Kinematic Comparison of Orthopedic Shoes and Ankle-Foot Orthoses in Children With Cerebral Palsy
- Authors: Koltsov A.A.1, Aksenov A.Y.2, Dzhomardly E.I.1
-
Affiliations:
- Federal Scientific Center of Rehabilitation of the Disabled n. a. G.A. Albrecht
- National Ilizarov Medical Research Centre for Traumatology and Ortopaedics
- Issue: Vol 28, No 4 (2022)
- Pages: 102-113
- Section: СLINICAL STUDIES
- Submitted: 15.10.2021
- Accepted: 08.11.2022
- Published: 26.12.2022
- URL: https://journal.rniito.org/jour/article/view/1682
- DOI: https://doi.org/10.17816/2311-2905-1682
- ID: 1682
Cite item
Full Text
Abstract
Background. In patients with cerebral palsy (CP), secondary orthopedic deformities and violations of the walking pattern are often observed, so various methods of treatment are used for its correction, including orthosis. Abroad, orthoses (AFO) for ankle joints are most often used in clinical practice, whereas in Russia complex orthopedic shoes are used. At the same time, there are no comparative studies investigating the influence of these orthopedic products on the biomechanical parameters of gait.
The aim of the study was to compare the kinematic parameters of walking in children with cerebral palsy, depending on the type of fixation of the foot and ankle joint.
Methods. 25 biomechanical studies (9 barefoot tests; 7 tests in orthopedic shoes; 9 tests in AFO) were conducted in 9 patients with GMFCS 2 and GMFCS 3 levels of global motor function impairment.
Results. The analysis showed that using AFO compared to walking barefoot, regardless of the GMFCS level, positively affects the space-time characteristics of walking, the kinematics of the ankle and knee joints, without significantly affecting the function of the hip joint. In this regard, an improvement in the integral indicator — the gait index — was noted. The use of orthopedic shoes in patients with GMFCS 2 and GMFCS 3 levels of global motor functions led to an improvement in the kinematics of the ankle and knee joints. At the same time, in patients in the GMFCS 2 group, the use of orthopedic shoes provided an improvement in more components of the gait index, whereas in the GMFCS 3 group, the number of such variables was significantly less. A comparative analysis of the results showed that the kinematic parameters of walking in orthopedic shoes are better in patients of the GMFCS 2 group, but in the GMFCS 3 group it is significantly better when using AFO.
Conclusion. The choice of the type of foot fixation in patients with cerebral palsy, taking into account the level of global motor functions impairment, can significantly affect the correction of biomechanical parameters of walking.
Keywords
Full Text
ВВЕДЕНИЕ
Детский церебральный паралич — одно из наиболее частых неврологических заболеваний в педиатрической популяции, приводящее к частым вторичным ортопедическим нарушениям [1, 2, 3]. Одной из особенностей указанных нарушений является их прогрессирование с возрастом, в связи с этим такие больные постоянно находятся под наблюдением врача травматолога-ортопеда, который на этапе наблюдения с целью коррекции деформаций использует хирургические и консервативные методы лечения, в том числе ортезирование [4, 5, 6]. Ортезы на голеностопные суставы (Ankle Foot Orthosis — AFO) различных конструкций (Ground Reaction Ankle Foot Orthosis — GRAFO, leaf-spring AFO и т.д.) являются наиболее применяемыми в клинической практике [7, 8, 9]. Вместе с тем мы не обнаружили публикаций, в которых проводилось бы сравнительное исследование влияния AFO и сложной ортопедической обуви на биомеханические параметры ходьбы, несмотря на крайне широкое применение ортопедической обуви в России и множественные публикации о применении AFO в зарубежных источниках [7, 8, 9, 10]. Также редки исследования влияния AFO на биомеханику ходьбы у детей с ДЦП с учетом уровня нарушения глобальных моторных функций GMFCS (Gross Motor Function Classification System) [11].
Цель исследования — сравнить кинематические параметры ходьбы детей с ДЦП в зависимости от типа фиксации стопы и голеностопного сустава.
МАТЕРИАЛ И МЕТОДЫ
Дизайн исследования
Проведено одномоментное контролируемое исследование «случай-контроль».
Были сформированы три группы пациентов: первая группа — обобщенная, в которую вошли пациенты с уровнями нарушения глобальных моторных функций GMFCS 2 и GMFCS 3; вторая группа — пациенты с уровнем GMFCS 2; третья — GMFCS 3.
По результатам клинического осмотра для проведения биомеханического обследования сформирована группа из 9 пациентов.
Критериями включения являлись:
– подтвержденный диагноз «ДЦП, спастическая диплегия» либо «ДЦП, спастический тетрапарез»;
– уровень глобальных моторных функций GMFCS 2 — GMFCS 3;
– уровень спастичности 2–3 по шкале Ashworth [12];
– возраст пациентов от 5 до 16 лет включительно (т.е. с уже сформировавшимся стереотипом ходьбы).
Критерии исключения:
– невозможность ходьбы даже с использованием средств дополнительной опоры (костылей, тростей, ходунков);
– значимые когнитивные и эмоциональные нарушения обследуемого, не позволяющие добиться с ним контакта для проведения биомеханического обследования;
– ботулинотерапия в анамнезе менее чем за 6 мес. до обследования;
– хирургическое лечение в анамнезе менее чем за 12 мес. до обследования.
Всем пациентам перед проведением биомеханического исследования выполнено комплексное клиническое обследование, включающее оценку паттернов ходьбы, которая осуществлялась по классификации J. Rodda и H.K. Graham для билатеральных спастических форм церебрального паралича [13].
