Indices of systemic inflammation for predicting early infections after major joint arthroplasty
- Authors: Lyubimova L.V.1, Mikishanina E.A.1,2, Nikolaev N.S.1,2, Lyubimov E.A.1, Preobrazhenskaya E.V.1
-
Affiliations:
- Federal Center of Traumatology, Orthopedics and Arthroplasty (Cheboksary)
- I.N. Ulyanov Chuvash State University
- Issue: Vol 31, No 4 (2025)
- Pages: 41-52
- Section: СLINICAL STUDIES
- Submitted: 07.08.2025
- Accepted: 01.09.2025
- Published: 22.09.2025
- URL: https://journal.rniito.org/jour/article/view/17754
- DOI: https://doi.org/10.17816/2311-2905-17754
- ID: 17754
Cite item
Abstract
Background. Infectious complications after arthroplasty pose a serious problem for both the patient and the health facility. Therefore, their prognosis is of great clinical importance.
The aim of the study — to determine the feasibility of using systemic inflammation indices (SII, SIRI, AISI) to predict the development of early periprosthetic joint infection at the stage of planning major joint arthroplasty.
Methods. A single-center retrospective non-randomized comparative study of cases of primary hip or knee arthroplasty (n = 6036) was conducted: Group 1 — patients without subsequent development of infection at a period of ≤ 4 weeks after surgery (n = 5843); Group 2 — with subsequent development of periprosthetic joint infection (n = 193). Threshold values of quantitative indicators (BMI, age, inflammation indices SII, SIRI, and AISI) were calculated. The contribution of variables (including categorical ones such as sex and joint) to the risk of developing early infection was determined using AI-driven machine learning based on multivariate logistic regression.
Results. The study groups were comparable in terms of sex, BMI, and operated joints, but differed in terms of age (p = 0.0067). The values of SIRI, SII, and AISI were statistically significantly higher in Group 2. SII (with a logistic regression coefficient of 0.2108) was the most significant factor in predicting the development of infection. The obtained SII and SIRI threshold values were 498.9 and 0.8 (respectively), with an AUC of 0.55 (95% CI: 0.54-0.56). The constructed model for predicting the risk of early infection after arthroplasty based on multivariate logistic regression showed an average accuracy level of AUC = 0.62 (95% CI: 0.30-0.72), indicating a low risk of infection with a coefficient between 0.30 and 0.50, and a high risk with a coefficient between 0.51 and 0.72.
Conclusion. The use of systemic inflammation indices (SII, SIRI, AISI) in a mathematical model for predicting early periprosthetic infection can help in taking necessary measures for preoperative preparation of the patient before primary arthroplasty to reduce the incidence of this infectious complication.
Full Text
INTRODUCTION
Infectious complications after arthroplasty are a serious problem both for the patient and for the healthcare institution, which makes the prediction of such complications clinically significant [1]. Among the serum markers of inflammation, it is important to identify the most informative ones to develop a simple and effective method for detecting the risk of infections at the stage of patient preparation for arthroplasty.
A complete blood count (CBC) is a simple, widely available, inexpensive, and informative method of investigation, used by physicians in everyday practice for the diagnosis of various diseases, including infectious ones. However, the informativeness of CBC results regarding individual blood cell elements is limited.
In recent years, in different fields of medicine, combinations of individual CBC parameters have increasingly been used to assess the prognosis of disease severity; these have been termed “novel integral markers of inflammation”. They include the Systemic Immune-Inflammation Index (SII), the Systemic Inflammation Response Index (SIRI), and the Aggregate Index of Systemic Inflammation (AISI). These indices combine several blood parameters, which increases their informativeness compared to individual markers. They comprehensively reflect the activity of leukocytes, neutrophils, monocytes, and platelets, which play a key role in the infectious process [2, 3, 4].
The SII index mathematically relates platelets, neutrophils, and lymphocytes and, as has been shown, is a good predictor of systemic inflammatory response syndrome and sepsis in patients with odontogenic abscess [2].
The calculation of the SIRI index is based on neutrophil, monocyte, and lymphocyte counts. This index has demonstrated its usefulness in predicting successful re-implantation of prosthesis after two-stage revision procedures (“1.5-stage revision arthroplasties”) in chronic cases of periprosthetic joint infection (PJI) [3].
The AISI index, which reflects the ratio of neutrophils, lymphocytes, monocytes, and plate-lets, is a tool for predicting disease severity and mortality in various inflammatory processes [4]. The AISI index is a more accurate predictor of odontogenic abscess severity compared to other systemic inflammatory markers and CRP. Its introduction into clinical practice may improve early identification of high-risk patients, leading to better treatment outcomes and a reduced likelihood of complications [5].
In the field of orthopedics and traumatology, these biomarkers are useful for the quantitative assessment of surgical trauma severity and for developing recommendations for various osteosynthesis protocols [6, 7].
