Predictors of early aseptic loosening of prosthetic components following primary total knee arthroplasty
- Authors: Gurazhev M.B.1, Lukinov V.L.1, Baitov V.S.1, Gofer A.S.1, Ivanov E..1, Pavlov V.V.1, Korytkin A.A.1, Pronskikh A.A.1
-
Affiliations:
- Tsivyan Novosibirsk Research Institute of Traumatology and Orthopedics
- Issue: Vol 31, No 3 (2025)
- Pages: 35-49
- Section: СLINICAL STUDIES
- Submitted: 08.08.2024
- Accepted: 23.07.2025
- Published: 15.09.2025
- URL: https://journal.rniito.org/jour/article/view/17595
- DOI: https://doi.org/10.17816/2311-2905-17595
- ID: 17595
Cite item
Abstract
Background. Aseptic loosening of the knee prosthesis components is one of the most common causes of revision surgery. The acceptable range of angular values for postoperative alignment of the lower limb and the frontal positioning of the prosthetic components remains a subject of debate.
The aim of the study — to identify the predictors of the early aseptic loosening of prosthetic components following primary total knee arthroplasty.
Methods. The study group included 31 patients with aseptic loosening of prosthetic components. The comparison group consisted of 55 patients with no signs of loosening over a follow-up period of at least 8 years. Baseline characteristics (sex, age, body mass index, and operated side) were compared, along with preoperative and postoperative angular alignment of the lower limbs, specifically, the anatomical femorotibial angle (aFTA) and the hip-knee-ankle angle (HKA), as well as reference angles for prosthetic component positioning.
Results. Patient age over 60.5 years and BMI over 27.5 were associated with a 2.9-fold and 2.6-fold increased risk of prosthetic loosening, respectively. Preoperative varus deformity, with an HKA angle exceeding 9.5° and an aFTA over 6.5°, increased the risk of loosening by 9.6 and 23.1 times, respectively. Postoperative residual deformity exceeding 0.5° in either direction, as measured by the aFTA, increased the risk of loosening by 8.7 times. Valgus positioning of the tibial component was associated with a 2.8-fold increased risk of component loosening.
Conclusions. In elderly and overweight patients with pronounced varus deformity of the lower limb, personalized preoperative planning should be prioritized to prevent early aseptic loosening of prosthetic components. In cases where postoperative residual deformity or valgus positioning of the tibial component is detected, enhanced clinical follow-up with radiographic monitoring every 6 months is recommended. If radiolucent lines progress and pain is present, early consideration of revision surgery is advisable, as it may increase the likelihood of a successful conservative revision.
Full Text
INTRODUCTION
Total knee arthroplasty (TKA) is the most common surgical procedure performed at the terminal stage of knee osteoarthritis. However, up to 20% of patients remain dissatisfied with the outcome, and despite completing a full rehabili-tation course, some of them require revision surgery [1, 2].
Aseptic loosening of prosthetic components (ALPC) is one of the most frequent reasons for revision procedures, accounting for 29.8% of cases. Aseptic loosening is a multifactorial phenomenon involving implant-related factors, surgical technique, and patient-specific factors [3, 4]. All of these factors are broad in scope and often interrelated. For example, improper positioning of prosthetic components (a factor related to surgical technique) increases the risk of excessive load and contact stress on one of the compartments of the knee joint. This, in turn, leads to premature generation of wear particles (an implant-related factor), followed by periprosthetic osteolysis and the development of aseptic loosening. When patient-related factors, such as increased BMI and/or osteoporosis, are added to this scenario, the risk of early ALPC increases significantly.
The precise positioning and alignment of prosthetic components remains the subject of active scientific discussion, especially following the introduction of computer-assisted navigation and robotic surgery into clinical practice [5, 6]. At present, the orthopedic community has not reached a consensus on the acceptable range of angular values for postoperative lower limb alignment and the coronal placement of prosthetic components [7]. Moreover, the implementation of the knee phenotype concept [8] has further complicated the current approach to limb alignment, challenging the universality of the gold standard of mechanical alignment for all patients [9, 10].
The aim of the study – to identify the predictors of the early aseptic loosening of prosthetic components following primary total knee arthroplasty.
METHODS
Study design
A retrospective case-control study was conduc-ted in accordance with the Strengthening the Reporting of Observational Studies in Epidemio-logy (STROBE) guidelines [11].
Patient group formation
Between 2010 and 2015, 331 patients (331 knees) underwent revision TKA at the Novosibirsk Research Institute of Traumatology and Orthopedics n.a. Ya.L. Tsivyan. To form the study group, 193 (58%) cases were selected in which revision surgery was performed for reasons unrelated to infection. The flowchart of patient selection for the study group is shown in Figure 1.
Figure 1. Flow-chart of patient selection
The control group consisted of 55 patients who underwent primary TKA at the same institution between 2010 and 2015 and showed no radiological or clinical signs of aseptic loosening during a follow-up period of 8 to 10 years. It is important to note that both the study and control groups received only three-component primary TKA (femoral and modular tibial components), and all implants were of cruciate-retaining (non-linked) design. The list of implant models used in both groups is presented in Table 1.
