kornilov N.N.1,2, Saraev A.V.1, Petukhov A.I.1, Bantser S.A.1, Petlenko I.S.1
-
Affiliations:
- Vreden National Medical Research Center of Traumatology and Orthopedics
- Mechnikov North-Western State Medical University
- Issue: Vol 27, No 4 (2021)
- Pages: 9-20
- Section: СLINICAL STUDIES
- Submitted: 27.10.2021
- Accepted: 06.12.2021
- Published: 29.12.2021
- URL: https://journal.rniito.org/jour/article/view/1694
- DOI: https://doi.org/10.21823/2311-2905-1694
- ID: 1694
Cite item
Abstract
The purpose of the study — to assess the results and risk of complications of primary total knee arthroplasty in patients with a history of osteosynthesis of intra-articular fractures.
Methods: Our study integrates the retrospective and prospective analysis of the results of primary total knee arthroplasty (TKA) performed in 140 patients, in period from 2015 to 2019. The retrospective part of the study included the arthroplasty results of 100 patients, prospective — 40 patients. Each of the groups was divided into 2 subgroups: with previous osteosynthesis (OS) of intra-articular fractures before arthroplasty and without history of knee surgery before arthroplasty. To assess the results of TKA, adapted to Russian-language versions of the KSS, WOMAC and FJS-12 scales were used. The X-ray of the endoprosthesis components positioning was assessed using the KRESS scale.
Results: Statistically significant differences were found between retrospective groups with OS and without it in the duration of the surgery, in the volume of intraoperative blood loss, in the higher frequency for implantation of the endoprosthesis systems with an increased degree of coupling of the components. The rate of postoperative complications was higher in retrospective group OS. Mid-term functional results did not show statistically significant differences on the KSS and WOMAC scales, patient satisfaction rates on the FJS-12 scale were worse in retrospective group OS. Prospective group of patients with a history of OS for intraarticular fractures demonstrated statistically significant increase of the knee ROM from 89° to 108°, after the TKA. The function recovery dynamics according to the KSS, WOMAC and FJS-12 was slowed down at 3 and 6 months, and according to the WOMAC and FJS-12 scales, even after 12 months post-operation.
Conclusions: The previous trauma and knee intra-articular fractures fixation leads to an earlier development of post-traumatic osteoarthritis. Functional results in the retrospective and prospective groups do not have statistically significant differences. The number of postoperative complications is greater in the retrospective groups. OS in the history statistically significantly slows down the dynamics of function recovery in the early postoperative period.
Full Text
Background
Total knee arthroplasty (TKA) is one of the most effective and frequently used methods of the post-traumatic terminal stage of the knee joint osteoarthritis treatment. The constantly increasing number of primary arthroplasties increases the number of revision interventions, and currently the share of the latter is 6–8% of the total knee arthroplasties [1]. Fractures of the proximal tibia are 1.5–2.0%, distal femur — 4.0–6.0%, patella — 0.7–1.0% in the structure of fractures of all bones of the skeleton increase the incidence of knee osteoarthritis by an average of 7 times [2, 3, 4, 5]. According to the literature, 75% of patients with intra-articular knee fractures can be expected to develop post-traumatic osteoarthritis, and its terminal stage already develops 7 years after the injury [6, 7].
TKA for osteoarthritis after fractures is a highly effective surgical operation that reduces pain syndrome, significantly improves the functionality and quality of life of patients [8, 9, 10]. Indications for TKA after fractures occur with the development of severe post-traumatic osteoarthritis, usually accompanied by deformities of the articular surfaces, axial limb disorders, stability of the knee joint and its contractures [11]. An analysis of the literature on the effect of osteosynthesis of intra-articular fractures on the results of TKA demonstrates the contradictory views of researchers on the optimal volume of preoperative examination, the features of surgery and functional results [12, 13, 14, 15].
The aim of the study was to evaluate the results and risk of complications of primary TKA in patients with a history of osteosynthesis of intra-articular fractures.
Methods
Design
The conducted study integrates a retrospective and prospective analysis of the primary TKA results performed in 140 patients at the clinic of the Vreden Center of Traumatology and Orthopedics in the period from 2015 to 2019. The retrospective part of the study included the results of arthroplasty performed in 100 patients, the prospective part — in 40.
By age and sex parameters, the distribution of patients was as follows: the average age was 56.0±7.3 years, there were 97 women (69.2%), 43 men (30.8%).
Patients of the retrospective group were stratified into two groups depending on the history of osteosynthesis of intra-articular fractures of the knee joint:
– 50 patients with osteosynthesis (OS) of intra-articular fractures before knee arthroplasty (group A);
– 50 patients without surgical interventions on the knee joint before arthroplasty (group B).