We hypothesized that the inflammatory indices SIRI, SII, and AISI, due to their ability to reflect systemic inflammation and immune imbalance, may be useful in predicting early infectious complications at the site of surgical intervention (arthroplasty). The hypothesis of this study is that these indices may indicate latent inflammation and prior colonization of the nasopharynx, gastrointestinal tract, urinary tract, and other organs by pathogenic microorganisms, which contribute to the development of early PJI.
The aim of the study – to determine the feasibility of using systemic inflammation indices (SII, SIRI, AISI) to predict the development of early periprosthetic joint infection at the stage of planning major joint arthroplasty.
METHODS
A single-center retrospective non-randomized comparative study was conducted at the Federal Center of Traumatology, Orthopedics, and Arthroplasty (Cheboksary), hereinafter referred to as the Center.
The sample included the cases of primary hip or knee arthroplasty (n = 6036) performed at the Center, based on the data from the Medialog medical information system (MIS).
Inclusion criteria: patient age 18 years and older; ICD-10 codes M17.0-M17.9 and M16.0-M16.9.
Exclusion criteria: revision procedures, infectious arthritis, systemic diseases.
Group 1 included patients without subsequent infection within 4 weeks or less after primary arthroplasty performed in 2023 (n = 5843); Group 2 included patients with early PJI (n = 193), operated between 2015 and 2023 (due to the extremely small number of observed cases of early PJI) (Table 1).
Table 1
Baseline characteristics of the study groups
Parameter | Group 1 | Group 2 | p | |
Sex | male, n | 2102 | 78 | 0.2350 |
female, n | 3741 | 115 | ||
Joint | knee, n | 2895 | 99 | 0.6860 |
hip, n | 2948 | 94 | ||
Age, years, Me [Q1; Q3] | 64 [57; 70] | 62 [54; 68] | 0.0067 | |
BMI, kg/m2, Me [Q1; Q3] | 30.5 [27.2; 34.1] | 31.0 [26.7; 34.5] | 0.6153 | |
Follow-up data were obtained from the MIS. The mean follow-up period for patients in both groups was 3.6 years.
The study groups were comparable in terms of sex, BMI, and the ratio of operated knee to hip joints. Group 2 differed statistically significantly from Group 1 in age, with a predominance of younger patients.
In addition to demographic characteristics (sex, age) and BMI, the following parameters were assessed: laboratory data (CBC with diffe-rential — neutrophils, monocytes, lymphocytes, platelets) at hospital admission prior to primary knee or hip arthroplasty; admission diagnosis (ICD-10). Systemic inflammation indices were calculated using the following formulas:
SIRI = neutrophil count × monocyte count ÷ lymphocyte count;
SII = neutrophil count × platelet count ÷ lymphocyte count;
AISI = neutrophil count × monocyte count × platelet count ÷ lymphocyte count.
All blood cell counts used in the calculations were expressed in absolute numbers.
At the first stage of the study, quantitative parameters were calculated, including systemic inflammation indices, with an assessment of the sensitivity and specificity of each factor and their threshold values. To improve the accuracy of infection prediction, the parameters were combined into a multivariate regression model. The contribution of categorical variables (sex, joint) to the development of early infectious complications was determined using logistic regression.
At the second stage, the multivariate risk model for early infectious complications after knee and hip arthroplasty was tested using machine learning based on artificial intelligence, which allowed the verification of the results obtained at the first stage. Weighted logistic regression was chosen as the model for testing the proposed algorithm for predicting early infectious complications (due to the presence of categorical data, binary classification, and data imbalance caused by the rarity of early infections). This model effectively addresses class imbalance, improves calibration of predicted probabilities, and automatically encodes categorical data.
Statistical analysis
Statistical analysis was performed using the MedCalc software package and the built-in statistics library in Python. The normality of distribution of continuous variables was assessed using the Kolmogorov-Smirnov and Shapiro-Wilk tests (for a sample size of n = 193). For quantitative variables with a non-normal distribution, the median (Me) and interquartile range [Q1; Q3] were calculated. For categorical variables, intergroup significance was assessed using the χ² test or Fisher’s exact test. Differen-ces were considered statistically significant at p < 0.05. To determine the diagnostic per-formance of the proposed serum biomarkers (threshold values, AUC, 95% CI, sensitivity, and specificity), a receiver operating characteristic (ROC) curve was constructed. The Youden index (Youden index = sensitivity + specificity − 1, range 0-1) was used to determine the optimal threshold value for each biomarker. Multivariate analysis was performed by constructing a multivariate regression model based on weighted logistic regression. To assess the impact of the data on the outcome variable (infection occurrence), Cramer’s V coefficient was applied.
RESULTS
Systemic inflammation indices (SIRI, SII, AISI) in patients of Group 2 were significantly higher compared with Group 1 (Table 2).