Всем пациентам были проведены три теста: босиком; в сложной ортопедической обуви; в ортезе на голеностопный сустав, за исключением двух пациентов с уровнями GMFCS 2 и GMFCS 3, у которых на момент исследования сложной ортопедической обуви не было (рис. 1). Сложная ортопедическая обувь соответствовала следующим требованиям: изготавливалась индивидуально по меркам или слепкам; содержала в качестве обязательных элементов двусторонний либо круговой жесткий берц; использовалась пациентом не менее одного и не более 6 мес.; не имела дефицита внутриобувного пространства и не приводила к формированию болей, натоптышей и потертостей; не имела значимых признаков деформации.
Рис. 1. Ортез на голеностопные суставы и сложная ортопедическая обувь
Ортез на голеностопный сустав приобретался пациентом до поступления в стационар либо изготавливался в производственной лаборатории на этапе прохождения реабилитации в стационаре по решению медико-технической комиссии. В состав медико-технической комиссии входили три врача травматолога-ортопеда (председатель МТК, заведующий отделением, лечащий врач), научный сотрудник института протезирования и ортезирования, а также как минимум один техник-ортезист. Выбор типа конструкции ортеза на голеностопный сустав определялся согласно классификации J. Rodda и H.K. Graham для билатеральных спастических форм церебрального паралича в зависимости от паттерна походки пациента [13]. Ортез использовался пациентом до исследования не менее 4 нед., при этом ношение изделия не вызывало дискомфорта.
Регистрация движений человека осуществлялась с помощью 12 оптических инфракрасных камер Miqus M5 (Швеция) с разрешением 4 Мп и частотой 100 Гц. Реконструкция движений тела осуществлялась с помощью светоотражающих маркеров диаметром 12,5 мм, которые устанавливались на анатомические точки с использованием методики IOR (Instituti Ortopedici Rizzoli — Институт ортопедии Ризоли, в честь которого названа методика установки и анализа положения маркеров) [14] (рис. 2).
Рис. 2. Фотофиксация исследования: установка маркеров на нижние конечности и таз
Модель скелета построена в программной среде Visual3D на основе установленных маркеров (рис. 3).
Рис. 3. Модель для реконструкции сегментов тела человека в Visual3D (C-Motion), используемая при анализе ходьбы, где желтые (калибровочные) маркеры снимаются при динамической регистрации походки (IOR модель)
После построения модели скелета задавались расчетные параметры, позволяющие произвести комплексную оценку функции ходьбы ребенка с ДЦП по трем основным направлениям/блокам.
Первый блок — исследование пространственно-временных параметров ходьбы: длина шага (м) для правой и левой нижней конечности; скорость шага (м/с); база шага (м). В качестве нормативной базы для описанных параметров ходьбы использованы данные литературы [15, 16].
Второй блок — исследование кинематики крупных суставов нижних конечностей в двух плоскостях (сагиттальной и горизонтальной): сгибание и разгибание в тазобедренных суставах (угол бедра); сгибание и разгибание в коленных суставах (угол коленного сустава); положение плантарной поверхности стоп или подошвенной поверхности обуви относительно опорной поверхности — Foot pitch (сагиттальный угол движения стопы); положение стопы относительно вектора движения — foot progretion (угол разворота стопы). Анализ кинематики проводился в программах QTM (Qualisys), Visual3D (C-Motion) и с помощью клинического PAF Gait модуля, встроенного в программное обеспечение.
Третий блок — интегральный показатель — индекс походки (gait profile score — GPS), который рассчитан как глобально для правой и левой нижних конечностей, так и отдельно для тазобедренного (ТБС), коленного (КС), голеностопного суставов (ГСС) и положения стоп относительно вектора движения (foot progression). Методика расчета GPS описана в литературе [4, 17, 18].
Регистрация кинематики движений проводилась в программе QTM (Qualisys), а построение скелета и анализ данных — в программе Visual3D (C-Motion). Артефакты движения кожи, которые повлияли на кинематику движения маркеров, фильтровались с помощью низкочастотного фильтра четвертого порядка Баттерворта с частотой среза 12 Гц. Результаты кинематики анализировались в соответствии с международными стандартами с помощью клинического модуля PAF (Clinical Gait) компании Qualisys. Каждый испытуемый проходил период адаптации в лаборатории. Анализировались в среднем 20 шагов для каждого ортопедического средства. Шаги разделялись на циклы, где цикл шага представлялся как временной промежуток от начала касания пятки с опорой (0%) до следующего контакта пятки с опорой (100%). Производился анализ индекса ходьбы для различных суставов и в целом, который рассчитывается путем сравнения угловых показателей суставов с нормативной базой данных. При этом, чем больше значение индекса превышает показатели нормы, тем тяжелее функциональные нарушения ходьбы, а уменьшение индекса демонстрирует приближение угловых показателей к средним значениям нормативной базы (норма). Расчет индекса ходьбы более подробно описан в литературе [4, 18, 19]. Согласно данным литературы, нормативными данными по указанному индексу можно считать показатели ниже 8,5 [19, 20, 21].
Статистический анализ
Статистический анализ количественных показателей для обобщенной группы (т.е. без распределения на группы по классификации GMFCS) проведен непараметрическим методом для связанной выборки — T-критерием Вилкоксона. Статистическая значимость зафиксирована на уровне вероятности ошибки p<0,05. После распределения пациентов на группы (GMFCS 2 и GMFCS 3) применение статистических методов оказалось невозможным в связи с недостаточным числом пациентов в каждой группе. Поэтому в таблице 3 представлены только медианные значения с верхним и нижним квартилями в формате Me (LQ; UQ). Обработка данных выполнена с использованием пакетов прикладных программ Visual3D, Clinical Gait PAF (Qualisys), Statistica 10 и Excel.
РЕЗУЛЬТАТЫ
Клиническая оценка паттернов ходьбы продемонстрировала, что у одного пациента имеется первый тип паттерна ходьбы — истинный эквинус; у двух пациентов — второй тип — «прыгающая» походка; у одного пациента — третий тип — кажущийся эквинус; у пяти пациентов — четвертый тип — «согнутая» походка.