Table 1
Implant models used in both groups
Group | Manufacturer | |||||
Aesculap | Wright | Zimmer | DePuy | Stryker | Smith & | |
Study (n = 31) | 11 | 8 | 3 | 4 | 5 | – |
Control (n = 55) | 20 | 6 | 7 | 8 | 5 | 9 |
Assessment methods
Baseline data for patients in both groups (sex, age, BMI, and side of surgery) were extracted from medical records.
During admission, all patients underwent radiographic examination both preoperatively and prior to discharge according to a standard protocol. This included targeted and full-length standing knee X-rays. Limb positioning during radiographic imaging complied with current quality standards for image acquisition [12]. If the patient was unable to properly position the limb at the time of discharge (due to residual pain), the radiographic examination was repeated at the 6-month follow-up visit.
All radiographic measurements were performed digitally using the tools available in K-PACS software. Measurements were conducted at different time points by a single investigator, and all data were double-checked. The measurements included evaluation of lower limb alignment, determination of knee joint phenotype, and detection of radiographic signs of prosthetic component loosening.
Reference angles were the following:
- −anatomical lateral distal femoral angle (aLDFA): the angle formed by the intersection of the anatomical axis of the femur and the line connecting the most prominent points of the femoral condyles;
- −mechanical lateral distal femoral angle (mLDFA): the angle formed by the intersection of the mechanical axis of the femur and the line connecting the most prominent points of the femoral condyles;
- −anatomical medial proximal tibial angle (aMPTA): the angle formed by the intersection of the anatomical axis of the tibia and the line running along the superior surface of the tibial plateau;
- −mechanical medial proximal tibial angle (mMPTA): the angle formed by the intersection of the mechanical axis of the tibia and the line running along the superior surface of the tibial plateau (Table 2).
Lower limb alignment was assessed by measuring the anatomical femorotibial angle (aFTA) — the angle formed by the intersection of the anatomical axes of the femur and tibia — and the hip-knee-ankle (HKA) angle, defined as the intersection of the mechanical axes of the femur and tibia. In this study, varus deformity was assigned a negative value, while valgus deformity was assigned a positive value (Table 2).
Table 2
Reference angles and criteria for angular assessment of the lower limb alignment, deg.
Angle | Varus | Norm | Valgus |
aLDFA | > 83 | from 79 to 83 | < 79 |
mLDFA | > 90 | from 85 to 90 | > 85 |
aMPTA/mMPTA | < 85 | from 85 to 90 | > 90 |
HKA angle | < -3 | from -3 to 3 | > 3 |
aFTA | < 2 | from 2 to 7 | > 7 |
Knee phenotype was determined using the CPAK (Coronal Plane Alignment of the Knee) classification, which evaluates coronal plane limb alignment based on the arithmetic hip-knee-ankle (aHKA) angle and joint line obliquity (JLO) [8]. The arithmetic HKA angle is calculated as the difference between the mMPTA and the mLDFA, while joint line obliquity is defined as the sum of the mMPTA and mLDFA (Figure 2).
Figure 2. CPAK classification for coronal lower limb alignment [8]
Signs of prosthetic component loosening were assessed based on the following three criteria:
- the presence of progressive radiolucent lines, measured according to the Knee Society Roentgenographic Evaluation Scoring System (KSRESS) [13];
- mechanical collapse of one prosthetic component;
- mechanical collapse of two prosthetic components.
It should be noted that some patients lacked full-length standing X-rays (due either to their absence in the archive or to poor image quality). In certain cases, preoperative X-rays were missing; in others, postoperative ones.
As a result, it was not possible to measure mLDFA and HKA angles for all patients. However, in order to preserve valuable measurement data, it was decided not to exclude these patients from the study (Table 3).
Table 3
Number of patients with available radiographic examination
Type of radiographic | Study group | Control group | ||
Preop | Postop | Preop | Postop | |
Full-length standing X-ray | 30 | 19 | 53 | 45 |
Targeted X-ray | 31 | 31 | 55 | 55 |
Statistical analysis
The Smirnov test for continuous data showed no normal distribution in the compared groups; therefore, descriptive statistics were primarily presented using nonparametric measures: median (Me), first and third quartiles [Q1; Q3]. Additionally, mean (M), standard deviation (SD), and minimum and maximum values (min-max) were reported. Group comparisons were performed using the nonparametric Mann-Whitney U test. Categorical variables (sex, side of prosthesis implantation, age group, classifications of coronal limb alignment and knee phenotypes) were described by the number and proportion of patients in each category, and group comparisons were performed using Fisher’s exact test. To correct for multiple comparisons in categorical data, Benjamini-Hochberg adjustment was applied to the achie-ved p-values. Only two-tailed tests were used.