Table 2
Comparison of systemic inflammation indices in the study groups, Me [Q1; Q3]
Systemic inflammation index | Group 1 | Group 2 | p |
SIRI | 1.1 [0.8; 1.6] | 1.2 [0.9; 1.8] | 0.0195 |
SII | 484.0 [349.8; 676.2] | 533.9 [363.6; 770.7] | 0.0191 |
AISI | 280.1 [185.7; 427.4] | 326.6 [201.2; 489.3] | 0.0054 |
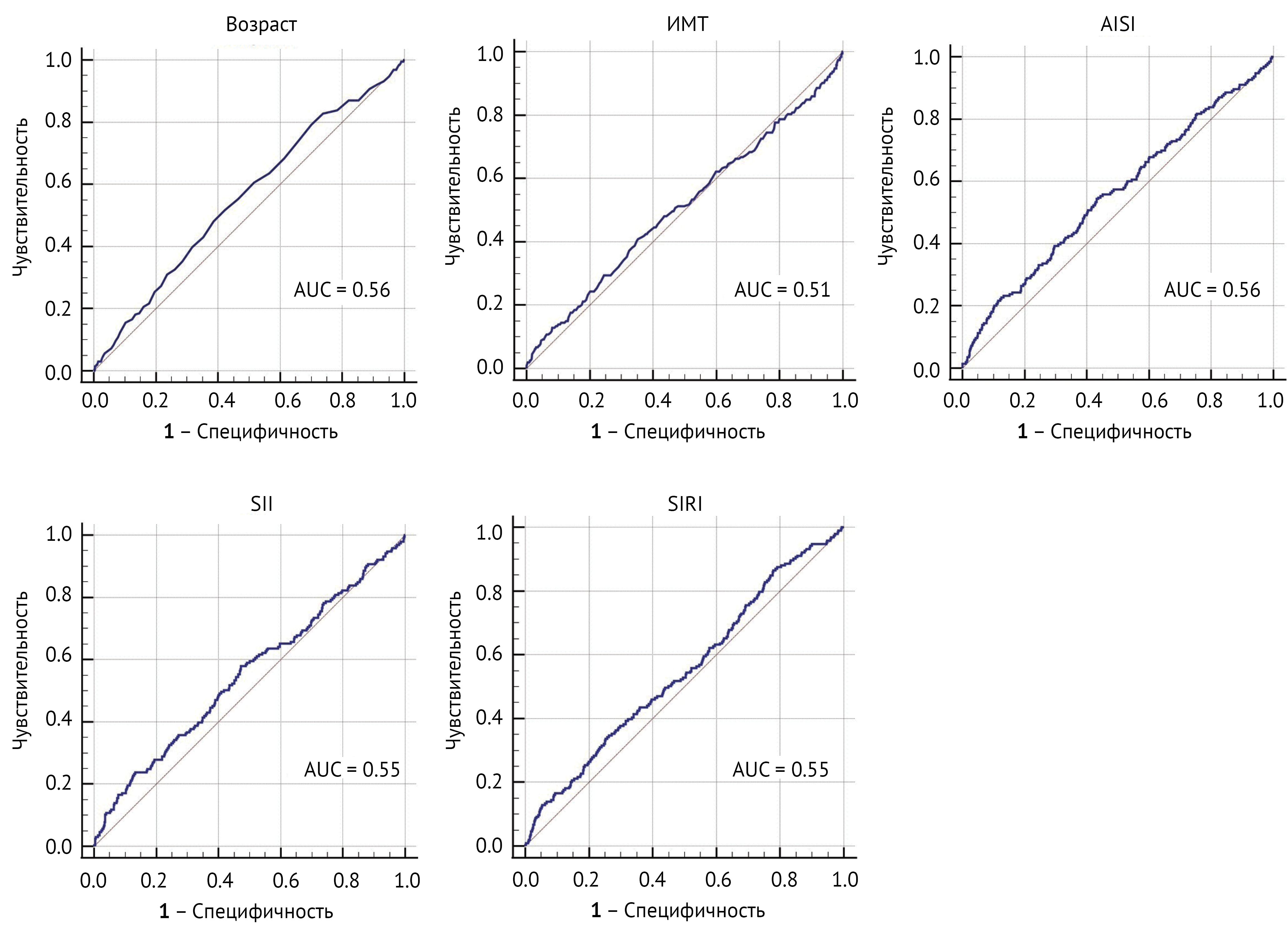
Based on program analysis of all examined cases, threshold values for age, BMI, SIRI, SII, and AISI associated with early infection were identified. Among the studied parameters, AISI had the highest diagnostic value (AUC = 0.56 with a sensitivity of 54.4% and a specificity of 56.8%) (Table 3).