The analysis of the frequency of postoperative complications in the retrospective study groups revealed a statistically significant (p = 0.008) difference: in group A patients, 12% of postoperative complications were detected, in group B there were no complications. There is also a much greater need for constrained implants in patients with intra-articular fractures of hardware and the use of modular elements of the endoprosthesis to compensate bone defects and achieve stable fixation of the components of the endoprosthesis.
These factors were the basis for the development and introduction into clinical practice of an algorithm for pre- and intraoperative examination of patients and a scheme for antibiotic prophylaxis of infectious complications after TKA in patients with a history of surgical interventions for fractures of the bones forming the knee joint.
To assess the clinical effectiveness of the proposed algorithm and the scheme of antibiotic prophylaxis of infectious complications, two equally large prospective groups of patients were formed, stratified on the same basis:
– 20 patients with a history of OS intra-arti- cular fractures before knee arthroplasty (group C);
– 20 patients without surgical interventions on the knee joint before arthroplasty (group D).
The criteria for inclusion in the study:
– patients of any gender and age with stage 3 knee osteoarthritis according to the classification of N.S. Kosinskaya;
– with a history of OS intra-articular fractures of the knee joint;
– without knee joint surgery.
Exclusion criteria:
– a history of surgical interventions on the contralateral limb;
– the presence of non-removed hardware and the use of extended surgical approach in the TKA;
– the presence of endoprostheses of the hip or ankle joint of the examined limb;
– the presence of concomitant nosology (rheumatoid and other specific arthritis, gonitis, etc.), affecting the frequency of postoperative complications and postoperative rehabilitation treatment.
Outcomes assessment
To study the results of TKA in patients of retrospective groups, a correspondence survey was conducted using questionnaires sent out, which are adapted Russian-language versions of the KSS, WOMAC and FJS-12 point scales [16] or examination of patients at the clinic of theVreden Center assess the functional state of the knee joint. In patients of prospective groups, the dynamics of knee joint function restoration was evaluated in terms of 3, 6 and 12 months after TKA using the same point scales.
Statistical analysis
Statistical analysis of the data obtained was performed in the program STATISTICA for Windows (version 10) based on the results table generated in Microsoft Excel. Comparison of quantitative parameters (age, blood loss, type of implant, etc.) in the groups was carried out using the Mann– Whitney criterion . The frequency of complications was analyzed using the criteria χ2, Fischer and χ2 with the Yates correction for small groups. The criterion of signs was used to assess the dynamics. 95% CI for estimating complication rates was calculated based on the Fisher angular transformation. The criterion of the statistical significance of the differences was the value of p<0.05.
Results
Treatment outcomes in retrospective groups
Table 1 shows the indicators and criteria for the difference between retrospective groups A and B.
Table 1. Indicators and criteria of difference between retrospective groups A and B
Indicator | Group А M±SD, min-max, МЕ (Q1-Q3) | Group M±SD min-max МЕ (Q1-Q3) | р |
Age, years | 52±7,9 32–70 52 (48–60) | 60±7,3 45–81 60 (57–65) | 0,002 |
BMI | 29±3,8 20–35 28 (27,8–32,2) | 28±6 21–36 29 (31,1–33,2) | >0,05 |
Duration of the surgery, min. | 107±36 60–240 100 (85–125) | 78±10 60–110 80 (70–85) | 0,0012 |
Intraoperative blood loss, ml | 366 ±249 100–1500 300 (200–400) | 205±90 50–400 200 (150–250) | 0,000 |
Endoprosthesis constraint type | 22 (44%) (CR) 17 (34%) (PS) 7 (14%) (VVC) 4 (8%) (RHK) | 49 (98%) (CR) 1 (2%) (PS) | 0,001 |
Complications | 6 (12%) | 0 | 0,008 |
According to the age indicator, the patients of the retrospective group A were 8 years younger than the patients of group B (p = 0.002). The average period from OS to TKA was 6.3 years. The revealed statistically significant difference in the surgery duration in group A (p = 0.0012) was due to a significantly higher frequency of using various methods of compensation for bone defects, as well as implantation of post-stabilized, varus-valgus-constrained and articulated structures requiring additional manipulations on bones and paraarticular soft tissues. In evaluation of intraoperative blood loss volume, a statistically significant difference was found in group A (366 ml) compared to group B (205 ml) (p = 0.000), which was due to both the longer duration of surgery and additional manipulations on bones and soft tissues necessary for the implantation of endoprosthesis components. In patients of the retrospective group A, constrained endoprostheses had to be implanted more often (p = 0.001) when performing TKA than in patients in group B (Table 2).