Identification of predictors of prosthetic component loosening was performed using logistic regression modeling. Univariate logistic models were applied to identify indi-vidual predictors associated with loosening. Covariates with a p-value < 0.3 in univariate analysis were included in the multivariate logistic regression model, built using both forward and backward stepwise selection based on the Akaike Information Criterion (AIC). The resulting forward and backward models were identical. For the final multivariate model, ROC analysis was used to determine the optimal classification threshold based on the Youden index (i.e., maximum combined sensitivity and specificity). A confusion matrix was then constructed to calculate predictive metrics, including sensitivity, specificity, method case rate, and observed case frequency. The Hosmer-Lemeshow test was used to assess the goodness-of-fit between predicted and observed frequencies of adverse events.
Statistical significance was established at a critical alpha level of p = 0.05; that is, differences and predictors were considered statistically significant when p < 0.05. All statistical analyses were performed in R-Studio (version 2022.07.2+576, “Spotted Wakerobin”, USA) using R (version 4.1.3, Austria).
RESULTS
Baseline patient characteristics
No statistically significant differences in baseline clinical characteristics obtained from medical records were found between the two groups. However, the control group had a predominance of patients aged 36-59 years (n = 29; 52.7%), whereas the study group included more patients aged 60-74 years (n = 19; 61.3%) (Table 4).
Table 4
Comparison of baseline characteristics between the two groups
Baseline | Study group | Control group | p |
Gender: female male |
28 (90.3%) 3 (9.7%) |
47 (85.5%) 8 (14.5%) | 0.7391 |
Side: left right |
12 (38.7%) 19 (61.3%) |
32 (58.2%) 23 (41.8%) | 0.1161 |
Age, years old 21-35 36-59 60-74 75-90 | 1 (3.2%) 8 (25.8%) 19 (61.3%) 3 (9.7%) | 0 (0.0%) 29 (52.7%) 24 (43.6%) 2 (3.6%) | Overall comparison: 0.360 (0.451) 0.023 (0.114) 0.177 (0.443) 0.346 (0.451) |
BMI, kg/m2 Ме [Q1; Q3] M±SD (min-max) |
32 [29; 35] 32.58±6.46 (21-48) |
32 [28; 35] 32.33±5.88 (22-50) | 0.8922 |
1 – Fischer’s exact test, 2 – Mann-Whitney U test. Statistically significant differences are indicated in bold here and further below.
Results of preoperative radiographic assessment
In both groups, the preoperative alignment of the lower limbs was predominantly varus, as determined by aFTA and HKA angle measurements, followed by neutral and valgus alignments. Baseline varus deformity, measured by the HKA angle, was significantly more common in the control group (p < 0.001). In contrast, valgus deformity was more frequently observed in the study group, although the difference did not reach statistical significance (Table 5).
Table 5
Preoperative lower limb alignment in both groups based on aFTA and HKA angle measurements
Measurement | Lower limb | Study group | Control group | Fischer’s exact test, p (correction of p) |
aFTA | Varus | 20 (64.5%) | 50 (90.9%) | 0.004 (0.012) |
Neutral | 6 (19.4%) | 4 (7.3%) | 0.158 (0.158) | |
Valgus | 5 (16.1%) | 1 (1.8%) | 0.021 (0.032) | |
HKA angle | Varus | 21 (70%) | 52 (98.1%) | < 0.001 (< 0.001) |
Neutral | 6 (20%) | 1 (1.9%) | 0.008 (0.012) | |
Valgus | 3 (10%) | 0 (0.0%) | 0.044 (0.044) |
In the study group, varus deformity was less frequent than in the control group, but when present, it tended to be more severe. However, this difference was not statistically significant (Table 6).
Table 6
Preoperative deformity values based on aFTA and HKA angle, deg.
Preoperative angles | Study group (n=31*/30**) | Control group (n=55*/53**) | Mann-Whitney |
aFTA | |||
Мe [Q1; Q3] M±SD min-max | -2 [-4.5; -0.5] -2.8±4.2 -16...7 | -5 [-10; 3] -3.10±10.01 -27...22 | 0.485 |
HKA angle | |||
Мe [Q1; Q3] M±SD min-max | -10 [-12; -8] -10.6±4.4 -22...0 | -13 [-17.8; -2.0] -9.70±10.73 -33...14 | 0.943 |
* – measurement based on aFTA; ** — measurement based on HKA angle.
No significant intergroup differences were found in the preoperative reference angles. In both groups, the majority of reference angles fell within the neutral range (n = 130), followed by varus (n = 114) and valgus (n = 11) angles.
Results of postoperative radiographic assessment
Based on the aFTA measurements, a neutral axis was more frequently observed in the control group compared to the study group (p < 0.001). According to the HKA angle measurements, a neutral axis was also more common in the control group, although the difference was not statistically significant. Valgus deformity, as determined by the HKA angle, was observed only in the study group and showed a statistically significant difference compared to the control group (p < 0.001) (Table 7).