Table 3
ROC analysis of systemic inflammation indices, age, and BMI
Parameter | Age, years | BMI, kg/m2 | SIRI | SII | AISI |
Threshold values | ≤ 61 | > 32.5 | > 0.8 | > 498.9 | > 312.2 |
AUC (95% CI) | 0.56 (0.55-0.57) | 0.51 (0.50-0.52) | 0.55 (0.54-0.56) | 0.55 (0.54-0.56) | 0.56 (0.55-0.57) |
Sensitivity (95% CI) | 48.2 (41.0-55.5) | 40.9 (33.9-48.2) | 86.5 (80.9-91.0) | 58.0 (50.7-65.1) | 54.4 (47.1-61.6) |
Specificity (95% CI) | 61.4 (60.2-62.7) | 64.7 (63.5-66.0) | 22.1 (21.0-23.2) | 52.7 (51.4-54.0) | 56.8 (55.5-58.0) |
Positive predictive value, % | 4.0 | 3.7 | 3.5 | 3.9 | 4.0 |
Negative predictive value, % | 97.3 | 97.1 | 98.0 | 97.4 | 97.4 |
Accuracy, % | 61.0 | 64.0 | 24.1 | 52.9 | 56.7 |
Figure 1 shows the ROC curves of quantitative factors (systemic inflammation indices SIRI, SII, and AISI, BMI, age) as predictors of early infection after major joint arthroplasty. The AUC of the ROC curve of sensitivity and specificity ranges from 0 to 1, reflecting the correlation of the examined parameter with the presence of infection. The closer the AUC value is to 1, the higher the informativeness of the integral parameter.
Figure 1. ROC curves for the examined parameters
To improve the accuracy of predicting infectious complications, we decided to analyze a combination of several independent and objective patient-related factors: sex, BMI, age, joint, SII, and SIRI. The AISI index was excluded from the analysis due to its high correlation with other systemic inflammation indices (SII and SIRI).
During model testing, the optimal ratio for splitting the dataset into training and tes-ting samples was selected: 80% of the data were used for training (n1 = 4828), and 20% for testing (n2 = 1208).
The model was based on the logistic (sigmoid) function:
where z = a1X1 + a2X2 + ..., X1, X2 + ,... are the factors; a1, a2 — estimated coefficients, e — cons-tant value; p — the probability of belonging to one of the classes (“no infection” or “infection”).
For the purpose of model construction during machine learning, categorical variables (sex, joint) were encoded numerically. Quantitative variables were also binarized. If the actual value of the variable corresponded to the calculated threshold, it was assigned “1” (high risk of infection). Values below the threshold were assigned “0” (low risk of infection) (Table 4).
Table 4
Infection risk prediction model after arthroplasty based on multivariate logistic regression
Variable | Coefficient | Value of the variable | |
Quantitative variables | |||
0 | 1 | ||
Age | 0.1827 | > 61 | ≤ 61 |
BMI | 0.1263 | ≤ 32.5 | > 32.5 |
SIRI | 0.1532 | ≤ 0.8 | > 0.8 |
SII | 0.2108 | ≤ 498.9 | > 498.9 |
Categorical variables | |||
Sex | -0.1365 | Female | |
0.1260 | Male | ||
Joint | -0.1712 | Hip | |
0.1607 | Knee | ||
Figure 2 graphically presents the model coefficients, reflecting the importance of the predictors. A positive coefficient indicates a positive “weight” of the predictor in the occurrence of the adverse event, while a negative coefficient reflects a reduced probability of the adverse event (infection risk). Thus, “female sex” and “hip joint” did not increase the risk of early infection, whereas all other factors contributed to an increased risk. The most significant predictor of infection was the SII index, with a logistic regression coefficient of 0.2108.
Figure 2. Representation of the impact of variables on the risk of early infectious complications
Based on the coefficients obtained from the logistic function, a ROC curve was constructed for multivariate analysis: AUC = 0.62 (95% CI: 0.30-0.72), with a sensitivity of 55.2% and a specificity of 65.6%. The model estimates the probability that a patient with the studied combination of predictors will belong to the “infection” or “no infection” group. This probability ranged from 0.30 to 0.72. A cutoff point of 0.5 was selected as the threshold for classification between the two groups (Figure 3).
Figure 3. ROC curve for multivariate analysis
According to the results of testing the predictive algorithm for early infectious complications, a confusion matrix was obtained for the testing dataset (n2 = 1208) (Table 5).
Table 5
Confusion matrix for the testing dataset
Predicted values | Patient groups | True values | ||
with infection | without infection | total | ||
Group 2 (with infection) | 23 | 486 | 509 | |
Group 1 (without infection) | 18 | 681 | 699 | |
Total | 41 | 1167 | 1208 | |
The model was tested on 1208 cases of primary arthroplasty, of which 41 actually resulted in early infection. The model correctly predicted infection in 23 of these cases, while 18 cases were incorrectly classified as “no infection”. The model correctly predicted 681 cases without infection, whereas the actual number was 1167.