Table 2. Endoprostheses of varying constraint degrees in retrospective groups of patients
Endoprosthesis constraint type | Number of implantations | |
Group А | Group В | |
PCL preserved (CR) | 24 (48%) | 49 (98%) |
Posterior stabilised(PS) | 17 (34%) | 1 (2%) |
Varus-valgus-constrained (VVC) | 7 (14%) | 0 |
Hinged (RHK) | 2 (4%) | 0 |
Total | 50 | 50 |
The functional results of TKA in patients of retrospective groups, evaluated on the KSS and WOMAC scales, as well as the assessment of satisfaction with TKA on the FJS-12 scale with average follow-up periods are presented in Table 3.
Table 3. Functional results in patients of retrospective groups, points
Scale | Group А M±SD min-max МЕ (Q1-Q3) | Group В M±SD min-max МЕ (Q1-Q3) |
KSS | 83,9±7,8 64–92 84 (78–94) | 86,6±6,0 70–96 87 (82–90) |
WOMAC | 19,6±8,2 0–50 19 (14–21) | 18,4±8,5 0–44 19 (15–21) |
FJS-12 | 72,3±6,5 48–86 71 (66–75) | 85,0±5,4 60–96 86 (78–86) |
Functional results on the KSS and WOMAC scales had no statistically and clinically significant differences. Nevertheless, in absolute numbers, the indicators in group A were somewhat worse in similar terms. The main reason for the decrease in functional results was stiffness in the operated knee joint.
When assessing satisfaction on the FJS-12 scale, a statistically significant difference (p = 0.016), in our opinion, was due to a younger age and, consequently, higher requirements for joint function in patients both before the previous fracture and osteosynthesis, and after the performed TKA.
In retrospective group A, 6 (12%) postoperative complications were identified: septic inflammation developed in 3 (6%) cases, combined contracture developed in 2 (4%), and delayed healing of the postoperative wound was noted in one case (2%). There were no complications in the retrospective group B.
These complications, as well as the need to use constrained endoprostheses in patients with intra-articular fractures much more often and to use modular elements to compensate bone defects and achieve stable fixation of the endoprosthesis components, were the basis for the development and introduction into clinical practice of an algorithm for pre- and intraoperative examination of patients (Fig. 1) and schemes of antibiotic prophylaxis of infectious complications after TKA in patients with a history of surgical interventions for fractures of the bones forming the knee joint (Table 4).
Fig. 1. Algorithm of pre- and intra-operative evaluation of patients with the fixation of knee intra-articular fractures in history
Table 4. Scheme of antibiotic prophylaxis of postoperative complications after TKA in patients with a history of surgical interventions on the knee joint
The period after the surgery, days. | Therapeutic measures, ongoing studies and their results | Antibiotic prophylaxis / antibiotic therapy | Clinical and laboratory control |
Early days | Surgery - sampling of tissue biopsies | Standard antibiotic prophylaxis approved at the clinic | Monitoring of local signs of inflammation, daily temperature, ESR, CRP, leukocytes and leukocyte formula on the 1st and 3rd-4th days |
7–10 | With positive results of microbiological examination - consultation of a clinical pharmacologist In case of negative results of microbiological examination | Etiotropic antibiotic therapy depending on the detected microflora and its sensitivity Not carried out | Monitoring at the outpatient stage Clinical and biochemical blood analysis 7 days after discharge |
Outpatient stage | With positive results of microbiological examination | Etiotropic antibiotic therapy depending on the detected microflora and its sensitivity | Monitoring of local and laboratory indicators of inflammation (CRP before the start of the AB course, after the end of the AB course in 10-14 days) Control of ALT and creatinine in the middle of the course and after the course on days 10-14 |
Statistically significant (p = 0.008) difference in the frequency of postoperative complications in retrospective groups A and B allowed us to conclude that knee joint puncture is necessary in this category of patients if they have clinical or laboratory signs of inflammation in the anamnesis or during hospitalization to exclude their septic nature. In the presence of microorganisms in the punctate, the first stage is surgical sanation with the antimicrobial spacer implantation, and after the relief of inflammation, confirmed by the data of repeated clinical and laboratory examination, TKA. In patients in the absence of clinical and laboratory signs of inflammation and negative results of microscopic and microbiological studies of the punctate, TKA is performed, during the surgery, five tissue biopsies are necessarily taken for their microbiological examination. To choose an endoprosthesis model during preoperative planning, standard clinical and X-ray examinations are not always sufficient to assess the ligaments condition and anatomical features of the articular surfaces of the femur and tibia. With positive tests of the "posterior drawer" or adduction/abduction of the lower leg, an MRI of the joint is nessesary and, based on the data obtained on the ligaments condition and the characteristics of the fracture, planning of the optimal constaint degree of the endoprosthesis model proposed for implantation and the method of compensation for the existing bone defect.