Table 7
Postoperative lower limb alignment in both groups based on aFTA and HKA angle measurements
Angle | Lower limb | Study group | Control group | Fischer’s exact test, |
aFTA | Varus | 14 (45.2%) | 10 (18.2%) | 0.012 (0.012) |
Neutral | 9 (29.0%) | 43 (78.2%) | < 0.001 (< 0.001) | |
Valgus | 8 (25.8%) | 2 (3.6%) | 0.004 (0.005) | |
HKA angle | Varus | 6 (31.6%) | 21 (46.7%) | 0.406 (0.406) |
Neutral | 6 (31.6%) | 24 (53.3%) | 0.170 (0.255) | |
Valgus | 7 (36.8%) | 0 (0.0%) | < 0.001 (< 0.001) |
* – measurement based on aFTA; ** — measurement based on HKA angle.
In both groups, postoperative correction of the lower limb alignment toward the neutral axis was observed compared to preoperative values; however, residual varus deformity predominated in the study group, although the difference was not statistically significant (Table 8).
Table 8
Postoperative deformity values based on aFTA and HKA angle, deg.
Postoperative | Study group | Control group | Mann-Whitney |
aFTA | |||
Мe [Q1; Q3] M±SD min-max | 2 [0.0; 7.5] 3.7±4.9 -4...16 | 5 [2; 6] 4.1±2.4 -1...9 | 0.361 |
HKA angle | |||
Мe [Q1; Q3] M±SD min-max | -1.0 [-8.5; 1.5] -2.6±6.1 -13...8 | -3 [-6; -1] -3.2±3.2 -9...3 | 0.621 |
* – measurement based on aFTA; ** — measurement based on HKA angle.
No statistically significant differences were found between the groups in terms of postoperative reference angles. In both groups, the majority of reference angles corresponded to a varus alignment (104), followed by neutral (102) and valgus (30) alignments. Comparison with preoperative reference angle data revealed balanced varus and neutral alignments and an increase in the number of valgus cases, mainly due to changes in the tibial component.
There were no statistically significant differences between the groups in postope-rative component alignment based on anatomical reference angles. The most common combination of implant positioning in both groups was a varus position of the femoral component and a neutral position of the tibial component. The second most frequent combination in the study group was varus alignment of the femoral component and valgus alignment of the tibial component. In the control group, the second most common combination was neutral positioning of both femoral and tibial components.
Postoperative component alignment based on mechanical reference angles showed a statisti-cally significant difference for the combination of a neutrally positioned femoral component and a valgus-positioned tibial component, which was more frequently observed in the study group (p = 0.007, p = 0.040). The most frequent implant alignment combination in both groups was a varus femoral component with a neutral tibial component (Table 9).
Table 9
Postoperative component alignment combinations based on mechanical reference angles
Combination ratio | Study group | Control group | Fischer’s exact test, |
Valgus/valgus | 1 (5%) | 0 (0%) | 0.286 (0.343) |
Varus/valgus | 4 (21%) | 8 (18%) | 0.729 (0.729) |
Varus/norm | 6 (32%) | 25 (56%) | 0.164 (0.327) |
Norm/valgus | 6 (32%) | 2 (4%) | 0.007 (0.040) |
Norm/varus | 1 (5%) | 0 (0%) | 0.286 (0.343) |
Norm/norm | 1 (5%) | 10 (22%) | 0.155 (0.327) |
Phenotype determination
Prior to surgery, most knee joint phenotypes in both groups were classified as Type I, with no statistically significant differences observed. Postoperatively, the most common phenotypes in the study group were Types I (17%), V (17%), VII (17%), and IX (17%), while in the control group – Types IV (11%), V (32%), and VII (34%).
The preoperative distribution graph of the knee joint phenotypes demonstrated a high density of limb axes within the varus corridor (Figure 3).
Figure 3. Preoperative distribution graph of the knee joint phenotypes among patients
This density was no longer observed on the postoperative distribution graph of the knee joint phenotypes (Figure 4).
Figure 4. Postoperative distribution graph of the knee joint phenotypes among patients
Radiographic signs of component loosening
The variants of the radiographic signs of prosthetic component loosening, depending on their combination as determined by anatomical reference angles, are presented in Table 10.
Table 10
Radiographic signs of implant loosening depending on component alignment combinations
Alignment | Radiographic signs of implant loosening | ||
Radiolucent | Displacement | Displacement | |
Valgus/valgus (n = 1) | – | 1 | – |
Valgus/norm (n = 1) | – | 1 | – |
Varus/valgus (n = 8) | 4 | 2 | 2 |
Varus/norm (n = 13) | 2 | 6 | 5 |
Norm/valgus (n = 5) | 4 | 1 | – |
Norm/varus (n = 1) | – | 1 | – |
Norm/norm (n = 2) | 1 | 1 | – |
The most frequent sign of loosening was mechanical collapse of a single component (3 cases, 41.94%), observed across all component alignment combinations. The second most common sign was the progression of radiolucent lines without the evidence of component collapse (11 cases, 35.48%), followed by the collapse of both components (7 cases, 22.58%). All radiographic signs of loosening were observed in cases where the femoral component was implan-ted in a varus position, while the tibial compo-nent was in either a neutral or valgus position.