An additional analysis of the confusion matrix stratified by affected joint was performed (Table 6).
Table 6
Extended contingency table with the affected joint
Predicted values | Patient group | True values | |||
with infection | without infection | total | |||
Group 2 (with infection) | knee | 13 | 278 | 291 | |
hip | 10 | 208 | 218 | ||
Group 1 (without infection) | knee | 9 | 279 | 288 | |
hip | 9 | 402 | 411 | ||
Total | 41 | 1167 | 1208 | ||
The sensitivity of the method was 57.9% for the hip joint and 54.5% for the knee joint, while the specificity was equal (58.4%). The model demonstrated similar sensitivity and specificity for both joints. The influence of the categorical variable (affected joint) on infection occurrence was evaluated using Cramer’s V coefficent, which revealed a weak association between the variab-les (p = 0.16). The resulting mathematical model demonstrates moderate predictive accuracy (in the range of 0.6-0.7).
discussion
The prediction of infectious complications is of great importance in clinical practice, as the number of arthroplasty procedures is steadily increasing each year, which in turn leads to a higher incidence of infections [1, 8].
In the search for mechanisms to reduce the incidence of postoperative infections, researchers have investigated various patient-related factors. It has been demonstrated that modifiable risk factors for PJI include anemia, diabetes mellitus, and obesity, whereas advanced age and male sex represent non-modifiable risk factors [9, 10, 11, 12]. In our study, using a mathematical model, we confirmed the findings of other authors, showing that male sex, age over 61 years, and obesity (BMI > 32.5 kg/m²) are risk factors for the development of early infection after arthroplasty.
The American College of Surgeons (ACS-NSQIP) developed the Surgical Risk Calculator to predict postoperative complications (including infectious ones). However, researchers have concluded that this tool does not provide accurate predictions of complications in patients undergoing arthroplasty [13, 14].
Russian researchers proposed an infection risk prediction model after arthroplasty based on the analysis of 14 factors, which reduced the incidence of subsequent infections from 7.5% (in the retrospective study group) to 4.1% in the prospective study group [15]. This finding encourages further research into patient-related risk factors that can be applied to infection risk prediction.
Individual parameters of the white blood cell differential are not always specific and may be elevated for reasons unrelated to infection (e.g., postoperative stress), but in combination they provide a more accurate assessment. It is known that measuring the counts of individual blood elements, particularly leukocytes, has limited diagnostic value in routine verification of PJI due to low sensitivity (55%) and specificity (66%), although some clinicians still use a CBC because of its easy accessibility [16].
The number of neutrophils in serum increases in many infectious diseases and is an important parameter in infection diagnostics; however, this indicator is used only in combination with other diagnostic tools for the identification of PJI [17].
S. Zareifar et al. demonstrated the role of platelets in the infectious process, showing that as their count increases, their mean volume decreases in patients with active infectious diseases compared with recovered patients [18].
Monocytes, after migrating to the site of infection, differentiate into macrophages and dendritic cells, which are essential for phagocytosis of pathogens and elimination of damaged cells. However, they are particularly important in the control and clearance of fungal, viral, and protozoal infections [19].
Lymphocytes are responsible for the specific immune response, and a reduction in their levels may indicate suppressed adaptive immune function, which can lead to more severe infections. Moreover, it has been demonstrated that persistent lymphopenia lasting four days after the diagnosis of sepsis may predict both early and late mortality and can serve as a biomarker of sepsis-induced immunosuppression [20].
In 2014, B. Hu et al. proposed the systemic immune-inflammation index (SII) as a prognostic marker in patients undergoing radical resection of hepatocellular carcinoma [21]. Subsequently, SII has shown promise as a prognostic indicator in various inflammatory conditions, including malignant tumors, coronary artery disease, acute ischemic stroke, and several chronic systemic disorders [22]. Consequently, the potential application of SII in infectious diseases is currently under active investigation. The usefulness of SII in identifying patients at increased risk of severe infections is determined by the different roles played by blood compo-nents (lymphocytes, neutrophils, and platelets) in shaping the immune response. Lymphocytes are the only cells in the body capable of accurately recognizing and responding to diverse antigens. They play a key role in most chronic inflammatory disorders, particularly autoimmune diseases and conditions associated with persistent antigens. Neutrophils are crucial in fighting infections, whereas platelets are responsible for blood clotting and are also involved in inflammatory and defense processes [23]. Given that the index incorporates several blood cell components (lymphocytes, neutrophils, and platelets), SII provides a broader reflection of the balance between systemic inflammation and immune status. In our study, the role of SII was confirmed as the most significant factor in predicting infection after arthroplasty.