In patients with properly consolidated fractures and preserved/nonpreserved ligaments, it is possible to plan TKA with endoprosthesis model that compensates the insufficiency of damaged ligaments (CR/PS/VVC/RHK) and with intraoperative tissue implant sampling. If the data of a standard X-ray examination is insufficient to determine the nature and degree of fracture consolidation, then CT is nessesary to choose the optimal implant model, a method for bone mass deficiency compensating or additional manipulations during surgery. With an achievable stable fixation of the components of the endoprosthesis, TKA is planned after determining the method of compensation for the bone defect (bone grafting, metal blocks, bushings, cones, etc.). With an unattainable stable fixation, but with the possibility of reconstruction of the metaphysis, one-stage TKA and OS is planned. If it is impossible to reconstruct the metaphysis and stable fixation, two-stage treatment is planned: the first stage is performed by OS, the second stage, at least 6 months later, is TKA.
The effectiveness of the proposed algorithm of pre- and intraoperative examination of patients and the scheme of antibiotic prophylaxis of infectious complications was evaluated in prospective groups of patients.
Treatment outcomes in prospective groups
Clinical and laboratory signs of active inflammation were absent in 18 patients of prospective group C (with a history of intra-articular fractures OS). Two patients had a slight increase in laboratory indicators of inflammation during hospitalization. In accordance with the current version of the protocol of preoperative examination, all patients in this group underwent a puncture of the knee joint. In 14 (70%) patients, laboratory (microscopic and microbiological) examination of the punctate did not reveal the presence of microorganisms or other laboratory signs of infectious inflammation, including in 2 patients with an increased number of leukocytes and CRP, which was the basis for performing TKA. In another 6 (30%) patients, it was not possible to obtain puncture material, and therefore an anesthetic solution was sent for examination, injected and then aspirated from the joint cavity.
MRI of the knee joint in accordance with the developed algorithm was performed in 11 (55%) patients of prospective group C. Its data influenced the results of preoperative planning in 8 (72.7%) patients: in 4 (50%) cases, the implantation of posterior stabilized construction was planned, in 2 (25%) — bone grafting as a way to compensate for the existing defect and implantation of posterior stabilized construction, in 2 (25%) cases, the use of metal modular block was included in the surgery plan as a way to compensate for the existing deep defect and implantation of varus/valgus-constrained and hinged models of the endoprosthesis. In 3 (27.3%) patients, MRI confirmed the correct consolidation of the femur or tibia fractures, the consistency of the ligaments and the possibility of implantation of a standard endoprosthesis with the preservation of PCL.
CT of the knee joint was performed in 14 (70%) patients of the prospective group C. The data obtained during the study influenced preoperative planning and surgical intervention in 9 (64.3%) patients: 4 (44.4%) patients were diagnosed with non-union of the tibia metaepiphysis. In 3 (33.3%) cases, consolidation of the fracture with the impression of the lateral or medial condyle of the tibia and secondary failure of the collateral ligaments were observed. In 2 (22.2%) patients — consolidation of the fracture with the impression of one condyle of the tibia.
In all patients of prospective group C, 5 tissue samples were collected during surgery for microbiological examination. According to the results of microflora seeding, the presence of microorganisms in the joint was revealed in two (10%) patients (95% CI 1.1–26.5%). In both cases, in accordance with the scheme of antibiotic prophylaxis of infectious complications, the clinical pharmacologist prescribed etiotropic antibacterial therapy. The follow-up period of group C patients was 12 months, during which there was no infectious inflammation in the area of endoprosthesis.
Consequently, the previous OS requires intraoperative sampling of tissue biopsies even in the absence of clinical, anamnestic and laboratory signs of inflammation in the area of surgical intervention in patients. This tactic allows you to adjust antibiotic prophylaxis taking into account the sensitivity of microorganisms and prevent postoperative infectious complications. In the course of the study, there was no correlation between the results of microbiological examination of the punctate and tissue biopsies of the joint, which indicates that punctate seeding is an uninformative method of preoperative examination and it is advisable to perform it in patients with clinical or laboratory signs of inflammation during hospitalization or in anamnesis to choose the optimal treatment tactics.
The average range of motion in the knee joint before surgery in patients of group C was 89°, in group D — 104°. 12 months after the surgery, the range of motion in the knee joint in patients of group C was 108°, in group D — 110°, no statistically significant differences were found between the groups (p 0,05). Nevertheless, TKA in patients with osteosynthesis of the distal femur or proximal tibia in the anamnesis, unlike patients without OS of intra-articular fractures of the knee joint, allowed to increase the amplitude of movements in the knee joint from 89° to 108°, that is, by 19° (p = 0.000).