Data on the timing of the detection of prosthetic component loosening, depending on the existing combination of component positioning as measured by the reference angles aLDFA/aMPTA, are presented in Table 11.
Table 11
Time of detection of the signs of prosthetic component loosening depending on component alignment combinations
Alignment | Number of cases of component | ||||
1 | 2 | 3 | 4 | 5 | |
Valgus/valgus (n=1) | 1 | – | – | – | – |
Valgus/norm (n=1) | 1 | – | – | – | – |
Varus/valgus (n=8) | 3 | 4 | 1 | – | – |
Varus/norm (n=13) | 3 | 4 | 2 | 3 | 1 |
Norm/valgus (n=5) | 1 | 1 | 2 | 1 | |
Norm/varus (n=1) | – | 1 | – | – | – |
Norm/norm (n=2) | 1 | – | – | – | 1 |
Signs of loosening were identified within 5 years for all alignment combinations. The majority of ALPC cases (n = 25, 81%) occur-red within the first 3 years.
Predictive model for aseptic loosening of prosthetic components
To identify predictors of prosthetic component loosening following knee arthroplasty, univariate and multivariate logistic regression analyses were performed (Table 12).
Table 12
Logistic regression models of aseptic loosening of prosthetic components
(n = 86, including 31 (36%) cases of loosening)
Covariates/explanatory variable | Univariate model | Multivariate model | ||
OR [95% CI] | p | OR [95% CI] | p | |
Preoperative lower limb axis measured | 23.14 [5.72; 158.23] | < 0.001 | ||
Preoperative lower limb axis measured | 9.60 [3.11; 34.36] | < 0.001 | ||
Patient’s age more than 60.5 years | 2.92 [1.18; 7.60] | 0.023 | ||
BMI more than 27.5 | 2.60 [0.75; 12.18] | 0.165 | 3.47 [0.84; 18.67] | 0.108 |
Postoperative lower limb axis measured | 8.76 [3.32; 25.10] | < 0.001 | 9.58 [3.53; 28.69] | < 0.001 |
Tibial component installed in valgus position | 2.83 [1.10; 7.43] | 0.032 | ||
The univariate logistic regression models revealed several significant predictors of aseptic loosening of prosthetic components. As shown in the table, severe preoperative varus deformity, as measured by the HKA angle and aFTA, was associated with an increased risk of loosening: by 9.6 to 23.1 times, respectively. According to postoperative alignment measurements using aFTA, deviation of the mechanical axis beyond the normal range (either into varus or valgus) by as little as 0.5° increased the risk of loosening by 8.7 times (3.32-25.10). Additional significant predictors included age over 60 years (OR 2.92) and BMI over 27.50 (OR 2.60).
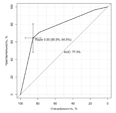
The performed ROC analysis assessed the predictive performance of the multivariate model and identified the optimal Youden index, with a sensitivity of 64.5% and specificity of 85.5% at a threshold probability of prosthetic failure of 55.1%. Thus, using this cut-off value, patients with a model-calculated probability of component loosening exceeding 55.1% were predicted to experience prosthetic loosening (Figure 5).
Figure 5. ROC curve (threshold value 55.1%) of the multivariate model for predicting loosening of prosthetic components
The Hosmer-Lemeshow goodness-of-fit test (p = 0.785, degrees of freedom = 4, Pearson’s χ² = 1.731) confirmed agreement between the predicted and observed frequencies of aseptic loosening, indicating adequate calibration of the multivariate model.
The formula of the multivariate model for predicting the aseptic loosening of prosthetic components is as follows:
,
where is the probability of aseptic loosening of components, and is the exponential function. The values of the coefficients of the multivariate model are presented in Table 13.
Table 13
Coefficients and variables of the multivariate logistic regression model for aseptic loosening of prosthetic components
Coefficients | Description | Acceptable values in the formula |
B | Constant coefficient | -2.657833 |
A1 | Constant coefficient | 2.259605 |
X1 | Postoperative lower limb | 0 — the value of more than 1.5° and less than 7.5°; 1 — the value of 1.5° or less and of 7.5° or greater |
A2 | Constant coefficient | 1.243753 |
X2 | BMI | 0 — the value of less than 27.5; 1 — the value of 27.5 or greater |
DISCUSSION
At first glance, variables such as patient age and severity of varus deformity may not appear to be directly correlated. However, osteoarthritis tends to progress with age, and many patients delay seeking medical care due to the fear of surgical treatment. Therefore, it becomes apparent that the older the patient, the more pronounced the deformity of the lower limb is likely to be.