Compared with traditional markers (CRP and ESR), which are often elevated in chronic diseases but do not always predict early infection, systemic inflammation indices take into account multiple blood cell parameters, which may be more specific for latent inflammation. For instance, in 2024, F. Moldovan published a study on the role of serum markers in the differential diagnosis of PJI and aseptic loosening, in which ROC analysis yielded cutoff points and AUCs for SII (605.31; AUC = 0.851; 95% CI 0.758-0.943), SIRI (83.34; AUC = 0.810; 95% CI 0.712-0.909), and AISI (834.86; AUC = 0.822; 95% CI 0.726-0.917), demonstrating the high diagnostic significance of these indices in infection detection [4].
To predict the development of late complications in patients with trauma and other diseases, the CAR index (the ratio of C-reactive protein to albumin) has been proposed, with higher values associated with an increased risk of infection, sepsis, and mortality [24]. We were unable to evaluate this parameter for predicting early infections after arthroplasty, as CRP and albumin tests were not included in the standard preoperative assessment.
The statistically significant differences we identified in the values of integral inflammatory markers between the study groups served as the basis for their inclusion in a multivariate model for predicting infectious complications in pati-ents scheduled for major joint arthroplasty. We observed that the AISI index demonstrated a high correlation with other systemic inflammation indices (SII and SIRI) and was therefore excluded from the multivariate prognostic model. The threshold values of SII and SIRI obtained in our study differed from those reported by F. Moldovan [4], amounting to 498.9 and 0.8, respectively, with an AUC = 0.55 (95% CI: 0.54-0.56).
The multivariate model we developed is proposed for preoperative screening of patient susceptibility to early PJI. When the calculated coefficient fell below the empirically selected cutoff of 0.5 (range 0.30-0.50), the risk of infection was considered low; values exceeding this threshold (0.51-0.72) indicated a high risk of infection. The actual cutoff can only be determined empirically through prospective model testing in clinical practice. For patients with calculated values between 0.51 and 0.72, it is necessary to optimize correctable risk factors before surgery to reduce the likelihood of early PJI.
Practical application of the mathematical model lies in the assessment of the individual risk of postoperative infection. Based on this assessment, a set of preventive measures can be implemented: preoperatively — optimization of glycemic control in patients with diabetes, eradication of chronic infection foci (oral cavity, urinary tract), and smoking cessation; postoperatively — nutritional support, extended antibiotic prophylaxis (up to 72 hours), and close monitoring of the surgical site.
Study limitations
This study was single-center in design. For implementation in clinical practice, prospective studies are required to confirm the value of systemic inflammation indices in predicting early periprosthetic infection. Comorbidities (autoimmune, oncological) which could have influenced the study results were not taken into account.
CONCLUSION
The use of systemic inflammation indices (SII, SIRI, AISI) in a mathematical model for predicting early periprosthetic infection, combined with preventive measures applied during the preoperative preparation stage for primary arthroplasty, may reduce the incidence of this infectious complication. Considering the insufficient accuracy of the predictive model, further investigation of additional factors influencing the risk of infectious complications in the early postoperative period is required.
DISCLAIMERS
Author contribution
Lyubimova L.V. — study concept, data analysis and interpretation, drafting the manuscript.
Mikishanina E.A. — mathematical modelling, editing the manuscript.
Nikolaev N.S. — study concept, scientific guidance.
Lyubimov E.A. — data acquisition, analysis and interpretation.
Preobrazhenskaya E.V. — statistical data processing, drafting the manuscript.
All authors have read and approved the final version of the manuscript of the article. All authors agree to bear responsibility for all aspects of the study to ensure proper consideration and resolution of all possible issues related to the correctness and reliability of any part of the work.
Funding source. This study was not supported by any external sources of funding.
Disclosure competing interests. The authors declare that they have no competing interests.
Ethics approval. The study was approved by the local ethics committee of Federal Center of Traumatology, Orthopedics and Arthroplasty (Cheboksary), protocol No 14, 01.07.2025.
Consent for publication. Not required.
Use of artificial intelligence. No generative artificial intelligence technologies were used in the preparation of this manuscript.
About the authors
Lyudmila V. Lyubimova
Federal Center of Traumatology, Orthopedics and Arthroplasty (Cheboksary)
Author for correspondence.
Email: borisova-80@mail.ru
ORCID iD: 0000-0002-5750-4459
SPIN-code: 5462-6973
Russian Federation, Cheboksary
Evgeniya A. Mikishanina
Federal Center of Traumatology, Orthopedics and Arthroplasty (Cheboksary); I.N. Ulyanov Chuvash State University
Email: evaeva_84@mail.ru
ORCID iD: 0000-0003-4408-1888
SPIN-code: 3727-5392
Cand. Sci. (Phys.-Math.)