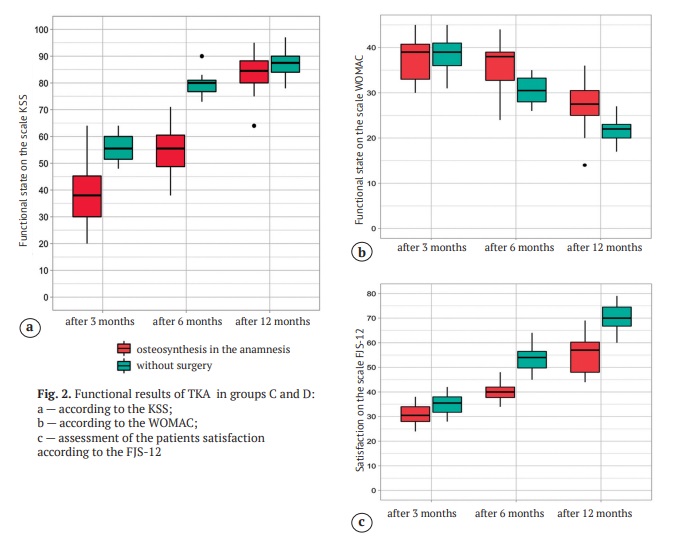
TKA results after 3, 6 and 12 months. shown in Figure 2.
Fig. 2. Functional results of TKA in groups C and D: a — according to the KSS; b — according to the WOMAC; c — assessment of the patients satisfaction according to the FJS-12
Evaluation on the KSS and WOMAC scales showed that the presence of OS history slows down the dynamics of joint function recovery at 3 (p = 0.001; p = 0.004) and 6 months (p = 0.001; p = 0.001), and on the WOMAC scale - also 12 months after TKA (p = 0.001). The main reason for the worsening of functional results was stiffness in the operated joint. Statistically significant differences were also obtained at the terms of 3 (p = 0.007), 6 (p = 0.001) and 12 (p = 0.001) months on the FJS-12 scale: basically, the sensation of endoprosthesis bothered Group C patients for 12 months after surgery.
Discussion
In the literature, there are various, often opposing opinions about the influence of intra-articular fractures OS on the features of surgery, the frequency of complications and the functional results of primary TKA. According to a number of authors, in patients with OS of intra-articular fractures, rapid development and progression of arthrosis to the terminal stage requiring knee arthroplasty is inevitable [2, 3, 4, 5]. Our study also showed that fracture and subsequent osteosynthesis accelerate the development of severe arthrosis, leading to the need for arthroplasty after an average of 6.3 years, and the average age of patients subjected to TKA is 8 years less in comparison with patients without a history of surgery. B.S. Kester et al., showed that the previous OS leads to an increase in the duration of TKA in on average for 26.7 minutes, creating technical problems during arthroplasty [14]. In our study, the duration of surgery in patients of retrospective group A was 29.0 minutes longer than in retrospective group B. The increase in the duration of arthroplasty is due to a significantly greater need to compensate for bone defects and the frequency of use of constrained endoprostheses, implantation of which provides additional manipulations on bones and paraarticular soft tissues.
Most authors indicate that osteosynthesis of intra-articular fractures in the anamnesis leads to a higher frequency of postoperative complications in primary TKA [12, 14, 15, 17, 18, 19, 20]. At the same time, the risk of intra- and postoperative complications after fractures of the proximal tibia is significantly higher in both situations - when performing arthroplasty after OS or according to primary indications in comparison with primary arthroplasty in idiopathic knee osteoarthritis [21, 22, 23, 24, 25]. In our study, with an average follow-up period of 38 months after TKA, a high incidence of complications in retrospective group A was also revealed (12% vs. 0%). Moreover, in 3 cases, the developed septic inflammation of the joint required repeated revision surgery. Two patients with combined contracture in the early postoperative period needed to intensify rehabilitation treatment. Another patient required a set of measures aimed at achieving healing of a postoperative skin wound due to the problems that had arisen. However, there are no convincing data in the literature concerning measures to prevent the development of complications after TKA in patients with a history of fractures. In our work, taking into account the statistically significant difference in the frequency of infectious complications in patients of retrospective group A, in accordance with the developed algorithm, all patients of prospective group C were intraoperatively taken tissue biopsies for microbiological examination, the endoprosthesis was implanted on cement containing an antibiotic. This measure made it possible to detect the growth of microorganisms in the joint cavity in 2 patients, to carry out preventive measures according to the developed scheme of antibiotic prophylaxis of infectious complications and to achieve an uncomplicated course of the postoperative period. These patients had no clinical and laboratory signs of inflammation, and there was no growth of microorganisms in the synovial fluid in preoperative seedings.