Для выявления статистически значимого различия пространственно-временных характеристик ходьбы детей в тестах босиком, в сложной ортопедической обуви и в AFO выполнено попарное сравнение цифровых значений этих тестов (табл. 1).
Таблица 1
Результаты попарного сравнения пространственно-временных характеристик ходьбы детей с ДЦП при выполнении различных тестов с применением критерия Вилкоксона
Параметр | Обобщенная группа, n = 9 | ||||||
Тест | Результаты сравнительного анализа, уровень р | ||||||
босиком | орт. обувь | AFO | босиком и орт. обувь | босиком и AFO | орт. обувь и AFO | ||
Длина шага, м | Левая | 0,35±0,08 | 0,36±0,02 | 0,38±0,10 | 0,398 | 0,515 | 0,753 |
Правая | 0,30±0,11 | 0,40±0,05 | 0,36±0,09 | 0,028* | 0,021* | 0,866 | |
Скорость шага, м/с | 0,53±0,32 | 0,73±0,19 | 0,60±0,30 | 0,398 | 0,678 | 0,735 | |
База шага, м | 0,16±0,07 | 0,17±0,03 | 0,17±0,05 | 0,866 | 0,515 | 0,499 | |
* Значение статистически значимо.
Как видно из таблицы 1, в тестах с ортопедической обувью и AFO по сравнению с тестом босиком статистически значимые различия выявлены только по переменной длины шага правой нижней конечности.
Результаты статистического попарного сравнения интегрального показателя (индекса походки) представлены в таблице 2.
Таблица 2
Результаты статистического попарного сравнения индекса ходьбы детей с ДЦП в тестах босиком, в ортопедической обуви и в ортезе на голеностопный сустав с использованием критерия Вилкоксона
Параметр | Обобщенная группа, n = 9 | |||||
Тест | Результаты сравнительного анализа, уровень р | |||||
босиком | орт. обувь | AFO | босиком и орт. обувь | босиком и AFO | орт. обувь и AFO | |
Индекс походки — левая нижняя конечность | 14,8±2,9 | 14,8 ± 4,7 | 11,7 ± 2,6 | 0,345 | 0,008* | 0,028* |
Индекс походки — правая нижняя конечность | 15,1±2,0 | 14,0±2,6 | 13,0±2,18 | 0,063 | 0,008* | 0,499 |
Индекс походки — КС слева | 22,5±6,4 | 23,7±8,4 | 19,1±6,1 | 0,499 | 0,008* | 0,023* |
Индекс походки — КС справа | 22,4±5,8 | 22,3±8,0 | 19,8±5,3 | 0,933 | 0,093 | 1,000 |
Индекс походки — ГСС слева | 14,8±4,1 | 17,0±8,5 | 12,4±4,8 | 0,176 | 0,374 | 0,237 |
Индекс походки — ГСС справа | 16,7±6,0 | 15,5±7,5 | 14,7±4,4 | 0,866 | 0,26 | 0,753 |
Угол разворота стопы слева | 17,1±6,5 | 15,4±9,1 | 13,0±5,7 | 0,753 | 0,263 | 0,345 |
Угол разворота стопы справа | 18,3±10,5 | 13,7±9,2 | 15,1±8,8 | 0,028* | 0,401 | 0,116 |
* Значение статистически значимо
Данные, представленные в таблице 2, указывают на статистически значимое различие по трем переменным при использовании ортеза на ГСС по сравнению с тестом босиком, тогда как ношение ортопедической обуви привело к улучшению только одной из переменных. Попарное сравнение AFO и ортопедической обуви выявило статистически значимое различие по двум переменным.
Результаты анализа медианных значений с верхними и нижними квартилями с учетом уровня глобальных моторных функций — GMFCS 2 и GMFCS 3 представлены в таблице 3.
Таблица 3
Результаты анализа исследованных переменных в условиях теста босиком, в стандартной и в ортопедической обуви с учетом уровня нарушения глобальных моторных функций GMFCS (Mе (LQ ; UQ)
Переменные | Уровень нарушения глобальных моторных функций | ||||||
GMFCS 2, n = 4 | GMFCS 3, n = 5 | ||||||
Тест | Тест | ||||||
босиком | орт. обувь | AFO | босиком | орт. обувь | AFO | ||
Длина шага, м | Левая | 0,36 (0,33; 0,41) | 0,36 (0,33; 0,38) | 0,40 (0,36; 0,45) | 0,28 (0,27; 0,34) | 0,34 (0,26; 0,46) | 0,35 (0,31; 0,37) |
Правая | 0,37 (0,35; 0,41) | 0,43 (0,34; 0,44) | 0,41 (0,39; 0,46) | 0,26 (0,24; 0,31) | 0,37 (0,27; 0,37) | 0,33 (0,28; 0,34) | |
Скорость шага, м/c | 0,83 (0,64; 0,97) | 0,66 (0,59; 0,95) | 0,85 (0,78; 0,92) | 0,27 (0,21; 0,34) | 0,31 (0,18; 0,59) | 0,32 (0,29; 0,56) | |
База шага, м | 0,14 (0,12; 0,20) | 0,15 (0,14; 0,20) | 0,16 (0,15; 0,19) | 0,13 (0,1; 0,2) | 0,15 (0,12; 0,22) | 0,15 (0,11; 0,18) | |
Индекс походки — левая нижняя конечность | 14,4 (12,5; 16,3) | 10,2 (9,7; 16,4) | 12,0 (9,2; 14,8) | 16,2 (12,3; 16,4) | 15,6 (13,0; 19,9) | 12,1 (10,2; 12,1) | |
Индекс походки — правая нижняя конечность | 16,3 (14,9; 16,9) | 13,0 (13,0; 15,3) | 14,0 (13,6; 14,7) | 14,5 (14,0; 15,8) | 14,5 (11,3; 17,1) | 11,8 (10,1; 12,5) | |
Переменные | Уровень нарушения глобальных моторных функций | ||||||
GMFCS 2, n = 4 | GMFCS 3, n = 5 | ||||||