Russian Federation, Cheboksary; CheboksaryNikolay S. Nikolaev
Federal Center of Traumatology, Orthopedics and Arthroplasty (Cheboksary); I.N. Ulyanov Chuvash State University
Email: nikolaevns@mail.ru
ORCID iD: 0000-0002-1560-470X
SPIN-code: 8723-9840
Dr. Sci. (Med.), Professor
Russian Federation, Cheboksary; CheboksaryEvgeniy A. Lyubimov
Federal Center of Traumatology, Orthopedics and Arthroplasty (Cheboksary)
Email: elyubimov@mail.ru
ORCID iD: 0000-0001-5262-0197
SPIN-code: 7759-8083
Russian Federation, Cheboksary
Elena V. Preobrazhenskaya
Federal Center of Traumatology, Orthopedics and Arthroplasty (Cheboksary)
Email: alenka_22@bk.ru
ORCID iD: 0000-0003-3556-145X
SPIN-code: 1525-3912
Russian Federation, Cheboksary
References
- Божкова С.А., Тихилов Р.М., Артюх В.А. Перипротезная инфекция суставов как социально-экономическая проблема современной ортопедии. Вестник Российской академии медицинских наук. 2023;78(6):601-608. doi: 10.15690/vramn8370. Bozhkova S.A., Tikhilov R.M., Artyukh V.A. Periprosthetic Joint Infection as a Socio-Economic Problem of Modern Orthopedics. Annals of the Russian Academy of Medical Sciences. 2023;78(6):601-608. (In Russian). doi: 10.15690/vramn8370.
- Pricop M., Ancusa O., Talpos S., Urechescu H., Bumbu B.A. The Predictive Value of Systemic Immune-Inflammation Index and Symptom Severity Score for Sepsis and Systemic Inflammatory Response Syndrome in Odontogenic Infections. J Pers Med. 2022;12(12):2026. doi: 10.3390/jpm12122026.
- Vitiello R., Smimmo A., Matteini E., Micheli G., Fantoni M., Ziranu A. et al. Systemic Inflammation Response Index (SIRI) and Monocyte-to-Lymphocyte Ratio (MLR) Are Predictors of Good Outcomes in Surgical Treatment of Periprosthetic Joint Infections of Lower Limbs: A Single-Center Retrospective Analysis. Healthcare (Basel). 2024;12(9):867. doi: 10.3390/healthcare12090867.
- Moldovan F. Role of Serum Biomarkers in Differentiating Periprosthetic Joint Infections from Aseptic Failures after Total Hip Arthroplasties. J Clin Med. 2024; 13(19):5716. doi: 10.3390/jcm13195716.
- Tarle M., Raguž M., Lukšić I. A Comparative Study of the Aggregate Index of Systemic Inflammation (AISI) and C-Reactive Protein (CRP) in Predicting Odontogenic Abscesses Severity: A Novel Approach to Assessing Immunoinflammatory Response. Diagnostics (Basel). 2024;14(19):2163. doi: 10.3390/diagnostics14192163.
- Moldovan F. Correlation between Peripheric Blood Markers and Surgical Invasiveness during Humeral Shaft Fracture Osteosynthesis in Young and Middle-Aged Patients. Diagnostics (Basel). 2024;14(11):1112. doi: 10.3390/diagnostics14111112.
- Moldovan F. Sterile Inflammatory Response and Surgery-Related Trauma in Elderly Patients with Subtrochan-teric Fractures. Biomedicines. 2024;12(2):354. doi: 10.3390/biomedicines12020354.
- Hauer G., Rasic L., Klim S., Leitner L., Leithner A., Sadoghi P. Septic complications are on the rise and aseptic loosening has decreased in total joint arthroplasty: an updated complication based analysis using worldwide arthroplasty registers. Arch Orthop Trauma Surg. 2024;144(12):5199-5204. doi: 10.1007/s00402-024-05379-2.
- Lespasio M., Mont M., Guarino A. Identifying risk factors associated with postoperative infection following elective lower-extremity total joint arthroplasty. Perm J. 2020;24:1-3. doi: 10.7812/TPP/20.013.
- Ren X., Ling L., Qi L., Liu Z., Zhang W., Yang Z. et al. Patients’ risk factors for periprosthetic joint infection in primary total hip arthroplasty: a meta-analysis of 40 studies. BMC Musculoskelet Disord. 2021;22(1):776. doi: 10.1186/s12891-021-04647-1.
- Resende V.A.C., Neto A.C., Nunes C., Andrade R., Espregueira-Mendes J., Lopes S. Higher age, female gender, osteoarthritis and blood transfusion protect against periprosthetic joint infection in total hip or knee arthroplasties: a systematic review and meta-analysis. Knee Surg Sports Traumatol Arthrosc. 2021;29(1):8-43. doi: 10.1007/s00167-018-5231-9.
- Мясоедов А.А., Торопов С.С., Березин Г.В., Карелкин В.В., Тотоев З.А., Шубняков И.И. и др. Факторы риска развития перипротезной инфекции после первичного эндопротезирования тазобедренного сустава. Травматология и ортопедия России. 2020;26(1):40-47. doi: 10.21823/2311-2905-2020-26-1-40-47. Myasoedov A.A., Toropov S.S., Berezin G.V., Karelkin V.V., Totoev Z.A., Shubnyakov I.I. et al. Risk Factors for Prosthetic Joint Infection after Primary Hip Arthroplasty. Traumatology and Orthopedics of Russia. 2020;26(1):40-47. (In Russian). doi: 10.21823/2311-2905-2020-26-1-40-47.