In the long-term period, according to some authors, osteosynthesis does not have a negative effect on the functional result of knee arthroplasty [13, 17]. The data of our study confirm this opinion. However, in the literature we have not found the study of function recovery dynamics in this cohort of patients in comparison with patients without a history of surgery. We evaluated the dynamics of knee joint function recovery and patient satisfaction with the results of TKA at the terms of 3, 6 and 12 months. and it was found that in patients underwent osteosynthesis of intra-articular fractures slows down the restoration of knee joint function at 3 and 6 months on the KSS scale, and on the WOMAC scale — also 12 months after surgery. Consequently, in this cohort of patients, it is necessary to intensify rehabilitation treatment in the early postoperative period, especially if by 4 weeks after TKA the range of motion of the knee joint is less than 90° or there is a deficit of complete extension of the knee joint. There were also differences on the FJS-12 scale at all periods after surgery. Consequently, patients with a history of osteosynthesis are less satisfied with the results of TKA due to continuing restrictions in everyday life, work and sports.
Conclusions
The previous trauma and the subsequent surgical treatment of intra-articular fractures of the knee joint lead to an earlier development of post-traumatic arthrosis of the 3rd stage and the need for TKA. Functional medium-term results of arthroplasty have no statistically significant differences, satisfaction with the results of TKA in this category of patients is less in the OS group, and the number of postoperative complications is greater. OS in the anamnesis statistically significantly slows down the dynamics and degree of recovery of knee joint function in the early postoperative period.
Informed consent
The patients gave their voluntary written informed consent to participate in the study and publish its results.
Authors’ contribution:
All authors have made an equivalent contribution to the preparation of the publication.
All authors have read and approved the final version of the manuscript of the article. All authors agree to be responsible for all aspects of the study in order to ensure proper consideration and resolution of all possible issues related to the correctness and reliability of any part of the study.
Conflict of interest:
The authors declare that there is no conflict of interest.
About the authors
Magomed Sh. Rasulov
Vreden National Medical Research Center of Traumatology and Orthopedics
Email: magomed93r@yandex.ru
ORCID iD: 0000-0003-3392-1853
аспирант, врач травматолог-ортопед
Russian Federation, St. PetersburgTaras A. Kulyaba
Vreden National Medical Research Center of Traumatology and Orthopedics
Email: taraskuliaba@mail.ru
ORCID iD: 0000-0003-3175-4756
Dr. Sci. (Med.)
Russian Federation, St. PetersburgNikolai N. Kornilov
Vreden National Medical Research Center of Traumatology and Orthopedics; Mechnikov North-Western State Medical University
Email: drkornilov@hotmail.com
ORCID iD: 0000-0001-6905-7900
Dr. Sci. (Med.)
Russian Federation, St. Petersburg; St. PetersburgAlexander V. Saraev
Vreden National Medical Research Center of Traumatology and Orthopedics
Email: saraefff@mail.ru
ORCID iD: 0000-0002-9223-6330
Cand. Sci. (Med.)
Russian Federation, St. PetersburgAleksey I. Petukhov
Vreden National Medical Research Center of Traumatology and Orthopedics
Email: drpetukhov@mail.ru
ORCID iD: 0000-0002-2403-6521
Cand. Sci (Med.), Orthopedic Surgeon, Researcher, Knee Pathology Department
Russian Federation, St. PetersburgSergey A. Bantser
Vreden National Medical Research Center of Traumatology and Orthopedics
Email: serg249_spb@mail.ru
ORCID iD: 0000-0002-7291-7032
Cand. Sci. (Med.)
Russian Federation, St. PetersburgIrina S. Petlenko
Vreden National Medical Research Center of Traumatology and Orthopedics
Author for correspondence.
Email: petlenko1995@yandex.ru
ORCID iD: 0000-0002-3600-3583
клинический ординатор
Russian Federation, St. PetersburgReferences
- Зубрицкий В.Ф., Козлов Ю.А. Инфекционные осложнения в эндопротезировании крупных суставов. Вестник Национального медико-хирургического Центра им. Н.И. Пирогова. 2012;7(1):98-103.
- Zubritsky V.F., Kozlov Yu.A. [Infectious complications during large joint replacement]. Vestnik Natsional’nogo mediko-khirurgicheskogo Tsentra im. N.I. Pirogova [Bulletin of Pirogov National Medical Surgical Center]. 2012;7(1):89-103.