Тест | Тест | ||||||
босиком | орт. обувь | AFO | босиком | орт. обувь | AFO | ||
Индекс походки — КС слева | 19,6 (16,2; 28,4) | 15,5 (15,1; 35,2) | 15,6 (14,2; 24,8) | 21,7 (18,4; 26,5) | 25,5 (19,6; 30,4) | 18,6 (17,7; 19,0) | |
Индекс походки — КС справа | 18,8 (14,9; 26,8) | 14,9 (13,0; 31,2) | 17,0 (15,4; 25,3) | 24,4 (20,0; 25,5) | 23,3 (18,4; 30,0) | 18,5 (18,4; 19,0) | |
Индекс походки — ГСС слева | 12,9 (11,7; 16,2) | 13,7 (6,2; 22,0) | 13,5 (9,8; 18,8) | 13,8 (13,1; 19,4) | 17,6 (12,4; 26,3) | 10,6 (9,4; 13,2) | |
Индекс походки —ГСС слева | 13,8 (9,0; 18,3) | 8,2 (6,1; 22,5) | 12,4 (11,5; 17,6) | 17,7 (14,7; 24,0) | 16,1 (13,5; 22,5) | 13,0 (11,2; 18,2) | |
Индекс походки foot progretion слева | 18,9 (15,0; 20,8) | 9,0 (5,6; 20,1) | 13,5 (8,6; 20,8) | 16,9 (9,7; 23,0) | 20,1 (8,6; 29,1) | 9,9 (9,1; 13,5) | |
Индекс походки foot progretion справа | 22,7 (13,4; 32,6) | 12,4 (9,9; 31,7) | 19,0 (12,0; 27,3) | 11,2 (7,8; 19,5) | 9,7 (5,8; 12,8) | 8,8 (7,2; 13,8) | |
Из данных, представленных в таблице 3, видно, что при использовании ортеза на ГСС у пациентов с уровнем GMFCS 2 по сравнению с ходьбой босиком отмечена положительная тенденция в улучшении показателей трех переменных, описывающих пространственно-временные характеристики ходьбы, и по 7 из 8 исследованных показателей индекса походки, тогда как у детей с уровнем GMFCS 3 — по всем отмеченным переменным. Анализ результатов тестов ходьбы босиком и в ортопедической обуви показал, что при использовании последней у пациентов с уровнем GMFCS 2 отмечалась положительна тенденция к улучшению базы и длины шага правой нижней конечностью, а также 7 из 8 показателей индекса походки, тогда как в группе GMFCS 3 положительная тенденция выявлена по всем трем анализируемым пространственно-временным показателям и по 4 из 8 показателей индекса походки.
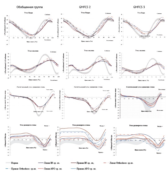
Исследование кинематики движения крупных суставов нижних конечностей представлено на рисунке 4.
Рис. 4. Гониограммы крупных суставов нижних конечностей детей со спастическими формами ДЦП.
Примечание: Bf — босиком; Orthoshoes — ортопедическая обувь; AFO — ортез на голеностопный сустав; «серая полоса» коридор значений — это допустимая норма; единицей измерения по оси ординат (Оу) являются градусы; по оси абсцисса (Ох) — процент от цикла шага, где весь цикл шага — 100%
ОБСУЖДЕНИЕ
Одним из важных составляющих комплексного биомеханического обследования пациентов с ДЦП является оценка пространственно-временных показателей ходьбы, что особенно актуально при оценке эффективности ортезирования. В частности, по данным ряда исследователей, использование ортеза на ГСС увеличивает скорость ходьбы [22, 23, 24] и длину шага [25, 26, 27]. По нашим данным, статистически значимое различие при использовании ортопедической обуви и ортезов на ГСС по сравнению с ходьбой босиком наблюдалось только по переменной длины шага правой нижней конечности. В то же время попарное сравнение результатов ходьбы по указанным переменным не продемонстрировало статистически значимой разницы (см. табл. 1). Наши результаты соответствуют тенденциям, представленным по результатам единичных исследований [28, 29]. Данное противоречие, на наш взгляд, может быть обусловлено разными факторами, в том числе различием уровня двигательной активности испытуемых по классификации GMFCS и разными паттернами ходьбы. Более того, пациенты уровня GMFCS 3 в отличие от более «легких» больных использовали при ходьбе дополнительные средства опоры (трости, ходунки), влияющие на стереотип ходьбы. По этим причинам мы представили в настоящей работе оценку результатов влияния ортопедического обеспечения на биомеханику ходьбы у больных с ДЦП с учетом уровня глобальных моторных функций GMFCS.
Данные, представленные в таблице 2, указывают на статистически значимое различие в ходьбе по трем переменным (индекс ходьбы левой и правой нижних конечностей; индекс ходьбы левого КС) при использовании ортеза на ГСС по сравнению с тестом босиком, тогда как ношение ортопедической обуви привело к улучшению только одной (угол разворота правой стопы) из переменных. Попарное сравнение ходьбы в AFO и ортопедической обуви выявило статистически значимое различие по двум переменным (индекс ходьбы левой нижней конечности и индекс ходьбы левого коленного сустава).