This trend was reflected in the results of the study: in the study group, the majority of patients were older (61% aged 60-74 years), compared to the control group (52% aged 36-59 years). The more severe the varus deformity, the more difficult it is to correct while avoiding inaccuracies in prosthetic component positioning. That is why patients in the study group had more pronounced varus deformities than those in the control group. Evidence supporting the roles of age and varus deformity severity as predictors of ALPC is provided by the univariate logistic regression model: the severity of deformity increases the risk of loosening by 23 times, while age over 60 years increases the risk threefold.
In the postoperative period, neutral alignment of the lower limb axis was observed more frequently in the control group than in the study group (p < 0.001), while postoperative valgus deformity was detected only in the study group (p < 0.001). A more pronounced residual varus deformity after surgery was noted in the study group. These results suggest a predisposition to prosthetic component loosening in patients with greater deviation from neutral alignment toward varus, with deviation toward valgus being an even less acceptable misalignment. Similar findings were obtained in the multivariate logistic regression model: postoperative deviations of the lower limb mechanical axis measured by aFTA exceeding 0.5° toward either varus or valgus increased the risk of loosening by 8.7 times (3.32-25.10) (Table 12). Y.H. Kim et al., analyzing 3048 knee X-rays from patients with a mean prosthesis survival of 15 years, drew the same conclusion. The authors stated that a mechanical axis deviation greater than 3° varus measured by aFTA significantly increases the risk of prosthetic component loosening [14]. On the other hand, B.S. Lee et al. found that a varus deviation greater than 3°, measured by the HKA angle, also increases the risk (by 10%) of prosthetic component loosening [15].
The results of our study showed that, most frequently in both groups, the femoral component was implanted in varus alignment, while the tibial component was in neutral. This likely occurred because surgeons either overlooked or lacked the means to measure the preoperative α-angle, and a standard 5° was automatically set on the distal femoral cutting block, which proved insufficient to achieve neutral femoral component positioning in the coronal plane. This combination occurred in over 50% of cases in the control group, suggesting that the risk of loosening in this scenario is low. In the study group, loosening with this combination likely arose due to other related factors. Statistically significant differences between groups were observed in the component positioning combinations measured using mechanical reference angles, where loosening most frequently occurred when the femoral component was implanted neutrally and the tibial component in valgus alignment (Table 9). This finding further underscores the poor survival prognosis of prostheses when initial varus deformity is overcorrected to valgus, due to valgus positioning of the tibial component. Conversely, tibial components positioned in varus alignment (mMPTA 85°) with preservation of overall neutral lower limb alignment demonstrated a 10-year prosthesis survival rate with good clinical outcomes in 66 patients, as reported by F.A. Miralles-Muñoz et al. [16].
The classification of coronal plane alignment of the knee (CPAK) was originally developed to identify which knee joint phenotype would benefit most from kinematic alignment. However, we chose to use this classification to identify patterns in the development of ALPC. No statistically significant differences in joint phenotype distribution were found between the groups. Considering that the majority of joints in both groups preoperatively belonged to the varus phenotypic corridor, it can be assumed that there is no predisposition to component loosening if the phenotype remains within the same axial corridor. Regarding patient satisfaction with surgical outcomes, maintaining the preoperative varus phenotypic corridor demonstrates favorable results, as patients in the control group were operated on at least 8 years ago and have reported no complaints during this period.
The most frequent radiographic sign of component loosening was collapse of a single component (41.94%), ranking first because the progression of radiolucent lines is not always detected in a timely manner. This is partly due to patients often not adhering to postoperative follow-up protocols and presenting for their first outpatient visit only after clinical and radio-graphic signs of loosening appear. Additionally, there are difficulties in detecting radiolucent lines as some patients present asymptomatically with X-rays taken at local clinics, where AP and lateral view accuracy is often compromised and the film quality is suboptimal. Considering that the cohort of patients who underwent revision surgery for aseptic loosening was collected between 2010 and 2015, and primary arthroplasty X-rays available in the archives start only from 2008, the longest documented time to component failure did not exceed 5 years.
The derived formula of the multifactorial model, which includes unrecovered neutral postoperative lower limb alignment and BMI, is also logically consistent. Mechanical alignment of the lower limb axis during TKA implies mandatory achievement of a neutral axis position through soft tissue releases, while performing horizontal (floor-parallel) distal femoral and proximal tibial cuts. That is, the surgical intervention aimed at correcting limb alignment is performed on the soft tissues (releases), whereas the bony cuts are standardized for all patients. Consequently, any deviation from the neutral limb axis during mechanical alignment leads to improper load distribution on the prosthetic components, resulting in their premature failure. At the same time, current requirements for the correction of the lower limb axis deformity are carried out mainly due to distal femoral and proximal tibial cuts combined with individualized femoral component rotation [10, 17]. Such alignment techniques allow for so-called safe undercorrection of the neutral axis position.
The most unexpected result of our study was the eightfold increase in the risk of prosthetic component loosening with just a 0.5° deviation in either direction as measured by aFTA. A deviation of 0.5° is very small and difficult to detect intraoperatively during manual TKA using a conventional metallic alignment guide. This finding highlights the potential advantage of robot-assisted arthroplasty, which ensures high precision in executing planned bone cuts, thus guaranteeing accurate prosthetic component positioning. However, it should be noted that long-term studies are necessary to confirm the benefits of robot-assisted techniques.