- Беленький И.Г., Кочиш А.Ю., Кислицын М.А. Переломы мыщелков большеберцовой кости: современные подходы к лечению и хирургические доступы (обзор литературы). Гений ортопедии. 2016;(4):114-122. doi: 10.18019/1028-4427-2016-4-114-122.
- Belen’kii I.G., Kochish A.Yu., Kislitsyn M.A. [Fractures of the tibial condyles: current treatment methods and surgical approaches (literature review)]. Genij Ortopedii. 2016;4:114-122. (In Russian). doi: 10.18019/1028-4427-2016-4-114-122.
- Кочиш А.Ю., Беленький И.Г., Сергеев Б.А., Майоров Б.А. Анатомо-клиническое обоснование малоинвазивной установки дополнительной медиальной пластины при накостном остеосинтезе у пациентов с переломами дистального отдела бедренной кости. Гений ортопедии. 2020;26(3):306-312. doi: 10.18019/1028-4427-2020-26-3-306-312.
- Kochish A. Yu., Belen’kii I.G., Sergeev B.A., Maiorov B.A. [Anatomical and clinical rationale for minimally invasive placement of an additional medial plate for extramedullary osteosynthesis in patients with fractures of the distal femur]. Genij Ortopedii. 2020;26(3):306-312. (In Russian). doi: 10.18019/1028-4427-2020-26-3-306-312
- Larsen P., Court-Brown C.M., Vedel J.O., Vistrup S., Elsoe R. Incidence and Epidemiology of Patellar Fractures. Orthopedics. 2016;39(6):e1154-e1158. doi: 10.3928/01477447-20160811-01.
- Lunebourg A., Parratte S., Gay A., Ollivier M., Garcia-Parra K., Argenson J.N. Lower function, quality of life, and survival rate after total knee arthroplasty for posttraumatic arthritis than for primary arthritis. Acta Orthop. 2015;86(2):189-194. doi: 10.3109/17453674.2014.979723.
- Schenker M.L., Mauck R.L., Ahn J., Mehta S. Pathogenesis and prevention of posttraumatic osteoarthritis after intra-articular fracture. J Am Acad Orthop Surg. 2014;22(1):20-28. doi: 10.5435/JAAOS-22-01-20.
- Wang X.S., Zhou Y.X., Shao H.Y., Yang D.J., Huang Y., Duan F.F. Total Knee Arthroplasty in Patients with Prior Femoral and Tibial Fractures: Outcomes and Risk Factors for Surgical Site Complications and Reoperations. Orthop Surg. 2020;12(1):210-217. doi: 10.1111/os.12610.
- Kornah B.A., Safwat H.M., Abdel-Hameed S.K., Abdel-AAl M., Abdelaziz M., Abuelesoud M.I. et al. Managing of post-traumatic knee arthritis by total knee arthroplasty: case series of 15 patients and literature review. J Orthop Surg Res. 2019;14(1):168. doi: 10.1186/s13018-019-1180-3.
- Marczak D., Synder M., Sibiński M., Okoń T., Kowalczewski J. One-stage total knee arthroplasty with pre-existing fracture deformity: post-fracture total knee arthroplasty. J Arthroplasty. 2014;29(11):2104-2108. doi: 10.1016/j.arth.2014.07.007.
- Куляба Т.А., Корнилов Н.Н., Тихилов Р.М. (ред.) Руководство по первичному эндопротезированию коленного сустава. СПб.; 2021. Гл. 9. С. 225-275.
- Kulyaba, T.A., Kornilov N.N., Tikhilov R.M. (ed). [Guide to Primary Knee Arthroplasty]. Saint Petersburg; 2021. Сh. 9. р. 225-275. (In Russian).
- Brockman B.S., Maupin J.J., Thompson S.F., Hollabaugh K.M., Thakral R. Complication Rates in Total Knee Arthroplasty Performed for Osteoarthritis and Post-Traumatic Arthritis: A Comparison Study. J Arthroplasty. 2020;35(2):371-374. doi: 10.1016/j.arth.2019.09.022.
- Phruetthiphat O.A., Zampogna B., Vasta S., Tassanawipas B., Gao Y., Callaghan J.J. TKR after posttraumatic and primary knee osteoarthritis: a comparative study. J Orthop Surg Res. 2021;16(1):173. doi: 10.1186/s13018-021-02322-8.
- Lizaur-Utrilla A., Collados-Maestre I., Miralles-Muñoz F.A., Lopez-Prats F.A. Total Knee Arthroplasty for Osteoarthritis Secondary to Fracture of the Tibial Plateau. A Prospective Matched Cohort Study. J Arthroplasty. 2015;30(8):1328-1332. doi: 10.1016/j.arth.2015.02.032.