После распределения пациентов на группы применение статистических методов оказалось невозможным ввиду недостаточности количества больных в каждой группе, в связи с этим в таблице 3 представлены только медианные значения исследуемых переменных с указанием верхнего и нижнего квартилей. Исходя из вышесказанного, обсуждение построено на основании указанных результатов. Так, данные, представленные в таблице 3, показали, что ношение AFO по сравнению с ходьбой босиком положительно влияет на пространственно-временные характеристики походки (длину и скорость шага) с различиями средних значений в диапазоне от 5,5 до 26,0%, в этом наши результаты согласуются с данными литературы [22, 23, 24, 25, 26, 27]. Примечательно, что эти различия тем больше, чем тяжелее уровень нарушения глобальных моторных функций. Так, у пациентов группы GMFCS 2 по указанным показателям выявлена разница до 10,0%, у пациентов группы GMFCS 3 — до 21,2%. Влияние ношения ортопедической обуви на пространственно-временные характеристики походки по сравнению с ходьбой босиком неоднозначны и зависят от выраженности нарушения глобальных моторных функций в соответствии с классификацией GMFCS : у детей с уровнем GMFCS 2 привело к снижению скорости ходьбы на четверть и увеличению длины шага справа без существенного изменения длины шага слева, тогда как у пациентов с уровнем GMFCS 3 положительно повлияло на все исследуемые пространственно-временные характеристики походки.
Анализ гониограмм, представленных на рисунке 3, показал, что у всех пациентов независимо от типа фиксации стопы начальная фаза периода опоры начинается не с контакта пятки, как в норме, а с опоры практически всей плантарной поверхностью стопы, о чем косвенно свидетельствуют данные, представленные на графике «сагиттальный угол движения стопы». Этот факт согласуется с данными литературы. В частности, Л.М. Смирнова с соавторами выявили, что у пациентов с уровнями нарушения глобальных моторных функций GMFCS 1–3 наблюдаются статистически значимые различия в показателе парциальной нагрузки на пятку при ходьбе в ортопедической обуви по сравнению со «стандартной» – снижение нагрузки на пятку по сравнению с ходьбой детей в норме [30]. Кроме этого, наблюдается пролонгация периода опоры во времени по сравнению с нормой с максимумом в группе GMFCS 3. Тот факт, что при сравнительном анализе высота отрыва пятки от опорной поверхности и амплитуда сгибания в голеностопном суставе в AFO оказалась меньше, чем в ортопедической обуви, обусловлен тем, что ортезы у некоторых испытуемых изначально конструктивно имели ограничение плантарной флексии. Объективными данными, подтверждающими вышеописанные факты, являются существенное увеличение длины и скорости шага у испытуемых в обобщенной группе и группе GMFCS 3.
У всех детей независимо от типа используемой обуви отмечается тенденция к внутриротационной установке нижних конечностей и развороту стоп вовнутрь, что подтверждается в некоторых зарубежных публикациях. Так, по данным R.K. Elnaggar с соавторами, у детей с ДЦП отклонение от нормы показателей кинематики движения в сагиттальной плоскости является частой проблемой и носит многоуровневый характер, включающий в том числе внутриротационное положение стоп [31]. В то же время тип фиксации, как видно на рисунке 3, может повлиять как на степень данной установки, так и на ее симметричность справа и слева. У пациентов с уровнем GMFCS 2 при использовании ортопедической обуви по сравнению с другими тестами отмечается наиболее близкое к норме положение стоп: левая стопа при использовании ортопедической обуви в течение всего периода переноса стопы находится в нормативном диапазоне, положение правой стопы в наименьшей степени отклонено от нормы. Следует отметить, что левая стопа при тестах босиком и в AFO в период переноса находится в пределах нормы, однако асимметрия с контралатеральной конечностью значительно превышает асимметрию аналогичного показателя при ходьбе в ортопедической обуви. У пациентов с уровнем GMFCS 3 при использовании AFO в течение всего периода переноса стопы находятся в нормативном диапазоне. В тестах босиком и в ортопедической обуви левая стопа практически на всем протяжении цикла шага находится в положении внутренней ротации, тогда как кривая, описывающая траекторию правой стопы, лишь на незначительном протяжении периода переноса располагается в диапазоне нормы. Наши результаты не настолько однозначны, как у B. Damino c соавторами, утверждающих, что использование AFO привело к нарастанию внутриротационного положения стоп у испытуемых [32]. На наш взгляд, такая несогласованность результатов может быть обусловлена рядом факторов, в том числе отсутствием исследования изменения указанного параметра у детей с разными уровнями GMFCS. Кроме того, из текста работы авторов видно, что две трети детей с ДЦП имели уровень нарушения глобальных моторных функций GMFCS 1 и GMFCS 2, данные которых, вероятно, и внесли значительный вклад в конечный общий результат. Вместе с тем, наши результаты исследования детей c уровнем GMFCS 2 показывает схожую тенденцию, что и у вышеуказанных авторов.
У всех пациентов, вне зависимости от типа фиксации стопы, отмечена сгибательная установка в коленных суставах, аналогичную тенденцию отмечали и другие авторы. Например, Г.М. Чибиров с соавторами указывали, что у значительного числа пациентов с ДЦП как в опорный, так и в неопорный периоды цикла шага наблюдалась сгибательная установка в правом и левом коленных суставах [33]. Вместе с тем выраженность указанного эффекта, по нашим данным, зависела от тяжести нарушения глобальных моторных функций. Так, минимальная коррекция угла сгибательной установки в коленных суставах (до 6%) отмечена в группе GMFCS 2; максимальная (в AFO для левого коленного сустава на 26,8%, для правого — на 25,5% по сравнению с тестом босиком) в группе GMFCS 3. Полученные результаты имеют однонаправленную тенденцию с данными других авторов [34, 35]. Наши результаты полностью согласуются с данными H. Böhm с соавторами, сообщающих, что использование AFO у пациентов с низким функциональным статусом (GMFCS 3 и GMFCS 4) позволяет достичь максимального положительного эффекта. Данный факт, как полагают авторы, обусловлен слабостью разгибателей стопы [35].