Study limitations
This study involved a relatively small sample size; however, this did not prevent the identification of predictors for early ALPC following primary TKA, thanks to the use of logistic regression modeling.
Potential inaccuracies in radiographic measurements of lower limb alignment angles and reference angles for prosthesis component positioning cannot be entirely excluded. Such measurement errors may have influenced the statistical calculations in both univariate and, consequently, multivariate models for identifying ALPC predictors.
Surgical interventions were performed by different surgical teams, and prostheses from various manufacturers were used, although all implants were of a similar unlinked design.
CONCLUSIONS
In elderly patients with overweight and moderate-to-severe varus deformity of the lower limb, personalized and more selective preoperative planning is essential to prevent early aseptic loosening of prosthetic components. In patients exhibiting residual deformity and valgus positioning of the tibial component postoperatively, intensified postoperative moni-toring with control X-rays every six months is recommended. If progression of radiolucent lines is detected alongside pain symptoms, prompt revision surgery should be performed to increase the likelihood of a conservative revision. Principles of conservative revision include avoiding the use of revision prosthesis constructs and minimizing aggressive interventions to preserve intact adjacent soft tissues and bone structures.
DISCLAIMERS
Author contribution
Gurazhev M.B. — drafting and editing the manuscript, literature search and review.
Lukinov V.L. — statistical data processing, data analysis and interpretation, editing the manuscript.
Baitov V.S. — data acquisition, analysis and interpretation, statistical data processing.
Gofer A.S. — literature search and review, editing the manuscript.
Ivanov E.A. — literature search and review, editing the manuscript.
Pavlov V.V. — study concept and design, scientific guidance.
Korytkin A.A. — scientific guidance, editing the manuscript.
Pronskikh A.A. — study design, editing the manuscript.
All authors have read and approved the final version of the manuscript of the article. All authors agree to bear responsibility for all aspects of the study to ensure proper consideration and resolution of all possible issues related to the correctness and reliability of any part of the work.
Funding source. This study was not supported by any external sources of funding.
Disclosure competing interests. The authors declare that they have no competing interests.
Ethics approval. Not applicable.
Consent for publication. Not required.
About the authors
Mikhail B. Gurazhev
Tsivyan Novosibirsk Research Institute of Traumatology and Orthopedics
Author for correspondence.
Email: Tashtagol@inbox.ru
ORCID iD: 0000-0002-6398-9413
Russian Federation, Novosibirsk
Vitaliy L. Lukinov
Tsivyan Novosibirsk Research Institute of Traumatology and Orthopedics
Email: vitaliy.lukinov@gmail.com
ORCID iD: 0000-0002-3411-508X
Cand. Sci. (Phys.-Math.)
Russian Federation, NovosibirskVladislav S. Baitov
Tsivyan Novosibirsk Research Institute of Traumatology and Orthopedics
Email: VBaitov@list.ru
ORCID iD: 0000-0002-9427-7072
Cand. Sci. (Med.)
Russian Federation, NovosibirskAnton S. Gofer
Tsivyan Novosibirsk Research Institute of Traumatology and Orthopedics
Email: a.hofer.ortho@gmail.com
ORCID iD: 0009-0000-3886-163X
Russian Federation, Novosibirsk
Evgeniy A. Ivanov
Tsivyan Novosibirsk Research Institute of Traumatology and Orthopedics
Email: Ivanov.evgeniy90@bk.ru
ORCID iD: 0009-0007-8429-282X
Russian Federation, Novosibirsk
Vitaliy V. Pavlov
Tsivyan Novosibirsk Research Institute of Traumatology and Orthopedics
Email: pavlovdoc@mail.ru
ORCID iD: 0000-0002-8997-7330
Dr. Sci. (Med.), Associate Professor
Russian Federation, NovosibirskAndrey A. Korytkin
Tsivyan Novosibirsk Research Institute of Traumatology and Orthopedics
Email: andrey.korytkin@gmail.com
ORCID iD: 0000-0001-9231-5891
Cand. Sci. (Med.)
Russian Federation, NovosibirskAleksandr A. Pronskikh
Tsivyan Novosibirsk Research Institute of Traumatology and Orthopedics
Email: proal_88@mail.ru
ORCID iD: 0000-0003-1197-556X
Scopus Author ID: 6503950260
Dr. Sci. (Med.)
Russian Federation, NovosibirskReferences
- Klit J., Jacobsen S., Rosenlund S., Sonne-Holm S., Troelsen A. Total knee arthroplasty in younger patients evaluated by alternative outcome measures. J Arthroplasty. 2014;29(5):912-917. https:// doi.org/10.1016/j.arth.2013.09.035.
- Dong Z., Li Y., Wang X., Tian H. A Case of TKA Failure in Patient with Primary Hyperparathyroidism. Orthop Surg. 2023;15(11):3006-3011. https:// doi.org/10.1111/os.13892.