- Kester B.S., Minhas S.V., Vigdorchik J.M., Schwarzkopf R. Total Knee Arthroplasty for Posttraumatic Osteoarthritis: Is it Time for a New Classification? J Arthroplasty. 2016;31(8):1649-1653.e1. doi: 10.1016/j.arth.2016.02.001.
- Bala A., Penrose C.T., Seyler T.M, Mather R.C. 3rd, Wellman S.S., Bolognesi M.P. Outcomes after Total Knee Arthroplasty for post-traumatic arthritis. Knee. 2015;22(6):630-639. doi: 10.1016/j.knee.2015.10.004.
- Иржанский А.А., Куляба Т.А., Корнилов Н.Н. Валидация и культурная адаптация шкал оценки исходов заболеваний, повреждений и результатов лечения коленного сустава WOMAC, KSS и FJS-12. Травматология и ортопедия России. 2018;24(2):70-79. doi: 10.21823/2311-2905-2018-24-2-70-79.
- Irzhanski A.A., Kulyaba T.A., Kornilov N.N. [Validation and Cross-Cultural Adaptation of Rating Systems Womac, KSS and FJS-12 in Patients with Knee Disorders and Injuries]. Travmatologiya i ortopediya Rossii [Traumatology and Orthopedics of Russia]. 2018;24(2):70-79. (In Russian). doi: 10.21823/2311-2905-2018-24-2-70-79.
- Малышев Е.Е., Павлов Д.В., Горбатов Р.О. Эндопротезирование коленного сустава после переломов проксимального отдела большеберцовой кости. Травматология и ортопедия России. 2016;(1):65-73.
- Malyshev E.E., Pavlov D.V., Gorbatov R.O. [Total knee arthroplasty after proximal tibia fracture]. Travmatologiya i ortopediya Rossii [Traumatology and Orthopedics of Russia]. 2016;(1):65-73. (In Russian).
- Best M.J., Amin R.M., Raad M., Kreulen R.T., Musharbash F., Valaik D. et al. Total Knee Arthroplasty after Anterior Cruciate Ligament Reconstruction. J Knee Surg. 2020:Nov 26. doi: 10.1055/s-0040-1721423.
- Weiss N.G., Parvizi J., Trousdale R.T., Bryce R.D., Lewallen D.G. Total knee arthroplasty in patients with a prior fracture of the tibial plateau. J Bone Joint Surg Am. 2003;85(2):218-221. doi: 10.2106/00004623-200302000-00006.
- Scott C.E., Davidson E., MacDonald D.J., White T.O., Keating J.F. Total knee arthroplasty following tibial plateau fracture: a matched cohort study. Bone Joint J. 2015;97-B(4):532-538. doi: 10.1302/0301-620X.97B4.34789.
- Saleh H., Yu S., Vigdorchik J., Schwarzkopf R. Total knee arthroplasty for treatment of post-traumatic arthritis: Systematic review. World J Orthop. 2016;7(9):584-591. doi: 10.5312/wjo.v7.i9.584.
- Liu Y., Zhao X.D., Zou C. Lingering risk: A meta-analysis of outcomes following primary total knee arthroplasty for patients with post-traumatic arthritis. Int J Surg. 2020; 77:163-172. doi: 10.1016/j.ijsu.2020.03.053.
- Brockman B.S., Maupin J.J., Thompson S.F., Hollabaugh K.M., Thakral R. Complication Rates in Total Knee Arthroplasty Performed for Osteoarthritis and Post-Traumatic Arthritis: A Comparison Study. J Arthroplasty. 2020;35(2):371-374. doi: 10.1016/j.arth.2019.09.022.
- Houdek M.T., Watts C.D., Shannon S.F., Wagner E.R., Sems S.A., Sierra R.J. Posttraumatic Total Knee Arthroplasty Continues to Have Worse Outcome Than Total Knee Arthroplasty for Osteoarthritis. J Arthroplasty. 2016;31(1):118-123. doi: 10.1016/j.arth.2015.07.022.
- Mehin R., O’Brien P., Broekhuyse H., Blachut P., Guy P. Endstage arthritis following tibia plateau fractures: average 10-year follow-up. Can J Surg. 2012;55(2):87-94. doi: 10.1503/cjs.003111.
- Середа А.П., Грицюк А.А., Зеленяк К.Б., Серебряков А.Б. Факторы риска инфекционных осложнений после эндопротезирования коленного сустава. Инфекции в хирургии. 2010;8(4):67-76.
- Sereda A.P., Gritsyuk A.A., Zelenyak K.B., Serebryakov A.B. [Risk factors for infectious complications after knee replacement]. Infektsii v khirurgii [Infections in Surgery]. 2010;8(4):67-76. (In Russian).
Supplementary files