У детей в обобщенной группе при использовании AFO отмечается коррекция сгибательной установки в коленных суставах на 16,7% слева и на 13,4% справа по сравнению с тестом босиком; в ортопедической обуви динамика выражена меньше и составила от 5,2 до 12,5% соответственно.
Изучение гониограмм тазобедренных суставов в сагиттальной плоскости не показало различия между тестами. Траектории кривых, описывающих кинематику суставов, практически соответствовали норме с общей тенденцией к ограничению разгибания в тазобедренных суставах, в большей степени — у пациентов с уровнем глобальных моторных функций GMFCS 3. Согласно данным W.K. Lam с соавторами, использование AFO приводит к статистически значимому увеличению угла сгибания в тазобедренных суставах в фазе контакта стопы с опорной поверхностью (initial contact). По данным ряда авторов, статистически значимое влияние использования AFO на кинематику коленных и тазобедренных суставов отсутствует [36, 37, 38].
Использование AFO по сравнению с ходьбой босиком продемонстрировало положительную тенденцию к изменению показателей индекса походки (табл. 3). В частности, максимальное улучшение в группе GMFCS 2 составило 29%, тогда как в группе GMFCS 3 — 51% (медиана 16% и 24% соответственно).
Анализ результатов тестов ходьбы босиком и в ортопедической обуви показал, что при использовании последней у пациентов с уровнем GMFCS 2 отмечена положительная тенденция по 7 из 8 показателей, тогда как в группе GMFCS 3 положительная тенденция выявлена лишь по четырем переменным. Максимальное улучшение в группе GMFCS 2 составило 52%, тогда как в группе GMFCS 3 — 13% (Ме 25% и 7% соответственно).
Сравнительный анализ результатов измерения индекса походки в тестах с ортопедической обувью и AFO показал положительную тенденцию к применению сложной ортопедической обуви по сравнению с AFO у 6 из 8 пациентов группы GMFCS, в двух случаях эффект сравниваемых технических изделий был сопоставимым. В группе GMFCS 3 во всех тестах выявлено преимущество использования AFO.
ЗАКЛЮЧЕНИЕ
Выбор способа фиксации стопы у пациентов со спастическими формами ДЦП с учетом уровня нарушения глобальных моторных функций имеет существенное значение в коррекции кинематических параметров опоры и передвижения. У пациентов с уровнем глобальных моторных GMFCS 2 при использовании ортопедической обуви и ортеза на голеностопный сустав улучшается кинематика ходьбы по сравнению с ходьбой босиком, положительный эффект оказался более значимым в тестах с ортопедической обувью. У пациентов группы GMFCS 3 максимально эффективным оказалось использование ортеза на голеностопный сустав.
ДОПОЛНИТЕЛЬНАЯ ИНФОРМАЦИЯ
Заявленный вклад авторов
Кольцов А.А. — концепция и дизайн исследования, редактирование статьи.
Аксёнов А.Ю. — сбор и обработка данных, редактирование статьи.
Джомардлы Э.И. — обзор литературы, сбор и обработка данных, написание текста и редактирование статьи.
Все авторы прочли и одобрили финальную версию рукописи статьи. Все авторы согласны нести ответственность за все аспекты работы, чтобы обеспечить надлежащее рассмотрение и решение всех возможных вопросов, связанных с корректностью и надежностью любой части работы.
Источник финансирования. Авторы заявляют об отсутствии внешнего финансирования при проведении исследования.
Конфликт интересов. Авторы декларируют отсутствие явных и потенциальных конфликтов интересов, связанных с публикацией настоящей статьи.
Этическая экспертиза. Исследования были одобрены этическим комитетом при ФГБУ «Федеральный научный центр реабилитации инвалидов им. Г.А. Альбрехта», протокол № 3, 06.08.2021 г.
Информированное согласие на публикацию. Авторы получили письменное согласие законных представителей пациентов на публикацию медицинских данных и фотографий.
DISCLAIMERS
Author contribution
Andrey A. Koltsov — study design, text editing.
Andrey Yu. Aksenov — collection and processing of material, text editing.
Elnur I. Dzhomardly — literature review, collection and processing of material, text writing and editing.
All authors have read and approved the final version of the manuscript of the article. All authors agree to bear responsibility for all aspects of the study to ensure proper consideration and resolution of all possible issues related to the correctness and reliability of any part of the work.
Funding source. This study was not supported by any external sources of funding.
Competing interests. The authors declare that they have no competing interests.
Ethics approval. The study was approved by the local ethics committee of Federal Scientific Center of Rehabilitation of the Disabled n. a. G.A. Albrecht, protocol No 3, 06.08.2021.
Consent for publication. Written consent was obtained from legal representatives of children for publication of relevant medical information and all of accompanying images within the manuscript.
About the authors
Andrey A. Koltsov
Federal Scientific Center of Rehabilitation of the Disabled n. a. G.A. Albrecht
Author for correspondence.
Email: katandr2007@yandex.ru
ORCID iD: 0000-0002-0862-8826
Cand. Sci. (Med.)
Russian Federation, St. PetersburgAndrey Yu. Aksenov
National Ilizarov Medical Research Centre for Traumatology and Ortopaedics
Email: a.aksenov@hotmail.com
ORCID iD: 0000-0002-7180-0561
Russian Federation, Kurgan
Elnur I. Dzhomardly
Federal Scientific Center of Rehabilitation of the Disabled n. a. G.A. Albrecht
Email: mamedov.ie@yandex.ru
ORCID iD: 0000-0002-0281-3262
Russian Federation, St. Petersburg
References
- Pomnikov V.G., Penina O.G., Vladimirova O.N., Kolcheva Yu.A., Adrianov A.V. [New classifications and criteria for determination of disability in children]. Neyrokhirurgiya i nevrologiya detskogo vozrasta [Journal of Medical Research and Practice Pediatric Neurosurgery and Neurology]. 2017:16;8-16. (In Russian).