- Edelstein A.I., Kwasny M.J., Suleiman L.I., Khakhkhar R.H., Moore M.A., Beal M.D. et al. Can the American college of surgeons risk calculator predict 30-day complications after knee and hip arthroplasty? J Arthroplasty. 2015;30(9 Suppl):5-10. doi: 10.1016/j.arth.2015.01.057.
- Wingert N.C., Gotoff J., Parrilla E., Gotoff R., Hou L., Ghanem E. The ACS NSQIP risk calculator is a fair predictor of acute periprosthetic joint infection. Clin Orthop Relat Res. 2016;474(7):1643-1648. doi: 10.1007/s11999-016-4717-3.
- Вороков А.А., Фадеев Е.М., Спичко А.А., Алиев Б.Г., Мурзин Е.А., Хайдаров В.М. и др. Возможности прогноза местных инфекционных осложнений при артропластике тазобедренного и коленного суставов. Медико-фармацев-тический журнал «Пульс». 2020;22(12):106-111. doi: 10.26787/nydha-2686-6838-2020-22-12-106-111. Vorokov A.A., Fadeev E.M., Spichko A.A., Aliev B.G., Murzin E.A., Khaidarov V.M. et al. Possibilities of forecasting surgical site infection after hip and knee replacement. Medical & Pharmaceutical Journal “Pulse”. 2020;22(12):106-111. (In Russian). doi: 10.26787/nydha-2686-6838-2020-22-12-106-111.
- Toossi N., Adeli B., Rasouli M.R., Huang R., Parvizi J. Serum white blood cell count and differential do not have a role in the diagnosis of periprosthetic joint infection. J Arthroplasty. 2012;27(8 Suppl):51-54.e1. doi: 10.1016/j.arth.2012.03.021.
- Thachil J., Bates I. Approach to the Diagnosis and Classification of Blood Cell Disorders. In: Bain B.J., Bates I., Laffan M.A. (eds.) Dacie and Lewis Practical Haematology. 12th ed. Elsevier; 2017. p. 497-510. doi: 10.1016/B978-0-7020-6696-2.00023-0.
- Zareifar S., Farahmand Far M.R., Golfeshan F., Cohan N. Changes in platelet count and mean platelet volume during infectious and inflammatory disease and their correlation with ESR and CRP. J Clin Lab Anal. 2014;28(3):245-248. doi: 10.1002/jcla.21673.
- Shi C., Pamer E.G. Monocyte recruitment during infection and inflammation. Nat Rev Immunol. 2011;11(11):762-774. doi: 10.1038/nri3070.
- Drewry A.M., Samra N., Skrupky L.P., Fuller B.M., Compton S.M., Hotchkiss R.S. Persistent lymphopenia after diagnosis of sepsis predicts mortality. Shock. 2014;42(5):383-391. doi: 10.1097/SHK.0000000000000234.
- Hu B., Yang X.R., Xu Y., Sun Y.F., Sun C., Guo W. et al. Systemic Immune-Inflammation Index Predicts Prognosis of Patients after Curative Resection for Hepatocellular Carcinoma. Clin Cancer Res. 2014;20(23):6212-6222. doi: 10.1158/1078-0432.CCR-14-0442.
- Li C., Tian W., Zhao F., Li M., Ye Q., Wei Y. et al. Systemic immune-inflammation index, SII, for prognosis of elderly patients with newly diagnosed tumors. Oncotarget. 2018;9(82):35293-35299. doi: 10.18632/oncotarget.24293.
- Mikhak Z., Agace W.W., Luster A.D. Lymphocyte Trafficking to Mucosal Tissues. In: Mestecky J., Strober W., Russell M.W., Cheroutre H., Lambrecht B.N., Kelsall B.L. (eds.) Mucosal Immunology. 4th ed. Academic Press; 2015. p. 805-830. doi: 10.1016/B978-0-12-415847-4.00040-9.
- Егиазарян К.А., Ершов Д.С., Лыско А.М., Юдаев Н.Д. Индекс CAR как предиктор поздних осложнений у пациентов с политравмой и другими патологиями. Политравма. 2024;4:85-91. doi: 10.24412/1819-1495-2024-4-85-91. Egiazaryan K.A., Ershov D.S., Lysko A.M., Yudaev N.D. CAR index as a predictor of late complications in patients with polytrauma and other pathologies. Polytrauma. 2024;4:85-91. (In Russian). doi: 10.24412/1819-1495-2024-4-85-91.
Supplementary files