- Khan M., Osman K., Green G., Haddad F.S. The epidemio-logy of failure in total knee arthroplasty: avoiding your next revision. Bone Joint J. 2016;98-B(1 Suppl A):105-112. https://doi.org/10.1302/0301-620X.98B1.36293.
- Мурылев В.Ю., Усубалиев Б.Т., Музыченков А.В., Куковенко Г.А., Елизаров П.М., Корешкова Д.А. Остеопороз и асептическое расшатывание компонентов эндопротеза после эндопротезирования суставов. Кафедра травматологии и ортопедии. 2022;41(4):67-73. https:// doi.org/10.17238/2226-2016-2022-4-67-73. Murylev V.Y., Usubaliev B.T., Muzichenkov A.V., Kukovenko G.A., Elizarov P.M., Germanov V.G. et al. Osteoporosis and aseptic loosening of endoprosthesis components after joint replacement. Department of Traumatology and Orthopedics. 2022;41(4):67-73. (In Russian). https:// doi.org/10.17238/2226-2016-2022-4-67-73.
- Laskin R.S., Beksaç B. Computer-assisted navigation in TKA: where we are and where we are going. Clin Orthop Relat Res. 2006;452:127-131. https:// doi.org/10.1097/01.blo.0000238823.78895.dc.
- Omichi Y., Hamada D., Wada K., Tamaki Y., Shigekiyo S., Sairyo K. Robotic-assisted total knee arthroplasty improved component alignment in the coronal plane compared with navigation-assisted total knee arthroplasty: a comparative study. J Robot Surg. 2023;17(6):2831-2839. https:// doi.org/10.1007/s11701-023-01708-6.
- Kim Y.H., Park J.W., Kim J.S., Park S.D. The relationship between the survival of total knee arthroplasty and postoperative coronal, sagittal and rotational alignment of knee prosthesis. Int Orthop. 2014;38(2):379-385. https://doi.org/10.1007/s00264-013-2097-9.
- MacDessi S.J., Griffiths-Jones W., Harris I.A., Bellemans J., Chen D.B. Coronal Plane Alignment of the Knee (CPAK) classification. Bone Joint J. 2021;103-B(2):329-337. https:// doi.org/10.1302/0301-620X.103B2.BJJ-2020-1050.R1.
- Abdel M.P., Oussedik S., Parratte S., Lustig S., Haddad F.S. Coronal alignment in total knee replacement: historical review, contemporary analysis, and future direction. Bone Joint J. 2014;96-B(7):857-862. https://doi.org/10.1302/0301-620X.96B7.33946.
- Matassi F., Pettinari F., Frasconà F., Innocenti M., Civinini R. Coronal alignment in total knee arthroplasty: a review. J Orthop Traumatol. 2023;24(1):24. https:// doi.org/10.1186/s10195-023-00702-w.
- von Elm E., Altman D.G., Egger M., Pocock S.J., Gøtzsche P.C., Vandenbroucke J.P. et al. Strengthening the Reporting of Observational Studies in Epidemiology (STROBE) statement: guidelines for reporting observational studies. BMJ. 2007;335(7624):806-808. https://doi.org/10.1136/bmj.39335.541782.AD.
- Paley D., Pfeil J. Principles of deformity correction around the knee. Orthopade. 2000;29(1):18-38. (In German). https://doi.org/10.1007/s001320050004.
- Ewald F.C. The Knee Society total knee arthroplasty roentgenographic evaluation and scoring system. Clin Orthop Relat Res. 1989;(248):9-12.
- Kim Y.H., Park J.W., Kim J.S., Park S.D. The relationship between the survival of total knee arthroplasty and postoperative coronal, sagittal and rotational alignment of knee prosthesis. Int Orthop. 2014;38(2):379-385. https://doi.org/10.1007/s00264-013-2097-9.
- Lee B.S., Cho H.I., Bin S.I., Kim J.M., Jo B.K. Femoral Component Varus Malposition is Associated with Tibial Aseptic Loosening After TKA. Clin Orthop Relat Res. 2018;476(2):400-407. https:// doi.org/10.1007/s11999.0000000000000012.
- Miralles-Muñoz F.A., Rubio-Morales M., Bello-Tejada L., González-Parreño S., Lizaur-Utrilla A., Alonso-Montero C. Varus alignment of the tibial component up to seven degrees is not associated with poor long-term outcomes in a neutrally aligned total knee arthroplasty. Knee Surg Sports Traumatol Arthrosc. 2022;30(8):2768-2775. https://doi.org/10.1007/s00167-021-06627-3.
- Rivière C., Iranpour F., Auvinet E., Howell S., Vendittoli P.A., Cobb J. et al. Alignment options for total knee arthroplasty: A systematic review. Orthop Traumatol Surg Res. 2017;103(7):1047-1056. https:// doi.org/10.1016/j.otsr.2017.07.010.
Supplementary files