- Almasri N.A., Saleh M., Abu-Dahab S., Malkawi S.H., Nordmark E. Functional profiles of children with cerebral palsy in Jordan based on the association between gross motor function and manual ability. BMC Pediatr. 2018;18(1):276. doi: 10.1186/s12887-018-1257-x.
- Son H., Lee D., Hong S., Lee K. Lee G. Comparison of Gait Ability of a Child with Cerebral Palsy According to the Difference of Dorsiflexion Angle of Hinged Ankle-Foot Orthosis: A Case Report. Am J Case Rep. 2019;20:1454-1459. doi: 10.12659/AJCR.916814.
- Skaaret I., Steen H., Huse A.B. Comparison of gait with and without ankle-foot orthoses after lower limb surgery in children with unilateral cerebral palsy. J Child Orthop. 2019;13(2):180-189. doi: 10.1302/1863-2548.13.180146.
- Melanda A.G., Pauleto A.C., Iucksch D.D., Cunha R.F., Smaili S.M. Results of orthoses used on ambulatory patients with bilateral cerebral palsy. Acta Ortop Bras. 2020;28(3):137-141. doi: 10.1590/1413-785220202803228922.
- Schwarze M., Block J., Kunz T., Alimusaj M., Heitzmann D.W.W., Putz C. et al. The added value of orthotic management in the context of multi-level surgery in children with cerebral palsy. Gait Posture. 2019;68:525-530. doi: 10.1016/j.gaitpost.2019.01.006.
- Wright E., DiBello S.A. Principles of Ankle-Foot Orthosis Prescription in Ambulatory Bilateral Cerebral Palsy. Phys Med Rehabil Clin N Am. 2020;31(1):69-89. doi: 10.1016/j.pmr.2019.09.007.
- Kane K.J., Musselman K.E., Lanovaz J. Effects of solid ankle-foot orthoses with individualized ankle angles on gait for children with cerebral palsy and equinus. J Pediatr Rehabil Med. 2020;13(2):169-183. doi: 10.3233/PRM-190615.
- Lintanf M., Bourseul J.S., Houx L., Lempereur M., Brochard S., Pons C. Effect of ankle-foot orthoses on gait, balance and gross motor function in children with cerebral palsy: a systematic review and meta-analysis. Clin Rehabil. 2018;32(9):1175-1188. doi: 10.1177/0269215518771824.
- Koltsov A.A., Dzhomardly E.I. [Analysis of type and frequency dynamics of rehabilitation assistive devices in children with cerebral palsy]. Ortopediya, travmatologiya i vosstanovitel’naya khirurgiya detskogo vozrasta [Pediatric Traumatology, Orthopaedics and Reconstructive Surgery]. 2020;8(2):55-64. (In Russian). doi: 10.17816/PTORS18953.
- Palisano R., Rosenbaum P., Walter S., Russell D., Wood E., Galuppi B. Development and reliability of a system to classify gross motor function in children with cerebral palsy. Dev Med Child Neurol. 1997;39(4):214-223. doi: 10.1111/j.1469-8749.1997.tb07414.x.
- Yam W.K., Leung M.S. Interrater reliability of Modified Ashworth Scale and Modified Tardieu Scale in children with spastic cerebral palsy. J Child Neurol. 2006;21(12):1031-1035. doi: 10.1177/7010.2006.00222.
- Rodda J.M., Graham H.K., Carson L., Galea M.P., Wolfe R. Sagittal gait patterns in spastic diplegia. J Bone Joint Surg Br. 2004;86(2):251-258. doi: 10.1302/0301-620x.86b2.13878.
- Leardini A., Sawacha Z., Paolini G., Ingrosso S., Nativo R., Benedetti M.G. A new anatomically based protocol for gait analysis in children. Gait Posture. 2007;26(4):560-571. doi: 10.1016/j.gaitpost.2006.12.018.
- Voss S., Joyce J., Biskis A., Parulekar M., Armijo N., Zampieri C. et al. Normative database of spatiotemporal gait parameters using inertial sensors in typically developing children and young adults. Gait Posture. 2020;80:206-213. doi: 10.1016/j.gaitpost.2020.05.010.
- Lythgo N., Wilson C., Galea M. Basic gait and symmetry measures for primary school-aged children and young adults whilst walking barefoot and with shoes. Gait Posture. 2009;30(4):502-506. doi: 10.1016/j.gaitpost.2009.07.119.
- Oudenhoven L.M., Booth A.T.C., Buizer A.I., Harlaar J., van der Krogt M.M. How normal is normal: Consequences of stride to stride variability, treadmill walking and age when using normative paediatric gait data. Gait Posture. 2019;70:289-297. doi: 10.1016/j.gaitpost.2019.03.011.
- Baker R., McGinley J.L., Schwartz M.H., Beynon S., Rozumalski A., Graham H.K. et al. The gait profile score and movement analysis profile. Gait Posture. 2009;30(3):265-269. doi: 10.1016/j.gaitpost.2009.05.020
- Rasmussen H.M., Nielsen D.B., Pedersen N.W., Overgaard S., Holsgaard-Larsen A. Gait Deviation Index, Gait Profile Score and Gait Variable Score in children with spastic cerebral palsy: Intra-rater reliability and agreement across two repeated sessions. Gait Posture. 2015;42(2):133-137. doi: 10.1016/j.gaitpost.2015.04.019.
- Kiernan D., Malone A., O’Brien T., Simms C.K. The clinical impact of hip joint centre regression equation error on kinematics and kinetics during paediatric gait. Gait Posture. 2015;41(1):175-179. doi: 10.1016/j.gaitpost.2014.09.026.
- Manousaki E., Esbjörnsson A.C., Mattsson L., Andriesse H. Correlations between the Gait Profile Score and standard clinical outcome measures in children with idiopathic clubfoot. Gait Posture. 2019;71:50-55. doi: 10.1016/j.gaitpost.2019.04.009.
- Young J., Jackson S. Improved motor function in a pre-ambulatory child with spastic bilateral cerebral palsy, using a custom rigid ankle-foot orthosis-footwear combination: a case report. Prosthet Orthot Int. 2019;43(4):453-458. doi: 10.1177/0309364619852239.
- Lintanf M., Bourseul J.S., Houx L., Lempereur M., Brochard S., Pons C. Effect of ankle-foot orthoses on gait, balance and gross motor function in children with cerebral palsy: a systematic review and meta-analysis. Clin Rehabil. 2018;32(9):1175-1188. doi: 10.1177/0269215518771824.
- Aboutorabi A., Arazpour M., Ahmadi Bani M., Saeedi H., Head J.S. Efficacy of ankle foot orthoses types on walking in children with cerebral palsy: A systematic review. Ann Phys Rehabil Med. 2017;60(6):393-402. doi: 10.1016/j.rehab.2017.05.004.
- Radtka S.A., Skinner S.R., Dixon D.M., Johanson M.E. A comparison of gait with solid, dynamic, and no ankle-foot orthoses in children with spastic cerebral palsy. Phys Ther. 1997;77(4):395-409. doi: 10.1093/ptj/77.4.395.
- Betancourt J.P., Eleeh P., Stark S., Jain N.B. Impact of ankle-foot orthosis on gait efficiency in ambulatory children with cerebral palsy: a systematic review and meta-analysis. Am J Phys Med Rehabil. 2019;98(9):759-770. doi: 10.1097/PHM.0000000000001185.
- Son I., Lee D., Hong S., Lee K., Lee G. Comparison of Gait Ability of a Child with Cerebral Palsy According to the Difference of Dorsiflexion Angle of Hinged Ankle-Foot Orthosis: A Case Report. Am J Case Rep. 2019;20:1454-1459. doi: 10.12659/AJCR.916814.
- Meyns P., Kerkum Y.L., Brehm M.A., Becher J.G., Buizer A.I., Harlaar J. Ankle foot orthoses in cerebral palsy: Effects of ankle stiffness on trunk kinematics, gait stability and energy cost of walking. Eur J Paediatr Neurol. 2020;26:68-74. doi: 10.1016/j.ejpn.2020.02.009.
- Kerkum Y.L., Buizer A.I., van den Noort J.C., Becher J.G., Harlaar J., Brehm M.A. The Effects of Varying Ankle Foot Orthosis Stiffness on Gait in Children with Spastic Cerebral Palsy Who Walk with Excessive Knee Flexion. PLoS One. 2015;10(11):e0142878. doi: 10.1371/journal.pone.0142878.
- Smirnova L.M., Dzhomardly E.I., Koltsov A.A. [The Interzonal Distribution of the Load on the Plantar Surface of the Foot During Walking in the Patients with Cerebral Palsy as an Objective Criterion of Functional Impairment Severity]. Travmatologiya i ortopediya Rossii [Traumatology and Orthopedics of Russia]. 2020;26(3):80-92. (In Russian). doi: 10.21823/2311-2905-2020-26-3-80-92
- Elnaggar R.K. Relationship Between Transverse-plane Kinematic Deviations of Lower Limbs and Gait Performance in Children with Unilateral Cerebral Palsy: A Descriptive Analysis. Gait Posture. 2020;79:224-228. doi: 10.1016/j.gaitpost.2020.05.003.
- Danino B., Erel S., Kfir M., Khamis S., Batt R., Hemo Y. et al. Influence of orthosis on the foot progression angle in children with spastic cerebral palsy. Gait Posture. 2015;42(4):518-522. doi: 10.1016/j.gaitpost.2015.08.006.
- Chibirov G.M., Dolganova T.I., Dolganov D.V., Popkov D.A. [Analysis of the causes of pathological patterns of the kinematic locomotor profile based on the findings of computer gait analysis in children with spastic CP types]. Genij ortopedii [Orthopaedic Genius]. 2019;25(4):493-500. (In Russian). doi: 10.18019/1028-4427-2019-25-4-493-500.
- Ries A.J., Schwartz M.H. Ground reaction and solid ankle-foot orthoses are equivalent for the correction of crouch gait in children with cerebral palsy. Dev Med Child Neurol. 2019;61(2):219-225. doi: 10.1111/dmcn.13999.
- Böhm H., Matthias H., Braatz F., Döderlein L. Effect of floor reaction ankle-foot orthosis on crouch gait in patients with cerebral palsy: What can be expected? Prosthet Orthot Int. 2018;42(3):245-253. doi: 10.1177/0309364617716240
- Lam W.K., Leong J.C., Li Y.H., Hu Y., Lu W.W. Biomechanical and electromyographic evaluation of ankle foot orthosis and dynamic ankle foot orthosis in spastic cerebral palsy. Gait Posture. 2005;22(3):189-197. doi: 10.1016/j.gaitpost.2004.09.011.
- Abel M.F., Juhl G.A., Vaughan C.L., Damiano D.L. Gait assessment of fixed ankle-foot orthoses in children with spastic diplegia. Arch Phys Med Rehabil. 1998;79(2):126-133. doi: 10.1016/s0003-9993(98)90288-x.
- Buckon C.E., Thomas S.S., Jakobson-Huston S., Moor M., Sussman M., Aiona M. Comparison of three ankle-foot orthosis configurations for children with spastic diplegia. Dev Med Child Neurol. 2004;46(9):590-598. doi: 10.1017/s0012162204001008.
Supplementary files








